与安慰剂或GLP-1受体激动剂相比,替西帕肽对肥胖或超重成人的减肥效果:一项治疗持续时间≥20周的随机对照试验的荟萃分析

IF 3.9 Q2 ENDOCRINOLOGY & METABOLISM
Journal of Obesity Pub Date : 2025-07-24 eCollection Date: 2025-01-01 DOI:10.1155/jobe/3442754
Alhussain Khawaji, Abdulaziz A Jaly, Hanan A Bakri, Renju Ravi, Ahmed Hattan, Abdullah Khawaji, Wael Najmi
{"title":"与安慰剂或GLP-1受体激动剂相比,替西帕肽对肥胖或超重成人的减肥效果:一项治疗持续时间≥20周的随机对照试验的荟萃分析","authors":"Alhussain Khawaji, Abdulaziz A Jaly, Hanan A Bakri, Renju Ravi, Ahmed Hattan, Abdullah Khawaji, Wael Najmi","doi":"10.1155/jobe/3442754","DOIUrl":null,"url":null,"abstract":"<p><p><b>Introduction:</b> Tirzepatide, a dual glucose-dependent insulinotropic peptide (GIP) and glucagon-like Peptide 1 (GLP-1) analogue, is a novel medication with comparable pharmacological characteristics and has demonstrated promising weight reduction outcomes in its antidiabetic trials following the approval of liraglutide and semaglutide for long-term weight control. Nonetheless, this efficacy has not been fully explored, so this meta-analysis was aimed to measure the weight loss efficacy and safety of tirzepatide in adults with overweight or obesity. <b>Methods:</b> We searched the PubMed, Cochrane, and Embase databases for RCTs of once-weekly tirzepatide vs. placebo or GLP-1 receptor agonists. We included studies involving adult participants who were overweight or obese despite T2DM or OHA use, with a trial duration of at least 20 weeks. The primary outcomes accounted for the mean difference in weight from baseline in the three doses of tirzepatide compared to placebo and GLP-1 receptor agonists, separately. The secondary outcomes included safety profiles and achievement of categorical weight loss of 5%, 10% and 15%. We performed the statistical analysis on RevMan 5.4, GRADE assessment using GRADEpro GDT and the quality of the included studies assessed using the Cochrane risk-of-bias (Version 2) tool. <b>Results:</b> We identified six RCTs in which the data of 6266 subjects were analysed. Once-weekly doses (5, 10 and 15 mg) of tirzepatide were more effective than placebo and GLP-1 RAs. Also, the proportion of patients achieving categorical weight loss goals was higher in the tirzepatide groups than in others. GRADE assessment also indicated high-certainty evidence for ≥ 15% weight loss with tirzepatide and moderate-to-low certainty for lower thresholds. Gastrointestinal side effects appeared similar between the three doses of tirzepatide and GLP-1 RAs, but they were significantly higher than placebo might impact tolerability for certain patients. <b>Conclusion:</b> A dose-dependent tirzepatide was superior to placebo and GLP-1 RAs in weight reduction. However, the lean mass reduction and tolerability require further investigation. <b>Trial Registration:</b> ClinicalTrials.gov identifier: NCT04255433.</p>","PeriodicalId":16628,"journal":{"name":"Journal of Obesity","volume":"2025 ","pages":"3442754"},"PeriodicalIF":3.9000,"publicationDate":"2025-07-24","publicationTypes":"Journal Article","fieldsOfStudy":null,"isOpenAccess":false,"openAccessPdf":"https://www.ncbi.nlm.nih.gov/pmc/articles/PMC12313391/pdf/","citationCount":"0","resultStr":"{\"title\":\"Weight Loss Efficacy of Tirzepatide Compared to Placebo or GLP-1 Receptor Agonists in Adults With Obesity or Overweight: A Meta-Analysis of Randomized Controlled Trials With ≥ 20 Weeks Treatment Duration.\",\"authors\":\"Alhussain Khawaji, Abdulaziz A Jaly, Hanan A Bakri, Renju Ravi, Ahmed Hattan, Abdullah Khawaji, Wael Najmi\",\"doi\":\"10.1155/jobe/3442754\",\"DOIUrl\":null,\"url\":null,\"abstract\":\"<p><p><b>Introduction:</b> Tirzepatide, a dual glucose-dependent insulinotropic peptide (GIP) and glucagon-like Peptide 1 (GLP-1) analogue, is a novel medication with comparable pharmacological characteristics and has demonstrated promising weight reduction outcomes in its antidiabetic trials following the approval of liraglutide and semaglutide for long-term weight control. Nonetheless, this efficacy has not been fully explored, so this meta-analysis was aimed to measure the weight loss efficacy and safety of tirzepatide in adults with overweight or obesity. <b>Methods:</b> We searched the PubMed, Cochrane, and Embase databases for RCTs of once-weekly tirzepatide vs. placebo or GLP-1 receptor agonists. We included studies involving adult participants who were overweight or obese despite T2DM or OHA use, with a trial duration of at least 20 weeks. The primary outcomes accounted for the mean difference in weight from baseline in the three doses of tirzepatide compared to placebo and GLP-1 receptor agonists, separately. The secondary outcomes included safety profiles and achievement of categorical weight loss of 5%, 10% and 15%. We performed the statistical analysis on RevMan 5.4, GRADE assessment using GRADEpro GDT and the quality of the included studies assessed using the Cochrane risk-of-bias (Version 2) tool. <b>Results:</b> We identified six RCTs in which the data of 6266 subjects were analysed. Once-weekly doses (5, 10 and 15 mg) of tirzepatide were more effective than placebo and GLP-1 RAs. Also, the proportion of patients achieving categorical weight loss goals was higher in the tirzepatide groups than in others. GRADE assessment also indicated high-certainty evidence for ≥ 15% weight loss with tirzepatide and moderate-to-low certainty for lower thresholds. Gastrointestinal side effects appeared similar between the three doses of tirzepatide and GLP-1 RAs, but they were significantly higher than placebo might impact tolerability for certain patients. <b>Conclusion:</b> A dose-dependent tirzepatide was superior to placebo and GLP-1 RAs in weight reduction. However, the lean mass reduction and tolerability require further investigation. <b>Trial Registration:</b> ClinicalTrials.gov identifier: NCT04255433.</p>\",\"PeriodicalId\":16628,\"journal\":{\"name\":\"Journal of Obesity\",\"volume\":\"2025 \",\"pages\":\"3442754\"},\"PeriodicalIF\":3.9000,\"publicationDate\":\"2025-07-24\",\"publicationTypes\":\"Journal Article\",\"fieldsOfStudy\":null,\"isOpenAccess\":false,\"openAccessPdf\":\"https://www.ncbi.nlm.nih.gov/pmc/articles/PMC12313391/pdf/\",\"citationCount\":\"0\",\"resultStr\":null,\"platform\":\"Semanticscholar\",\"paperid\":null,\"PeriodicalName\":\"Journal of Obesity\",\"FirstCategoryId\":\"1085\",\"ListUrlMain\":\"https://doi.org/10.1155/jobe/3442754\",\"RegionNum\":0,\"RegionCategory\":null,\"ArticlePicture\":[],\"TitleCN\":null,\"AbstractTextCN\":null,\"PMCID\":null,\"EPubDate\":\"2025/1/1 0:00:00\",\"PubModel\":\"eCollection\",\"JCR\":\"Q2\",\"JCRName\":\"ENDOCRINOLOGY & METABOLISM\",\"Score\":null,\"Total\":0}","platform":"Semanticscholar","paperid":null,"PeriodicalName":"Journal of Obesity","FirstCategoryId":"1085","ListUrlMain":"https://doi.org/10.1155/jobe/3442754","RegionNum":0,"RegionCategory":null,"ArticlePicture":[],"TitleCN":null,"AbstractTextCN":null,"PMCID":null,"EPubDate":"2025/1/1 0:00:00","PubModel":"eCollection","JCR":"Q2","JCRName":"ENDOCRINOLOGY & METABOLISM","Score":null,"Total":0}
引用次数: 0

