膀胱肿瘤患者尿改道后肾功能改善对顺铂适性的影响。

Bladder (San Francisco, Calif.) Pub Date : 2025-03-03 eCollection Date: 2025-01-01 DOI:10.14440/bladder.2024.0034
Fernando Korkes, José Henrique DallAcqua Santiago, André Marantes Masciarelli Pinto, Artur da Silva Farias, Frederico Timóteo, Suelen Patricia Dos Santos Martins, Sidney Glina
{"title":"膀胱肿瘤患者尿改道后肾功能改善对顺铂适性的影响。","authors":"Fernando Korkes, José Henrique DallAcqua Santiago, André Marantes Masciarelli Pinto, Artur da Silva Farias, Frederico Timóteo, Suelen Patricia Dos Santos Martins, Sidney Glina","doi":"10.14440/bladder.2024.0034","DOIUrl":null,"url":null,"abstract":"<p><strong>Background: </strong>Muscle-invasive bladder cancer (MIBC) is an aggressive disease typically treated with radical cystectomy following neoadjuvant chemotherapy (NAC). However, the presence of hydronephrosis - a significant marker of advanced disease - can impair renal function, potentially precluding patients from receiving cisplatin-based NAC.</p><p><strong>Objective: </strong>The present study aimed to assess the role of urinary diversion in patients with MIBC, specifically in reversing renal function impairment and enabling eligibility for cisplatin-based therapy.</p><p><strong>Methods: </strong>A retrospective study was performed by evaluating a database of patients treated for urothelial MIBC from 2018 to 2021. Case notes were reviewed to identify patients with hydronephrosis who underwent urinary diversion. The types of urinary diversion recorded included percutaneous nephrostomy, ureteral stenting, or surgical obstruction release. Renal function was assessed retrospectively using the glomerular filtration rate (GFR), estimated from creatinine clearance.</p><p><strong>Results: </strong>Records of a total of 72 patients were evaluated. The mean GFR before urinary diversion was 44.1 ± 26.4 mL/min, which improved to 59.1 ± 31.9 mL/min post-diversion, resulting in a mean GFR improvement of 15.0 ± 20.0 mL/min. Forty-four patients had an initial GFR below 50 mL/min, with 75% of them achieving a GFR >50 mL/min after urinary diversion. More than half of these patients (<i>n</i> = 25, 56%) experienced an improvement to a GFR exceeding 60 mL/min. The time to reach the best GFR varied widely (mean: 59 ± 33 days, range 9 - 165 days). Logistic regression analysis identified initial GFR as a significant predictor of GFR recovery (odds ratio = 1.11, 95% confidence interval = 1.02 - 1.21, <i>p</i> = 0.012).</p><p><strong>Conclusion: </strong>Urinary diversion can benefit patients with upper tract obstruction secondary to MIBC by improving renal function, thereby enabling eligibility for cisplatin-based chemotherapy. Notably, the time to GFR recovery following urinary diversion varied among individuals.</p>","PeriodicalId":72421,"journal":{"name":"Bladder (San Francisco, Calif.)","volume":"12 1","pages":"e21200027"},"PeriodicalIF":0.0000,"publicationDate":"2025-03-03","publicationTypes":"Journal Article","fieldsOfStudy":null,"isOpenAccess":false,"openAccessPdf":"https://www.ncbi.nlm.nih.gov/pmc/articles/PMC12308119/pdf/","citationCount":"0","resultStr":"{\"title\":\"Kidney function improvement after urinary diversion for cisplatin eligibility in bladder cancer patients.