胰腺癌伴肝转移的分子肿瘤板1例。

IF 2.5 Q2 GASTROENTEROLOGY & HEPATOLOGY
Yan Yan, Zhi-Zhong Ren, Wen-Ya Wang, Jing Tang, Yue-Wei Zhang
{"title":"胰腺癌伴肝转移的分子肿瘤板1例。","authors":"Yan Yan, Zhi-Zhong Ren, Wen-Ya Wang, Jing Tang, Yue-Wei Zhang","doi":"10.4254/wjh.v17.i7.106993","DOIUrl":null,"url":null,"abstract":"<p><strong>Background: </strong>Pancreatic cancer has limited treatment options and poor prognosis owing to late diagnosis and aggressive biology. Current therapies include surgery, chemotherapy, and radiation; however, the outcomes remain suboptimal. Molecular tumor boards (MTB) enhance personalized treatment by analyzing genomic data to identify targetable mutations and recommend precise therapies.</p><p><strong>Case summary: </strong>A 45-year-old male presented with jaundice in December 2022. Initial investigations revealed a pancreatic head mass and liver metastases; a liver biopsy confirmed moderately differentiated adenocarcinoma. The patient received multimodal therapies, including gemcitabine, albumin-bound paclitaxel, nimotuzumab, and proton radiotherapy, which initially resulted in significant shrinkage of the pancreatic lesion and a reduction in liver metastases. However, the disease eventually progressed, prompting further evaluation at our MTB clinic. Genetic testing revealed a homologous recombination deficiency (HRD) score of 58 (HRD-positive) and a pathogenic BRCA2 mutation (p.T3033fs), suggesting sensitivity to PARP inhibitors and platinum-based therapies. Based on these findings, the patient was administered olaparib, which, combined with immunotherapy (tislelizumab, atezolizumab) and hepatic arterial infusion chemotherapy (5-fluorouracil + leucovorin + oxaliplatin regimen), led to further stabilization and partial reduction of liver metastases. This case underscores the positive role of the MTB model in interpreting genetic profiles and guiding personalized treatment strategies for such patients.</p><p><strong>Conclusion: </strong>The patient's clinical course highlights the potential of MTB in providing significant benefits for advanced pancreatic cancer with liver metastases.</p>","PeriodicalId":23687,"journal":{"name":"World Journal of Hepatology","volume":"17 7","pages":"106993"},"PeriodicalIF":2.5000,"publicationDate":"2025-07-27","publicationTypes":"Journal Article","fieldsOfStudy":null,"isOpenAccess":false,"openAccessPdf":"https://www.ncbi.nlm.nih.gov/pmc/articles/PMC12308568/pdf/","citationCount":"0","resultStr":"{\"title\":\"Molecular tumor boards in pancreatic cancer with liver metastasis: A case report.\",\"authors\":\"Yan Yan, Zhi-Zhong Ren, Wen-Ya Wang, Jing Tang, Yue-Wei Zhang\",\"doi\":\"10.4254/wjh.v17.i7.106993\",\"DOIUrl\":null,\"url\":null,\"abstract\":\"<p><strong>Background: </strong>Pancreatic cancer has limited treatment options and poor prognosis owing to late diagnosis and aggressive biology. Current therapies include surgery, chemotherapy, and radiation; however, the outcomes remain suboptimal. Molecular tumor boards (MTB) enhance personalized treatment by analyzing genomic data to identify targetable mutations and recommend precise therapies.</p><p><strong>Case summary: </strong>A 45-year-old male presented with jaundice in December 2022. Initial investigations revealed a pancreatic head mass and liver metastases; a liver biopsy confirmed moderately differentiated adenocarcinoma. The patient received multimodal therapies, including gemcitabine, albumin-bound paclitaxel, nimotuzumab, and proton radiotherapy, which initially resulted in significant shrinkage of the pancreatic lesion and a reduction in liver metastases. However, the disease eventually progressed, prompting further evaluation at our MTB clinic. Genetic testing revealed a homologous recombination deficiency (HRD) score of 58 (HRD-positive) and a pathogenic BRCA2 mutation (p.T3033fs), suggesting sensitivity to PARP inhibitors and platinum-based therapies. Based on these findings, the patient was administered olaparib, which, combined with immunotherapy (tislelizumab, atezolizumab) and hepatic arterial infusion chemotherapy (5-fluorouracil + leucovorin + oxaliplatin regimen), led to further stabilization and partial reduction of liver metastases. This case underscores the positive role of the MTB model in interpreting genetic profiles and guiding personalized treatment strategies for such patients.</p><p><strong>Conclusion: </strong>The patient's clinical course highlights the potential of MTB in providing significant benefits for advanced pancreatic cancer with liver metastases.</p>\",\"PeriodicalId\":23687,\"journal\":{\"name\":\"World Journal of Hepatology\",\"volume\":\"17 7\",\"pages\":\"106993\"},\"PeriodicalIF\":2.5000,\"publicationDate\":\"2025-07-27\",\"publicationTypes\":\"Journal Article\",\"fieldsOfStudy\":null,\"isOpenAccess\":false,\"openAccessPdf\":\"https://www.ncbi.nlm.nih.gov/pmc/articles/PMC12308568/pdf/\",\"citationCount\":\"0\",\"resultStr\":null,\"platform\":\"Semanticscholar\",\"paperid\":null,\"PeriodicalName\":\"World Journal of Hepatology\",\"FirstCategoryId\":\"1085\",\"ListUrlMain\":\"https://doi.org/10.4254/wjh.v17.i7.106993\",\"RegionNum\":0,\"RegionCategory\":null,\"ArticlePicture\":[],\"TitleCN\":null,\"AbstractTextCN\":null,\"PMCID\":null,\"EPubDate\":\"\",\"PubModel\":\"\",\"JCR\":\"Q2\",\"JCRName\":\"GASTROENTEROLOGY & HEPATOLOGY\",\"Score\":null,\"Total\":0}","platform":"Semanticscholar","paperid":null,"PeriodicalName":"World Journal of Hepatology","FirstCategoryId":"1085","ListUrlMain":"https://doi.org/10.4254/wjh.v17.i7.106993","RegionNum":0,"RegionCategory":null,"ArticlePicture":[],"TitleCN":null,"AbstractTextCN":null,"PMCID":null,"EPubDate":"","PubModel":"","JCR":"Q2","JCRName":"GASTROENTEROLOGY & HEPATOLOGY","Score":null,"Total":0}
引用次数: 0

