mac-2结合蛋白糖基化异构体在预测代谢功能障碍相关脂肪变性肝病患者纤维化中的作用

IF 2.5 Q2 GASTROENTEROLOGY & HEPATOLOGY
Thuy Thi Thu Pham, Dat Tan Ho, Chanh Pham, Hoan Phan, Bieu Phu, Toan Nguyen, Dang Nguyen, Hai Thanh Phan, Khue Minh Nguyen
{"title":"mac-2结合蛋白糖基化异构体在预测代谢功能障碍相关脂肪变性肝病患者纤维化中的作用","authors":"Thuy Thi Thu Pham, Dat Tan Ho, Chanh Pham, Hoan Phan, Bieu Phu, Toan Nguyen, Dang Nguyen, Hai Thanh Phan, Khue Minh Nguyen","doi":"10.4254/wjh.v17.i7.106991","DOIUrl":null,"url":null,"abstract":"<p><strong>Background: </strong>Mac-2 binding protein glycosylation isomer (M2BPGi) serves as a marker of activated hepatic stellate cells and as such holds potential as a biomarker for liver fibrosis. In Viet Nam, metabolic dysfunction-associated steatotic liver disease (MASLD) is rising in prevalence and there is an urgent need for better clinical management, particularly in early detection methods that will improve overall prognosis.</p><p><strong>Aim: </strong>To examine M2BPGi cut-off values for staging liver fibrosis in patients with MASLD and risk factors associated with disease progression.</p><p><strong>Methods: </strong>A total of 301 individuals with ultrasound-confirmed or FibroScan-confirmed diagnosis of fatty liver were enrolled in the study. The participants were stratified according to fibrosis stage, measured <i>via</i> magnetic resonance elastography. M2BPGi, Fibrosis-4 (FIB-4) Index score, and routine parameters of liver function were assessed to statistically investigate the correlation of M2BPGi levels in various fibrosis stages and to identify risk factors associated with fibrosis severity.</p><p><strong>Results: </strong>M2BPGi levels positively correlated with fibrosis stages, with cut-off indexes of 0.57 for F0-1, 0.68 for F2-3, and 0.78 for F4. M2BPGi levels in the F0-1 group were significantly different from those in both the F2-3 group (<i>P</i> = 0.038) and the F4 group (<i>P</i> = 0.0051); the F2-3 and F4 groups did not show a significant difference (<i>P</i> = 0.39). Females exhibited significantly higher M2BPGi levels than males for all fibrosis stages, particularly in the F2-3 group (<i>P</i> = 0.01) and F4 group (<i>P</i> = 0.0006). In the F4 (cirrhosis) group, individuals with diabetes had significantly higher M2BPGi levels than those without. M2BPGi, hemoglobin A1c, and FIB-4 score were identified as independent risk factors for greater fibrosis and cirrhosis.</p><p><strong>Conclusion: </strong>M2BPGi levels varied significantly throughout fibrosis progression, from early MASLD to cirrhosis, with sex correlation. M2BPGi holds promise as an early biomarker for fibrosis characterization in MASLD adult patient populations.</p>","PeriodicalId":23687,"journal":{"name":"World Journal of Hepatology","volume":"17 7","pages":"106991"},"PeriodicalIF":2.5000,"publicationDate":"2025-07-27","publicationTypes":"Journal Article","fieldsOfStudy":null,"isOpenAccess":false,"openAccessPdf":"https://www.ncbi.nlm.nih.gov/pmc/articles/PMC12308601/pdf/","citationCount":"0","resultStr":"{\"title\":\"Role of mac-2 binding protein glycosylation isomer in predicting fibrosis in patients with metabolic dysfunction-associated steatotic liver disease.\",\"authors\":\"Thuy Thi Thu Pham, Dat Tan Ho, Chanh Pham, Hoan Phan, Bieu Phu, Toan Nguyen, Dang Nguyen, Hai Thanh Phan, Khue Minh Nguyen\",\"doi\":\"10.4254/wjh.v17.i7.106991\",\"DOIUrl\":null,\"url\":null,\"abstract\":\"<p><strong>Background: </strong>Mac-2 binding protein glycosylation isomer (M2BPGi) serves as a marker of activated hepatic stellate cells and as such holds potential as a biomarker for liver fibrosis. In Viet Nam, metabolic dysfunction-associated steatotic liver disease (MASLD) is rising in prevalence and there is an urgent need for better clinical management, particularly in early detection methods that will improve overall prognosis.</p><p><strong>Aim: </strong>To examine M2BPGi cut-off values for staging liver fibrosis in patients with MASLD and risk factors associated with disease progression.</p><p><strong>Methods: </strong>A total of 301 individuals with ultrasound-confirmed or FibroScan-confirmed diagnosis of fatty liver were enrolled in the study. The participants were stratified according to fibrosis stage, measured <i>via</i> magnetic resonance elastography. M2BPGi, Fibrosis-4 (FIB-4) Index score, and routine parameters of liver function were assessed to statistically investigate the correlation of M2BPGi levels in various fibrosis stages and to identify risk factors associated with fibrosis severity.</p><p><strong>Results: </strong>M2BPGi levels positively correlated with fibrosis stages, with cut-off indexes of 0.57 for F0-1, 0.68 for F2-3, and 0.78 for F4. M2BPGi levels in the F0-1 group were significantly different from those in both the F2-3 group (<i>P</i> = 0.038) and the F4 group (<i>P</i> = 0.0051); the F2-3 and F4 groups did not show a significant difference (<i>P</i> = 0.39). Females exhibited significantly higher M2BPGi levels than males for all fibrosis stages, particularly in the F2-3 group (<i>P</i> = 0.01) and F4 group (<i>P</i> = 0.0006). In the F4 (cirrhosis) group, individuals with diabetes had significantly higher M2BPGi levels than those without. M2BPGi, hemoglobin A1c, and FIB-4 score were identified as independent risk factors for greater fibrosis and cirrhosis.</p><p><strong>Conclusion: </strong>M2BPGi levels varied significantly throughout fibrosis progression, from early MASLD to cirrhosis, with sex correlation. M2BPGi holds promise as an early biomarker for fibrosis characterization in MASLD adult patient populations.</p>\",\"PeriodicalId\":23687,\"journal\":{\"name\":\"World Journal of Hepatology\",\"volume\":\"17 7\",\"pages\":\"106991\"},\"PeriodicalIF\":2.5000,\"publicationDate\":\"2025-07-27\",\"publicationTypes\":\"Journal Article\",\"fieldsOfStudy\":null,\"isOpenAccess\":false,\"openAccessPdf\":\"https://www.ncbi.nlm.nih.gov/pmc/articles/PMC12308601/pdf/\",\"citationCount\":\"0\",\"resultStr\":null,\"platform\":\"Semanticscholar\",\"paperid\":null,\"PeriodicalName\":\"World Journal of Hepatology\",\"FirstCategoryId\":\"1085\",\"ListUrlMain\":\"https://doi.org/10.4254/wjh.v17.i7.106991\",\"RegionNum\":0,\"RegionCategory\":null,\"ArticlePicture\":[],\"TitleCN\":null,\"AbstractTextCN\":null,\"PMCID\":null,\"EPubDate\":\"\",\"PubModel\":\"\",\"JCR\":\"Q2\",\"JCRName\":\"GASTROENTEROLOGY & HEPATOLOGY\",\"Score\":null,\"Total\":0}","platform":"Semanticscholar","paperid":null,"PeriodicalName":"World Journal of Hepatology","FirstCategoryId":"1085","ListUrlMain":"https://doi.org/10.4254/wjh.v17.i7.106991","RegionNum":0,"RegionCategory":null,"ArticlePicture":[],"TitleCN":null,"AbstractTextCN":null,"PMCID":null,"EPubDate":"","PubModel":"","JCR":"Q2","JCRName":"GASTROENTEROLOGY & HEPATOLOGY","Score":null,"Total":0}
引用次数: 0