\",\"authors\":\"Fernando Korkes, José Henrique DallAcqua Santiago, André Marantes Masciarelli Pinto, Artur da Silva Farias, Frederico Timóteo, Suelen Patricia Dos Santos Martins, Sidney Glina\",\"doi\":\"10.14440/bladder.2024.0034\",\"DOIUrl\":null,\"url\":null,\"abstract\":\"<p><strong>Background: </strong>Muscle-invasive bladder cancer (MIBC) is an aggressive disease typically treated with radical cystectomy following neoadjuvant chemotherapy (NAC). However, the presence of hydronephrosis - a significant marker of advanced disease - can impair renal function, potentially precluding patients from receiving cisplatin-based NAC.</p><p><strong>Objective: </strong>The present study aimed to assess the role of urinary diversion in patients with MIBC, specifically in reversing renal function impairment and enabling eligibility for cisplatin-based therapy.</p><p><strong>Methods: </strong>A retrospective study was performed by evaluating a database of patients treated for urothelial MIBC from 2018 to 2021. Case notes were reviewed to identify patients with hydronephrosis who underwent urinary diversion. The types of urinary diversion recorded included percutaneous nephrostomy, ureteral stenting, or surgical obstruction release. Renal function was assessed retrospectively using the glomerular filtration rate (GFR), estimated from creatinine clearance.</p><p><strong>Results: </strong>Records of a total of 72 patients were evaluated. The mean GFR before urinary diversion was 44.1 ± 26.4 mL/min, which improved to 59.1 ± 31.9 mL/min post-diversion, resulting in a mean GFR improvement of 15.0 ± 20.0 mL/min. Forty-four patients had an initial GFR below 50 mL/min, with 75% of them achieving a GFR >50 mL/min after urinary diversion. More than half of these patients (<i>n</i> = 25, 56%) experienced an improvement to a GFR exceeding 60 mL/min. The time to reach the best GFR varied widely (mean: 59 ± 33 days, range 9 - 165 days). Logistic regression analysis identified initial GFR as a significant predictor of GFR recovery (odds ratio = 1.11, 95% confidence interval = 1.02 - 1.21, <i>p</i> = 0.012).</p><p><strong>Conclusion: </strong>Urinary diversion can benefit patients with upper tract obstruction secondary to MIBC by improving renal function, thereby enabling eligibility for cisplatin-based chemotherapy. Notably, the time to GFR recovery following urinary diversion varied among individuals.</p>\",\"PeriodicalId\":72421,\"journal\":{\"name\":\"Bladder (San Francisco, Calif.)\",\"volume\":\"12 1\",\"pages\":\"e21200027\"},\"PeriodicalIF\":0.0000,\"publicationDate\":\"2025-03-03\",\"publicationTypes\":\"Journal Article\",\"fieldsOfStudy\":null,\"isOpenAccess\":false,\"openAccessPdf\":\"https://www.ncbi.nlm.nih.gov/pmc/articles/PMC12308119/pdf/\",\"citationCount\":\"0\",\"resultStr\":null,\"platform\":\"Semanticscholar\",\"paperid\":null,\"PeriodicalName\":\"Bladder (San Francisco, Calif.)\",\"FirstCategoryId\":\"1085\",\"ListUrlMain\":\"https://doi.org/10.14440/bladder.2024.0034\",\"RegionNum\":0,\"RegionCategory\":null,\"ArticlePicture\":[],\"TitleCN\":null,\"AbstractTextCN\":null,\"PMCID\":null,\"EPubDate\":\"2025/1/1 0:00:00\",\"PubModel\":\"eCollection\",\"JCR\":\"\",\"JCRName\":\"\",\"Score\":null,\"Total\":0}","platform":"Semanticscholar","paperid":null,"PeriodicalName":"Bladder (San Francisco, Calif.)","FirstCategoryId":"1085","ListUrlMain":"https://doi.org/10.14440/bladder.2024.0034","RegionNum":0,"RegionCategory":null,"ArticlePicture":[],"TitleCN":null,"AbstractTextCN":null,"PMCID":null,"EPubDate":"2025/1/1 0:00:00","PubModel":"eCollection","JCR":"","JCRName":"","Score":null,"Total":0}
引用次数: 0