摘要

背景:胰腺癌由于诊断较晚和具有侵袭性的生物学特性,治疗选择有限,预后较差。目前的治疗方法包括手术、化疗和放疗;然而,结果仍然不理想。分子肿瘤委员会(MTB)通过分析基因组数据来识别可靶向的突变并推荐精确的治疗方法,从而增强个性化治疗。病例总结:一名45岁男性,于2022年12月出现黄疸。初步调查显示胰腺头部肿块和肝脏转移;肝活检证实中度分化腺癌。患者接受了多模式治疗,包括吉西他滨、白蛋白结合紫杉醇、尼莫单抗和质子放疗,最初导致胰腺病变显著缩小,肝转移减少。然而,疾病最终进展,促使我们的MTB诊所进一步评估。基因检测显示同源重组缺陷(HRD)评分为58 (HRD阳性)和致病性BRCA2突变(p.T3033fs),提示对PARP抑制剂和铂基治疗敏感。基于这些发现,患者给予奥拉帕尼,联合免疫治疗(替利单抗,阿特唑单抗)和肝动脉输注化疗(5-氟尿嘧啶+亚叶酸钙+奥沙利铂方案),进一步稳定和部分减少肝转移。该病例强调了MTB模型在解释遗传谱和指导此类患者的个性化治疗策略方面的积极作用。结论:该患者的临床过程突出了MTB在晚期胰腺癌伴肝转移患者中提供显著益处的潜力。
本文章由计算机程序翻译,如有差异,请以英文原文为准。

Molecular tumor boards in pancreatic cancer with liver metastasis: A case report.

