硼中子俘获治疗复发性脑膜瘤:剂量学和临床相关性的可行性研究。

IF 3.1 2区 医学 Q2 CLINICAL NEUROLOGY
Journal of Neuro-Oncology Pub Date : 2025-11-01 Epub Date: 2025-07-31 DOI:10.1007/s11060-025-05184-w
Tien-Li Lan, Chun-Fu Lin, Yi-Yen Lee, Feng-Chi Chang, Shih-Chieh Lin, Fong-In Chou, Jinn-Jer Peir, Po-Shen Pan, Jen-Kun Chen, Lu-Han Lai, Hiroki Tanaka, Shih-Ming Hsu, Yi-Wei Chen
{"title":"硼中子俘获治疗复发性脑膜瘤:剂量学和临床相关性的可行性研究。","authors":"Tien-Li Lan, Chun-Fu Lin, Yi-Yen Lee, Feng-Chi Chang, Shih-Chieh Lin, Fong-In Chou, Jinn-Jer Peir, Po-Shen Pan, Jen-Kun Chen, Lu-Han Lai, Hiroki Tanaka, Shih-Ming Hsu, Yi-Wei Chen","doi":"10.1007/s11060-025-05184-w","DOIUrl":null,"url":null,"abstract":"<p><strong>Background: </strong>Boron neutron capture therapy (BNCT) is a targeted radiotherapy modality that has shown promise in the treatment of recurrent gliomas and head and neck cancers. Although meningiomas are generally slow-growing, recent studies have demonstrated favorable uptake of boron-containing compounds, particularly boronophenylalanine (BPA), suggesting a potential role for BNCT in recurrent meningioma.</p><p><strong>Methods: </strong>We retrospectively analyzed 13 patients with recurrent meningiomas treated with salvage BNCT at the Tsing Hua Open-Pool Reactor between August 2020 and May 2024. Tumor uptake was assessed using either ¹⁸F-BPA or ¹⁸F-Fluciclovine PET. Treatment response was evaluated using RANO criteria, and outcomes were analyzed in relation to dosimetric and clinical factors.</p><p><strong>Results: </strong>Of the 13 patients (1 WHO grade 3, 6 grade 2, and 6 grade 1), 5 (38%) responded to BNCT. Responders had significantly higher tumor mean dose (45.10 vs. 25.85 GyE, p = 0.003). Tumor location influenced dosimetry; non-skull base tumors received higher doses and showed a trend toward better response. TNR and tumor size were not predictive of response. No severe adverse events were observed.</p><p><strong>Conclusions: </strong>Salvage BNCT is a feasible and well-tolerated treatment for recurrent meningioma, with dose distribution and tumor location significantly influencing treatment response. Further studies are warranted to refine imaging and planning strategies, particularly for skull base lesions and in the context of Fluciclovine PET.</p>","PeriodicalId":16425,"journal":{"name":"Journal of Neuro-Oncology","volume":" ","pages":"879-886"},"PeriodicalIF":3.1000,"publicationDate":"2025-11-01","publicationTypes":"Journal Article","fieldsOfStudy":null,"isOpenAccess":false,"openAccessPdf":"https://www.ncbi.nlm.nih.gov/pmc/articles/PMC12420710/pdf/","citationCount":"0","resultStr":"{\"title\":\"Recurrent meningioma treated with boron neutron capture therapy: a feasibility study with dosimetric and clinical correlates.\",\"authors\":\"Tien-Li Lan, Chun-Fu Lin, Yi-Yen Lee, Feng-Chi Chang, Shih-Chieh Lin, Fong-In Chou, Jinn-Jer Peir, Po-Shen Pan, Jen-Kun Chen, Lu-Han Lai, Hiroki Tanaka, Shih-Ming Hsu, Yi-Wei Chen\",\"doi\":\"10.1007/s11060-025-05184-w\",\"DOIUrl\":null,\"url\":null,\"abstract\":\"<p><strong>Background: </strong>Boron neutron capture therapy (BNCT) is a targeted radiotherapy modality that has shown promise in the treatment of recurrent gliomas and head and neck cancers. Although meningiomas are generally slow-growing, recent studies have demonstrated favorable uptake of boron-containing compounds, particularly boronophenylalanine (BPA), suggesting a potential role for BNCT in recurrent meningioma.</p><p><strong>Methods: </strong>We retrospectively analyzed 13 patients with recurrent meningiomas treated with salvage BNCT at the Tsing Hua Open-Pool Reactor between August 2020 and May 2024. Tumor uptake was assessed using either ¹⁸F-BPA or ¹⁸F-Fluciclovine PET. Treatment response was evaluated using RANO criteria, and outcomes were analyzed in relation to dosimetric and clinical factors.</p><p><strong>Results: </strong>Of the 13 patients (1 WHO grade 3, 6 grade 2, and 6 grade 1), 5 (38%) responded to BNCT. Responders had significantly higher tumor mean dose (45.10 vs. 25.85 GyE, p = 0.003). Tumor location influenced dosimetry; non-skull base tumors received higher doses and showed a trend toward better response. TNR and tumor size were not predictive of response. No severe adverse events were observed.</p><p><strong>Conclusions: </strong>Salvage BNCT is a feasible and well-tolerated treatment for recurrent meningioma, with dose distribution and tumor location significantly influencing treatment response. Further studies are warranted to refine imaging and planning strategies, particularly for skull base lesions and in the context of Fluciclovine PET.</p>\",\"PeriodicalId\":16425,\"journal\":{\"name\":\"Journal of Neuro-Oncology\",\"volume\":\" \",\"pages\":\"879-886\"},\"PeriodicalIF\":3.1000,\"publicationDate\":\"2025-11-01\",\"publicationTypes\":\"Journal Article\",\"fieldsOfStudy\":null,\"isOpenAccess\":false,\"openAccessPdf\":\"https://www.ncbi.nlm.nih.gov/pmc/articles/PMC12420710/pdf/\",\"citationCount\":\"0\",\"resultStr\":null,\"platform\":\"Semanticscholar\",\"paperid\":null,\"PeriodicalName\":\"Journal of Neuro-Oncology\",\"FirstCategoryId\":\"3\",\"ListUrlMain\":\"https://doi.org/10.1007/s11060-025-05184-w\",\"RegionNum\":2,\"RegionCategory\":\"医学\",\"ArticlePicture\":[],\"TitleCN\":null,\"AbstractTextCN\":null,\"PMCID\":null,\"EPubDate\":\"2025/7/31 0:00:00\",\"PubModel\":\"Epub\",\"JCR\":\"Q2\",\"JCRName\":\"CLINICAL NEUROLOGY\",\"Score\":null,\"Total\":0}","platform":"Semanticscholar","paperid":null,"PeriodicalName":"Journal of Neuro-Oncology","FirstCategoryId":"3","ListUrlMain":"https://doi.org/10.1007/s11060-025-05184-w","RegionNum":2,"RegionCategory":"医学","ArticlePicture":[],"TitleCN":null,"AbstractTextCN":null,"PMCID":null,"EPubDate":"2025/7/31 0:00:00","PubModel":"Epub","JCR":"Q2","JCRName":"CLINICAL NEUROLOGY","Score":null,"Total":0}
引用次数: 0