摘要

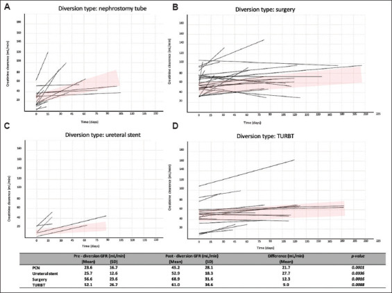
背景:肌肉浸润性膀胱癌(MIBC)是一种侵袭性疾病,通常在新辅助化疗(NAC)后进行根治性膀胱切除术。然而,肾积水(疾病晚期的一个重要标志)的存在会损害肾功能,可能使患者无法接受基于顺铂的NAC。目的:本研究旨在评估尿分流在MIBC患者中的作用,特别是在逆转肾功能损害和使患者符合顺铂治疗的条件方面。方法:通过评估2018年至2021年接受尿路上皮性MIBC治疗的患者数据库进行回顾性研究。我们回顾了病例记录,以确定肾积水患者进行尿分流。记录的尿分流类型包括经皮肾造口术、输尿管支架置入或手术解除梗阻。肾功能回顾性评估采用肾小球滤过率(GFR),估计肌酐清除率。结果:共对72例患者的记录进行了评估。尿分流前平均GFR为44.1±26.4 mL/min,分流后平均GFR改善为59.1±31.9 mL/min,平均GFR改善15.0±20.0 mL/min。44例患者初始GFR低于50 mL/min,其中75%的患者在尿分流后GFR达到50 mL/min。这些患者中超过一半(n = 25,56 %)的GFR改善到超过60 mL/min。达到最佳GFR的时间差异很大(平均:59±33天,范围9 - 165天)。Logistic回归分析发现初始GFR是GFR恢复的重要预测因子(优势比= 1.11,95%置信区间= 1.02 - 1.21,p = 0.012)。结论:尿分流可改善上尿路梗阻MIBC患者的肾功能,使其符合顺铂化疗的要求。值得注意的是,尿改道后GFR恢复时间因人而异。
本文章由计算机程序翻译,如有差异,请以英文原文为准。

Kidney function improvement after urinary diversion for cisplatin eligibility in bladder cancer patients.

Kidney function improvement after urinary diversion for cisplatin eligibility in bladder cancer patients.

Kidney function improvement after urinary diversion for cisplatin eligibility in bladder cancer patients.

Kidney function improvement after urinary diversion for cisplatin eligibility in bladder cancer patients.

Background: Muscle-invasive bladder cancer (MIBC) is an aggressive disease typically treated with radical cystectomy following neoadjuvant chemotherapy (NAC). However, the presence of hydronephrosis - a significant marker of advanced disease - can impair renal function, potentially precluding patients from receiving cisplatin-based NAC.

Objective: The present study aimed to assess the role of urinary diversion in patients with MIBC, specifically in reversing renal function impairment and enabling eligibility for cisplatin-based therapy.

Methods: A retrospective study was performed by evaluating a database of patients treated for urothelial MIBC from 2018 to 2021. Case notes were reviewed to identify patients with hydronephrosis who underwent urinary diversion. The types of urinary diversion recorded included percutaneous nephrostomy, ureteral stenting, or surgical obstruction release. Renal function was assessed retrospectively using the glomerular filtration rate (GFR), estimated from creatinine clearance.

Results: Records of a total of 72 patients were evaluated. The mean GFR before urinary diversion was 44.1 ± 26.4 mL/min, which improved to 59.1 ± 31.9 mL/min post-diversion, resulting in a mean GFR improvement of 15.0 ± 20.0 mL/min. Forty-four patients had an initial GFR below 50 mL/min, with 75% of them achieving a GFR >50 mL/min after urinary diversion. More than half of these patients (n = 25, 56%) experienced an improvement to a GFR exceeding 60 mL/min. The time to reach the best GFR varied widely (mean: 59 ± 33 days, range 9 - 165 days). Logistic regression analysis identified initial GFR as a significant predictor of GFR recovery (odds ratio = 1.11, 95% confidence interval = 1.02 - 1.21, p = 0.012).

Conclusion: Urinary diversion can benefit patients with upper tract obstruction secondary to MIBC by improving renal function, thereby enabling eligibility for cisplatin-based chemotherapy. Notably, the time to GFR recovery following urinary diversion varied among individuals.

求助全文
通过发布文献求助,成功后即可免费获取论文全文。 去求助
来源期刊
自引率
0.00%
发文量
0
×
引用
GB/T 7714-2015
复制
MLA
复制
APA
复制
导出至
BibTeX EndNote RefMan NoteFirst NoteExpress
×
提示
您的信息不完整,为了账户安全,请先补充。
现在去补充
×
提示
您因"违规操作"
具体请查看互助需知
我知道了
×
提示
确定
请完成安全验证×
copy
已复制链接
快去分享给好友吧!
我知道了
右上角分享
点击右上角分享
0
联系我们:info@booksci.cn Book学术提供免费学术资源搜索服务,方便国内外学者检索中英文文献。致力于提供最便捷和优质的服务体验。 Copyright © 2023 布克学术 All rights reserved.
京ICP备2023020795号-1
ghs 京公网安备 11010802042870号
Book学术文献互助
Book学术文献互助群
群 号:604180095
Book学术官方微信