Molecular tumor boards in pancreatic cancer with liver metastasis: A case report.

Molecular tumor boards in pancreatic cancer with liver metastasis: A case report.

Molecular tumor boards in pancreatic cancer with liver metastasis: A case report.

Background: Pancreatic cancer has limited treatment options and poor prognosis owing to late diagnosis and aggressive biology. Current therapies include surgery, chemotherapy, and radiation; however, the outcomes remain suboptimal. Molecular tumor boards (MTB) enhance personalized treatment by analyzing genomic data to identify targetable mutations and recommend precise therapies.

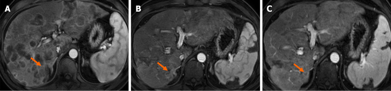
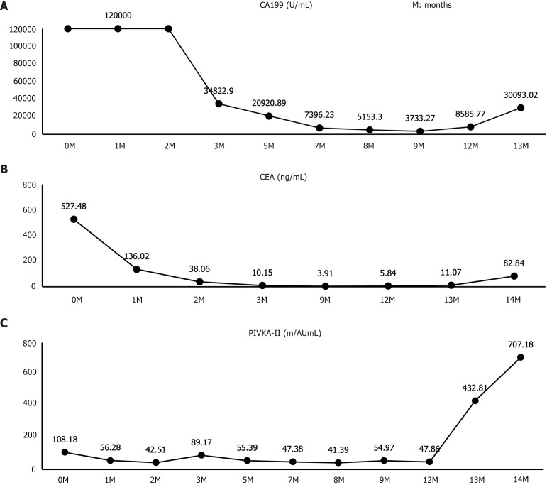
Case summary: A 45-year-old male presented with jaundice in December 2022. Initial investigations revealed a pancreatic head mass and liver metastases; a liver biopsy confirmed moderately differentiated adenocarcinoma. The patient received multimodal therapies, including gemcitabine, albumin-bound paclitaxel, nimotuzumab, and proton radiotherapy, which initially resulted in significant shrinkage of the pancreatic lesion and a reduction in liver metastases. However, the disease eventually progressed, prompting further evaluation at our MTB clinic. Genetic testing revealed a homologous recombination deficiency (HRD) score of 58 (HRD-positive) and a pathogenic BRCA2 mutation (p.T3033fs), suggesting sensitivity to PARP inhibitors and platinum-based therapies. Based on these findings, the patient was administered olaparib, which, combined with immunotherapy (tislelizumab, atezolizumab) and hepatic arterial infusion chemotherapy (5-fluorouracil + leucovorin + oxaliplatin regimen), led to further stabilization and partial reduction of liver metastases. This case underscores the positive role of the MTB model in interpreting genetic profiles and guiding personalized treatment strategies for such patients.

Conclusion: The patient's clinical course highlights the potential of MTB in providing significant benefits for advanced pancreatic cancer with liver metastases.

求助全文
通过发布文献求助,成功后即可免费获取论文全文。 去求助
来源期刊
World Journal of Hepatology
World Journal of Hepatology GASTROENTEROLOGY & HEPATOLOGY-
CiteScore
4.10
自引率
4.20%
发文量
172
×
引用
GB/T 7714-2015
复制
MLA
复制
APA
复制
导出至
BibTeX EndNote RefMan NoteFirst NoteExpress
×
提示
您的信息不完整,为了账户安全,请先补充。
现在去补充
×
提示
您因"违规操作"
具体请查看互助需知
我知道了
×
提示
确定
请完成安全验证×
copy
已复制链接
快去分享给好友吧!
我知道了
右上角分享
点击右上角分享
0
联系我们:info@booksci.cn Book学术提供免费学术资源搜索服务,方便国内外学者检索中英文文献。致力于提供最便捷和优质的服务体验。 Copyright © 2023 布克学术 All rights reserved.
京ICP备2023020795号-1
ghs 京公网安备 11010802042870号
Book学术文献互助
Book学术文献互助群
群 号:604180095
Book学术官方微信