摘要

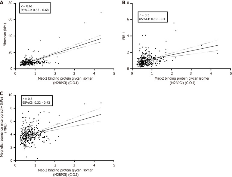
背景:Mac-2结合蛋白糖基化异构体(M2BPGi)可作为活化肝星状细胞的标志物,因此具有作为肝纤维化生物标志物的潜力。在越南,与代谢功能障碍相关的脂肪变性肝病(MASLD)的患病率正在上升,迫切需要更好的临床管理,特别是早期检测方法,以改善总体预后。目的:探讨M2BPGi对MASLD患者肝纤维化分期的临界值以及与疾病进展相关的危险因素。方法:共有301例超声确诊或纤维扫描确诊的脂肪肝患者被纳入研究。参与者根据纤维化分期分层,通过磁共振弹性成像测量。评估M2BPGi、纤维化-4 (FIB-4)指数评分及肝功能常规参数,统计学探讨各纤维化分期M2BPGi水平的相关性,识别与纤维化严重程度相关的危险因素。结果:M2BPGi水平与纤维化分期呈正相关,F0-1的临界值为0.57,F2-3的临界值为0.68,F4的临界值为0.78。F0-1组M2BPGi水平与F2-3组(P = 0.038)、F4组(P = 0.0051)比较差异均有统计学意义;F2-3组与F4组比较差异无统计学意义(P = 0.39)。在所有纤维化阶段,女性的M2BPGi水平均显著高于男性,特别是在F2-3组(P = 0.01)和F4组(P = 0.0006)。在F4(肝硬化)组中,糖尿病患者的M2BPGi水平明显高于无糖尿病患者。M2BPGi、血红蛋白A1c和FIB-4评分被确定为较大纤维化和肝硬化的独立危险因素。结论:M2BPGi水平在从早期MASLD到肝硬化的整个纤维化过程中变化显著,并具有性别相关性。M2BPGi有望成为MASLD成年患者纤维化特征的早期生物标志物。
本文章由计算机程序翻译,如有差异,请以英文原文为准。

