结合脂质代谢和解剖学特征对急性胰腺炎后糖尿病的个体化预测。

IF 4.5 2区 医学 Q1 RADIOLOGY, NUCLEAR MEDICINE & MEDICAL IMAGING
Ling Ling Tang, Qi Zhang, Shuang Yi Song, Nian Liu, Qing Lin Du, Shu Ting Zhong, Xiao Hua Huang
{"title":"结合脂质代谢和解剖学特征对急性胰腺炎后糖尿病的个体化预测。","authors":"Ling Ling Tang, Qi Zhang, Shuang Yi Song, Nian Liu, Qing Lin Du, Shu Ting Zhong, Xiao Hua Huang","doi":"10.1186/s13244-025-02039-w","DOIUrl":null,"url":null,"abstract":"<p><strong>Objectives: </strong>To investigate the lipid metabolism and anatomical risk factors of post-acute pancreatitis diabetes mellitus (PPDM) and their value in individualized prediction.</p><p><strong>Materials and methods: </strong>A continuous retrospective analysis was conducted on 241 patients with acute pancreatitis (AP) treated in our hospital from January 2017 to December 2021. The type and angle of the pancreaticobiliary junction were measured on magnetic resonance cholangiopancreatography (MRCP) images, and baseline lipid metabolism indicators were collected. We evaluated the risk factors of PPDM using univariate and multivariate Cox proportional hazard analysis, established quantitative prediction models for PPDM, and evaluated the predictive value of lipid metabolism and features of the pancreaticobiliary junction.</p><p><strong>Results: </strong>Overall, 85 of 241 eligible patients (35.27%) ultimately developed PPDM. Univariate and multivariate analyses showed B-P type in pancreaticobiliary junction (p = 0.017), the angle of junction (p = 0.041), non-high-density lipoprotein (p = 0.029), alcohol index (p < 0.001), body mass index (p = 0.042), inflammatory frequency (p = 0.016), fasting blood glucose (p = 0.002), concomitant hypertension (p < 0.001) were important predictive factors for the occurrence of PPDM. The model that integrated imaging features of the pancreaticobiliary junction has a higher predictive performance than models without imaging features, with an AUC of 0.882 (95% CI, 0.836-0.930). The AUC of the combined model was 0.886 (95% CI, 0.841-0.932), and there was no statistical difference in AUC between the combined model and the pancreaticobiliary junction model (p = 0.340).</p><p><strong>Conclusion: </strong>The lipid metabolism and morphological characteristics of the pancreaticobiliary junction are additional risk factors for PPDM, and the quantitative prediction model shows moderate predictive performance.</p><p><strong>Critical relevance statement: </strong>The type and angle of the pancreaticobiliary junction based on MRCP are independent predictors of PPDM, which can quantitatively predict risk in the early stage.</p><p><strong>Key points: </strong>PPDM has an increasing incidence and poor prognosis, which requires early monitoring. Larger angles and B-P type in the pancreaticobiliary junction are risk factors for PPDM. Quantitative prediction of PPDM risk allows for early personalized prevention and treatment.</p>","PeriodicalId":13639,"journal":{"name":"Insights into Imaging","volume":"16 1","pages":"161"},"PeriodicalIF":4.5000,"publicationDate":"2025-07-31","publicationTypes":"Journal Article","fieldsOfStudy":null,"isOpenAccess":false,"openAccessPdf":"https://www.ncbi.nlm.nih.gov/pmc/articles/PMC12314159/pdf/","citationCount":"0","resultStr":"{\"title\":\"Individualized prediction of post-acute pancreatitis diabetes mellitus by combining lipid metabolism and anatomical features.\",\"authors\":\"Ling Ling Tang, Qi Zhang, Shuang Yi Song, Nian Liu, Qing Lin Du, Shu Ting Zhong, Xiao Hua Huang\",\"doi\":\"10.1186/s13244-025-02039-w\",\"DOIUrl\":null,\"url\":null,\"abstract\":\"<p><strong>Objectives: </strong>To investigate the lipid metabolism and anatomical risk factors of post-acute pancreatitis diabetes mellitus (PPDM) and their value in individualized prediction.