摘要

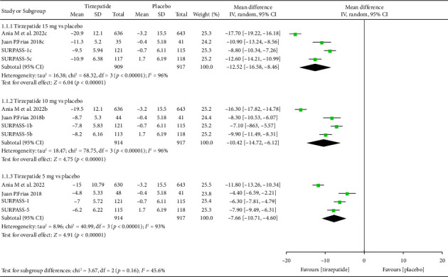
Tirzepatide是一种双葡萄糖依赖性胰岛素肽(GIP)和胰高血糖素样肽1 (GLP-1)类似物,是一种具有相似药理特性的新型药物,在利拉鲁肽和semaglutide被批准用于长期体重控制后,在其抗糖尿病试验中显示出有希望的减肥效果。然而,这种疗效尚未得到充分的探讨,因此本荟萃分析旨在衡量替西帕肽对超重或肥胖成人的减肥疗效和安全性。方法:我们检索了PubMed、Cochrane和Embase数据库,查找每周一次的替西肽与安慰剂或GLP-1受体激动剂的随机对照试验。我们纳入的研究对象为超重或肥胖的成年受试者,尽管使用了2型糖尿病或OHA,试验持续时间至少为20周。主要结果分别是与安慰剂和GLP-1受体激动剂相比,三种剂量的替西帕肽与基线体重的平均差异。次要结果包括安全性概况和达到5%、10%和15%的分类体重减轻。我们对RevMan 5.4进行统计分析,使用GRADEpro GDT评估GRADE,并使用Cochrane风险偏倚(Version 2)工具评估纳入研究的质量。结果:我们确定了6项随机对照试验,分析了6266名受试者的数据。每周一次的替西帕肽剂量(5,10和15mg)比安慰剂和GLP-1 RAs更有效。此外,替西肽组达到分类减肥目标的患者比例高于其他组。GRADE评估还显示,使用替西肽体重减轻≥15%的证据为高确定性证据,较低阈值的证据为中低确定性证据。胃肠道副作用在三种剂量的替西帕肽和GLP-1 RAs之间似乎相似,但它们明显高于安慰剂,可能会影响某些患者的耐受性。结论:剂量依赖性替西肽的减重效果优于安慰剂和GLP-1 RAs。然而,瘦质量的减少和耐受性需要进一步的研究。试验注册:ClinicalTrials.gov标识符:NCT04255433。
本文章由计算机程序翻译,如有差异,请以英文原文为准。

Weight Loss Efficacy of Tirzepatide Compared to Placebo or GLP-1 Receptor Agonists in Adults With Obesity or Overweight: A Meta-Analysis of Randomized Controlled Trials With ≥ 20 Weeks Treatment Duration.