Role of mac-2 binding protein glycosylation isomer in predicting fibrosis in patients with metabolic dysfunction-associated steatotic liver disease.

Role of mac-2 binding protein glycosylation isomer in predicting fibrosis in patients with metabolic dysfunction-associated steatotic liver disease.

Role of mac-2 binding protein glycosylation isomer in predicting fibrosis in patients with metabolic dysfunction-associated steatotic liver disease.

Role of mac-2 binding protein glycosylation isomer in predicting fibrosis in patients with metabolic dysfunction-associated steatotic liver disease.

Background: Mac-2 binding protein glycosylation isomer (M2BPGi) serves as a marker of activated hepatic stellate cells and as such holds potential as a biomarker for liver fibrosis. In Viet Nam, metabolic dysfunction-associated steatotic liver disease (MASLD) is rising in prevalence and there is an urgent need for better clinical management, particularly in early detection methods that will improve overall prognosis.

Aim: To examine M2BPGi cut-off values for staging liver fibrosis in patients with MASLD and risk factors associated with disease progression.

Methods: A total of 301 individuals with ultrasound-confirmed or FibroScan-confirmed diagnosis of fatty liver were enrolled in the study. The participants were stratified according to fibrosis stage, measured via magnetic resonance elastography. M2BPGi, Fibrosis-4 (FIB-4) Index score, and routine parameters of liver function were assessed to statistically investigate the correlation of M2BPGi levels in various fibrosis stages and to identify risk factors associated with fibrosis severity.

Results: M2BPGi levels positively correlated with fibrosis stages, with cut-off indexes of 0.57 for F0-1, 0.68 for F2-3, and 0.78 for F4. M2BPGi levels in the F0-1 group were significantly different from those in both the F2-3 group (P = 0.038) and the F4 group (P = 0.0051); the F2-3 and F4 groups did not show a significant difference (P = 0.39). Females exhibited significantly higher M2BPGi levels than males for all fibrosis stages, particularly in the F2-3 group (P = 0.01) and F4 group (P = 0.0006). In the F4 (cirrhosis) group, individuals with diabetes had significantly higher M2BPGi levels than those without. M2BPGi, hemoglobin A1c, and FIB-4 score were identified as independent risk factors for greater fibrosis and cirrhosis.

Conclusion: M2BPGi levels varied significantly throughout fibrosis progression, from early MASLD to cirrhosis, with sex correlation. M2BPGi holds promise as an early biomarker for fibrosis characterization in MASLD adult patient populations.

求助全文
通过发布文献求助,成功后即可免费获取论文全文。 去求助
来源期刊
World Journal of Hepatology
World Journal of Hepatology GASTROENTEROLOGY & HEPATOLOGY-
CiteScore
4.10
自引率
4.20%
发文量
172
×
引用
GB/T 7714-2015
复制
MLA
复制
APA
复制
导出至
BibTeX EndNote RefMan NoteFirst NoteExpress
×
提示
您的信息不完整,为了账户安全,请先补充。
现在去补充
×
提示
您因"违规操作"
具体请查看互助需知
我知道了
×
提示
确定
请完成安全验证×
copy
已复制链接
快去分享给好友吧!
我知道了
右上角分享
点击右上角分享
0
联系我们:info@booksci.cn Book学术提供免费学术资源搜索服务,方便国内外学者检索中英文文献。致力于提供最便捷和优质的服务体验。 Copyright © 2023 布克学术 All rights reserved.
京ICP备2023020795号-1
ghs 京公网安备 11010802042870号
Book学术文献互助
Book学术文献互助群
群 号:604180095
Book学术官方微信