</p><p><strong>Materials and methods: </strong>A continuous retrospective analysis was conducted on 241 patients with acute pancreatitis (AP) treated in our hospital from January 2017 to December 2021. The type and angle of the pancreaticobiliary junction were measured on magnetic resonance cholangiopancreatography (MRCP) images, and baseline lipid metabolism indicators were collected. We evaluated the risk factors of PPDM using univariate and multivariate Cox proportional hazard analysis, established quantitative prediction models for PPDM, and evaluated the predictive value of lipid metabolism and features of the pancreaticobiliary junction.</p><p><strong>Results: </strong>Overall, 85 of 241 eligible patients (35.27%) ultimately developed PPDM. Univariate and multivariate analyses showed B-P type in pancreaticobiliary junction (p = 0.017), the angle of junction (p = 0.041), non-high-density lipoprotein (p = 0.029), alcohol index (p < 0.001), body mass index (p = 0.042), inflammatory frequency (p = 0.016), fasting blood glucose (p = 0.002), concomitant hypertension (p < 0.001) were important predictive factors for the occurrence of PPDM. The model that integrated imaging features of the pancreaticobiliary junction has a higher predictive performance than models without imaging features, with an AUC of 0.882 (95% CI, 0.836-0.930). The AUC of the combined model was 0.886 (95% CI, 0.841-0.932), and there was no statistical difference in AUC between the combined model and the pancreaticobiliary junction model (p = 0.340).</p><p><strong>Conclusion: </strong>The lipid metabolism and morphological characteristics of the pancreaticobiliary junction are additional risk factors for PPDM, and the quantitative prediction model shows moderate predictive performance.</p><p><strong>Critical relevance statement: </strong>The type and angle of the pancreaticobiliary junction based on MRCP are independent predictors of PPDM, which can quantitatively predict risk in the early stage.</p><p><strong>Key points: </strong>PPDM has an increasing incidence and poor prognosis, which requires early monitoring. Larger angles and B-P type in the pancreaticobiliary junction are risk factors for PPDM. Quantitative prediction of PPDM risk allows for early personalized prevention and treatment.</p>\",\"PeriodicalId\":13639,\"journal\":{\"name\":\"Insights into Imaging\",\"volume\":\"16 1\",\"pages\":\"161\"},\"PeriodicalIF\":4.5000,\"publicationDate\":\"2025-07-31\",\"publicationTypes\":\"Journal Article\",\"fieldsOfStudy\":null,\"isOpenAccess\":false,\"openAccessPdf\":\"https://www.ncbi.nlm.nih.gov/pmc/articles/PMC12314159/pdf/\",\"citationCount\":\"0\",\"resultStr\":null,\"platform\":\"Semanticscholar\",\"paperid\":null,\"PeriodicalName\":\"Insights into Imaging\",\"FirstCategoryId\":\"3\",\"ListUrlMain\":\"https://doi.org/10.1186/s13244-025-02039-w\",\"RegionNum\":2,\"RegionCategory\":\"医学\",\"ArticlePicture\":[],\"TitleCN\":null,\"AbstractTextCN\":null,\"PMCID\":null,\"EPubDate\":\"\",\"PubModel\":\"\",\"JCR\":\"Q1\",\"JCRName\":\"RADIOLOGY, NUCLEAR MEDICINE & MEDICAL IMAGING\",\"Score\":null,\"Total\":0}","platform":"Semanticscholar","paperid":null,"PeriodicalName":"Insights into Imaging","FirstCategoryId":"3","ListUrlMain":"https://doi.org/10.1186/s13244-025-02039-w","RegionNum":2,"RegionCategory":"医学","ArticlePicture":[],"TitleCN":null,"AbstractTextCN":null,"PMCID":null,"EPubDate":"","PubModel":"","JCR":"Q1","JCRName":"RADIOLOGY, NUCLEAR MEDICINE & MEDICAL IMAGING","Score":null,"Total":0}
引用次数: 0

