动力系统理论作为单细胞生物学的组织原理。

IF 3.5 2区 生物学 Q1 MATHEMATICAL & COMPUTATIONAL BIOLOGY
Samia Islam, Sudin Bhattacharya
{"title":"动力系统理论作为单细胞生物学的组织原理。","authors":"Samia Islam, Sudin Bhattacharya","doi":"10.1038/s41540-025-00565-3","DOIUrl":null,"url":null,"abstract":"<p><p>The emergence of single-cell transcriptomics has given us novel views of gene expression heterogeneity and cellular trajectories in development and disease at unprecedented resolution. However, an overarching theoretical framework to interpret single-cell gene expression data is lacking. Here we argue that dynamical systems theory can provide an interpretable, causal, and quantitative perspective to understand and analyze these enormously rich data sets, in addition to yielding potential benefits for health care.</p>","PeriodicalId":19345,"journal":{"name":"NPJ Systems Biology and Applications","volume":"11 1","pages":"85"},"PeriodicalIF":3.5000,"publicationDate":"2025-08-01","publicationTypes":"Journal Article","fieldsOfStudy":null,"isOpenAccess":false,"openAccessPdf":"https://www.ncbi.nlm.nih.gov/pmc/articles/PMC12316871/pdf/","citationCount":"0","resultStr":"{\"title\":\"Dynamical systems theory as an organizing principle for single-cell biology.\",\"authors\":\"Samia Islam, Sudin Bhattacharya\",\"doi\":\"10.1038/s41540-025-00565-3\",\"DOIUrl\":null,\"url\":null,\"abstract\":\"<p><p>The emergence of single-cell transcriptomics has given us novel views of gene expression heterogeneity and cellular trajectories in development and disease at unprecedented resolution. However, an overarching theoretical framework to interpret single-cell gene expression data is lacking. Here we argue that dynamical systems theory can provide an interpretable, causal, and quantitative perspective to understand and analyze these enormously rich data sets, in addition to yielding potential benefits for health care.</p>\",\"PeriodicalId\":19345,\"journal\":{\"name\":\"NPJ Systems Biology and Applications\",\"volume\":\"11 1\",\"pages\":\"85\"},\"PeriodicalIF\":3.5000,\"publicationDate\":\"2025-08-01\",\"publicationTypes\":\"Journal Article\",\"fieldsOfStudy\":null,\"isOpenAccess\":false,\"openAccessPdf\":\"https://www.ncbi.nlm.nih.gov/pmc/articles/PMC12316871/pdf/\",\"citationCount\":\"0\",\"resultStr\":null,\"platform\":\"Semanticscholar\",\"paperid\":null,\"PeriodicalName\":\"NPJ Systems Biology and Applications\",\"FirstCategoryId\":\"99\",\"ListUrlMain\":\"https://doi.org/10.1038/s41540-025-00565-3\",\"RegionNum\":2,\"RegionCategory\":\"生物学\",\"ArticlePicture\":[],\"TitleCN\":null,\"AbstractTextCN\":null,\"PMCID\":null,\"EPubDate\":\"\",\"PubModel\":\"\",\"JCR\":\"Q1\",\"JCRName\":\"MATHEMATICAL & COMPUTATIONAL BIOLOGY\",\"Score\":null,\"Total\":0}","platform":"Semanticscholar","paperid":null,"PeriodicalName":"NPJ Systems Biology and Applications","FirstCategoryId":"99","ListUrlMain":"https://doi.org/10.1038/s41540-025-00565-3","RegionNum":2,"RegionCategory":"生物学","ArticlePicture":[],"TitleCN":null,"AbstractTextCN":null,"PMCID":null,"EPubDate":"","PubModel":"","JCR":"Q1","JCRName":"MATHEMATICAL & COMPUTATIONAL BIOLOGY","Score":null,"Total":0}
引用次数: 0

摘要

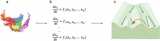
单细胞转录组学的出现以前所未有的分辨率为我们提供了基因表达异质性和细胞发育和疾病轨迹的新观点。然而,解释单细胞基因表达数据的总体理论框架是缺乏的。在这里,我们认为动力系统理论可以提供一个可解释的、因果的和定量的角度来理解和分析这些极其丰富的数据集,除了为医疗保健带来潜在的好处。
本文章由计算机程序翻译,如有差异,请以英文原文为准。

Dynamical systems theory as an organizing principle for single-cell biology.

Dynamical systems theory as an organizing principle for single-cell biology.

The emergence of single-cell transcriptomics has given us novel views of gene expression heterogeneity and cellular trajectories in development and disease at unprecedented resolution. However, an overarching theoretical framework to interpret single-cell gene expression data is lacking. Here we argue that dynamical systems theory can provide an interpretable, causal, and quantitative perspective to understand and analyze these enormously rich data sets, in addition to yielding potential benefits for health care.

求助全文
通过发布文献求助,成功后即可免费获取论文全文。 去求助
来源期刊
NPJ Systems Biology and Applications
NPJ Systems Biology and Applications Mathematics-Applied Mathematics
CiteScore
5.80
自引率
0.00%
发文量
46
审稿时长
8 weeks
期刊介绍: npj Systems Biology and Applications is an online Open Access journal dedicated to publishing the premier research that takes a systems-oriented approach. The journal aims to provide a forum for the presentation of articles that help define this nascent field, as well as those that apply the advances to wider fields. We encourage studies that integrate, or aid the integration of, data, analyses and insight from molecules to organisms and broader systems. Important areas of interest include not only fundamental biological systems and drug discovery, but also applications to health, medical practice and implementation, big data, biotechnology, food science, human behaviour, broader biological systems and industrial applications of systems biology. We encourage all approaches, including network biology, application of control theory to biological systems, computational modelling and analysis, comprehensive and/or high-content measurements, theoretical, analytical and computational studies of system-level properties of biological systems and computational/software/data platforms enabling such studies.
×
引用
GB/T 7714-2015
复制
MLA
复制
APA
复制
导出至
BibTeX EndNote RefMan NoteFirst NoteExpress
×
提示
您的信息不完整,为了账户安全,请先补充。
现在去补充
×
提示
您因"违规操作"
具体请查看互助需知
我知道了
×
提示
确定
请完成安全验证×
copy
已复制链接
快去分享给好友吧!
我知道了
右上角分享
点击右上角分享
0
联系我们:info@booksci.cn Book学术提供免费学术资源搜索服务,方便国内外学者检索中英文文献。致力于提供最便捷和优质的服务体验。 Copyright © 2023 布克学术 All rights reserved.
京ICP备2023020795号-1
ghs 京公网安备 11010802042870号
Book学术文献互助
Book学术文献互助群
群 号:604180095
Book学术官方微信