摘要

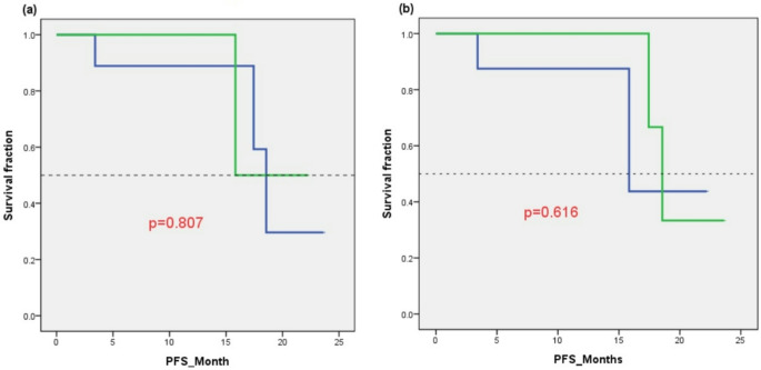
背景:硼中子俘获疗法(BNCT)是一种靶向放疗方式,在治疗复发性胶质瘤和头颈癌方面显示出前景。虽然脑膜瘤通常生长缓慢,但最近的研究表明含硼化合物,特别是硼苯丙氨酸(BPA)的吸收有利,这表明BNCT在复发性脑膜瘤中的潜在作用。方法:我们回顾性分析了2020年8月至2024年5月在清华开放池反应器接受补救性BNCT治疗的13例复发性脑膜瘤患者。采用¹⁸F-BPA或¹⁸f -氟氯洛夫PET评估肿瘤摄取情况。使用RANO标准评估治疗反应,并分析与剂量学和临床因素相关的结果。结果:在13例患者中(1例WHO分级3级,6例WHO分级2级,6例WHO分级1级),5例(38%)对BNCT有反应。应答者的肿瘤平均剂量显著高于应答者(45.10比25.85 GyE, p = 0.003)。肿瘤位置影响剂量测定;非颅底肿瘤接受更高的剂量,并表现出更好的反应趋势。TNR和肿瘤大小不能预测疗效。未观察到严重的不良事件。结论:补救性BNCT治疗复发性脑膜瘤是一种可行且耐受性良好的治疗方法,剂量分布和肿瘤位置显著影响治疗效果。进一步的研究需要完善成像和规划策略,特别是对于颅底病变和氟氯洛夫PET。
本文章由计算机程序翻译,如有差异,请以英文原文为准。