Weight Loss Efficacy of Tirzepatide Compared to Placebo or GLP-1 Receptor Agonists in Adults With Obesity or Overweight: A Meta-Analysis of Randomized Controlled Trials With ≥ 20 Weeks Treatment Duration.

Weight Loss Efficacy of Tirzepatide Compared to Placebo or GLP-1 Receptor Agonists in Adults With Obesity or Overweight: A Meta-Analysis of Randomized Controlled Trials With ≥ 20 Weeks Treatment Duration.

Weight Loss Efficacy of Tirzepatide Compared to Placebo or GLP-1 Receptor Agonists in Adults With Obesity or Overweight: A Meta-Analysis of Randomized Controlled Trials With ≥ 20 Weeks Treatment Duration.

Introduction: Tirzepatide, a dual glucose-dependent insulinotropic peptide (GIP) and glucagon-like Peptide 1 (GLP-1) analogue, is a novel medication with comparable pharmacological characteristics and has demonstrated promising weight reduction outcomes in its antidiabetic trials following the approval of liraglutide and semaglutide for long-term weight control. Nonetheless, this efficacy has not been fully explored, so this meta-analysis was aimed to measure the weight loss efficacy and safety of tirzepatide in adults with overweight or obesity. Methods: We searched the PubMed, Cochrane, and Embase databases for RCTs of once-weekly tirzepatide vs. placebo or GLP-1 receptor agonists. We included studies involving adult participants who were overweight or obese despite T2DM or OHA use, with a trial duration of at least 20 weeks. The primary outcomes accounted for the mean difference in weight from baseline in the three doses of tirzepatide compared to placebo and GLP-1 receptor agonists, separately. The secondary outcomes included safety profiles and achievement of categorical weight loss of 5%, 10% and 15%. We performed the statistical analysis on RevMan 5.4, GRADE assessment using GRADEpro GDT and the quality of the included studies assessed using the Cochrane risk-of-bias (Version 2) tool. Results: We identified six RCTs in which the data of 6266 subjects were analysed. Once-weekly doses (5, 10 and 15 mg) of tirzepatide were more effective than placebo and GLP-1 RAs. Also, the proportion of patients achieving categorical weight loss goals was higher in the tirzepatide groups than in others. GRADE assessment also indicated high-certainty evidence for ≥ 15% weight loss with tirzepatide and moderate-to-low certainty for lower thresholds. Gastrointestinal side effects appeared similar between the three doses of tirzepatide and GLP-1 RAs, but they were significantly higher than placebo might impact tolerability for certain patients. Conclusion: A dose-dependent tirzepatide was superior to placebo and GLP-1 RAs in weight reduction. However, the lean mass reduction and tolerability require further investigation. Trial Registration: ClinicalTrials.gov identifier: NCT04255433.

求助全文
通过发布文献求助,成功后即可免费获取论文全文。 去求助
来源期刊
Journal of Obesity
Journal of Obesity ENDOCRINOLOGY & METABOLISM-
CiteScore
7.50
自引率
3.00%
发文量
19
审稿时长
21 weeks
期刊介绍: Journal of Obesity is a peer-reviewed, Open Access journal that provides a multidisciplinary forum for basic and clinical research as well as applied studies in the areas of adipocyte biology & physiology, lipid metabolism, metabolic syndrome, diabetes, paediatric obesity, genetics, behavioural epidemiology, nutrition & eating disorders, exercise & human physiology, weight control and health risks associated with obesity.
×
引用
GB/T 7714-2015
复制
MLA
复制
APA
复制
导出至
BibTeX EndNote RefMan NoteFirst NoteExpress
×
提示
您的信息不完整,为了账户安全,请先补充。
现在去补充
×
提示
您因"违规操作"
具体请查看互助需知
我知道了
×
提示
确定
请完成安全验证×
copy
已复制链接
快去分享给好友吧!
我知道了
右上角分享
点击右上角分享
0
联系我们:info@booksci.cn Book学术提供免费学术资源搜索服务,方便国内外学者检索中英文文献。致力于提供最便捷和优质的服务体验。 Copyright © 2023 布克学术 All rights reserved.
京ICP备2023020795号-1
ghs 京公网安备 11010802042870号
Book学术文献互助
Book学术文献互助群
群 号:604180095
Book学术官方微信