Recurrent meningioma treated with boron neutron capture therapy: a feasibility study with dosimetric and clinical correlates.

Recurrent meningioma treated with boron neutron capture therapy: a feasibility study with dosimetric and clinical correlates.

Recurrent meningioma treated with boron neutron capture therapy: a feasibility study with dosimetric and clinical correlates.

Background: Boron neutron capture therapy (BNCT) is a targeted radiotherapy modality that has shown promise in the treatment of recurrent gliomas and head and neck cancers. Although meningiomas are generally slow-growing, recent studies have demonstrated favorable uptake of boron-containing compounds, particularly boronophenylalanine (BPA), suggesting a potential role for BNCT in recurrent meningioma.

Methods: We retrospectively analyzed 13 patients with recurrent meningiomas treated with salvage BNCT at the Tsing Hua Open-Pool Reactor between August 2020 and May 2024. Tumor uptake was assessed using either ¹⁸F-BPA or ¹⁸F-Fluciclovine PET. Treatment response was evaluated using RANO criteria, and outcomes were analyzed in relation to dosimetric and clinical factors.

Results: Of the 13 patients (1 WHO grade 3, 6 grade 2, and 6 grade 1), 5 (38%) responded to BNCT. Responders had significantly higher tumor mean dose (45.10 vs. 25.85 GyE, p = 0.003). Tumor location influenced dosimetry; non-skull base tumors received higher doses and showed a trend toward better response. TNR and tumor size were not predictive of response. No severe adverse events were observed.

Conclusions: Salvage BNCT is a feasible and well-tolerated treatment for recurrent meningioma, with dose distribution and tumor location significantly influencing treatment response. Further studies are warranted to refine imaging and planning strategies, particularly for skull base lesions and in the context of Fluciclovine PET.

求助全文
通过发布文献求助,成功后即可免费获取论文全文。 去求助
来源期刊
Journal of Neuro-Oncology
Journal of Neuro-Oncology 医学-临床神经学
CiteScore
6.60
自引率
7.70%
发文量
277
审稿时长
3.3 months
期刊介绍: The Journal of Neuro-Oncology is a multi-disciplinary journal encompassing basic, applied, and clinical investigations in all research areas as they relate to cancer and the central nervous system. It provides a single forum for communication among neurologists, neurosurgeons, radiotherapists, medical oncologists, neuropathologists, neurodiagnosticians, and laboratory-based oncologists conducting relevant research. The Journal of Neuro-Oncology does not seek to isolate the field, but rather to focus the efforts of many disciplines in one publication through a format which pulls together these diverse interests. More than any other field of oncology, cancer of the central nervous system requires multi-disciplinary approaches. To alleviate having to scan dozens of journals of cell biology, pathology, laboratory and clinical endeavours, JNO is a periodical in which current, high-quality, relevant research in all aspects of neuro-oncology may be found.
×
引用
GB/T 7714-2015
复制
MLA
复制
APA
复制
导出至
BibTeX EndNote RefMan NoteFirst NoteExpress
×
提示
您的信息不完整,为了账户安全,请先补充。
现在去补充
×
提示
您因"违规操作"
具体请查看互助需知
我知道了
×
提示
确定
请完成安全验证×
copy
已复制链接
快去分享给好友吧!
我知道了
右上角分享
点击右上角分享
0
联系我们:info@booksci.cn Book学术提供免费学术资源搜索服务,方便国内外学者检索中英文文献。致力于提供最便捷和优质的服务体验。 Copyright © 2023 布克学术 All rights reserved.
京ICP备2023020795号-1
ghs 京公网安备 11010802042870号
Book学术文献互助
Book学术文献互助群
群 号:604180095
Book学术官方微信