摘要

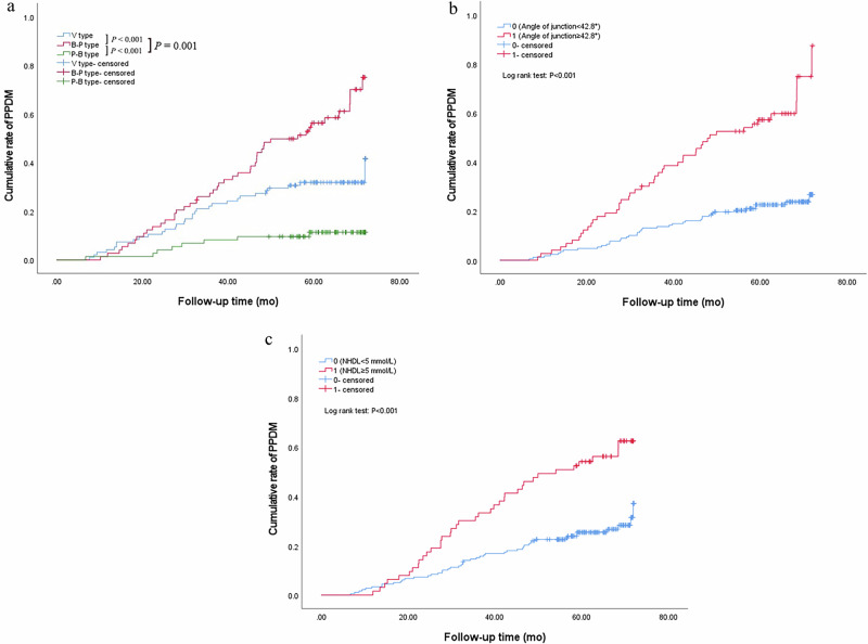
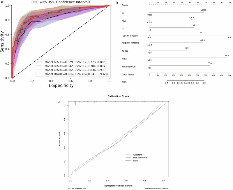
目的:探讨急性胰腺炎后糖尿病(PPDM)的脂质代谢及解剖学危险因素及其个体化预测价值。材料与方法:对我院2017年1月至2021年12月收治的241例急性胰腺炎(AP)患者进行连续回顾性分析。磁共振胰胆管造影(MRCP)测量胰胆连接处的类型和角度,收集基线脂质代谢指标。我们采用单因素和多因素Cox比例风险分析评估PPDM的危险因素,建立PPDM的定量预测模型,并评估脂质代谢和胰胆连接处特征的预测价值。结果:总体而言,241例符合条件的患者中有85例(35.27%)最终发展为PPDM。单因素和多因素分析显示,胰胆连接处B-P型(p = 0.017)、连接处角度(p = 0.041)、非高密度脂蛋白(p = 0.029)、酒精指数(p)是PPDM的附加危险因素。结论:胰胆连接处脂质代谢和形态特征是PPDM的附加危险因素,定量预测模型具有中等预测效果。关键相关性声明:基于MRCP的胰胆连接类型和角度是PPDM的独立预测因子,可定量预测早期风险。重点:PPDM发病率增高,预后差,需要早期监测。胰胆管交界处角度较大和B-P型是PPDM的危险因素。PPDM风险的定量预测允许早期个性化预防和治疗。
本文章由计算机程序翻译,如有差异,请以英文原文为准。

Individualized prediction of post-acute pancreatitis diabetes mellitus by combining lipid metabolism and anatomical features.

Individualized prediction of post-acute pancreatitis diabetes mellitus by combining lipid metabolism and anatomical features.

Individualized prediction of post-acute pancreatitis diabetes mellitus by combining lipid metabolism and anatomical features.

Individualized prediction of post-acute pancreatitis diabetes mellitus by combining lipid metabolism and anatomical features.

Objectives: To investigate the lipid metabolism and anatomical risk factors of post-acute pancreatitis diabetes mellitus (PPDM) and their value in individualized prediction.

Materials and methods: A continuous retrospective analysis was conducted on 241 patients with acute pancreatitis (AP) treated in our hospital from January 2017 to December 2021. The type and angle of the pancreaticobiliary junction were measured on magnetic resonance cholangiopancreatography (MRCP) images, and baseline lipid metabolism indicators were collected. We evaluated the risk factors of PPDM using univariate and multivariate Cox proportional hazard analysis, established quantitative prediction models for PPDM, and evaluated the predictive value of lipid metabolism and features of the pancreaticobiliary junction.

Results: Overall, 85 of 241 eligible patients (35.27%) ultimately developed PPDM. Univariate and multivariate analyses showed B-P type in pancreaticobiliary junction (p = 0.017), the angle of junction (p = 0.041), non-high-density lipoprotein (p = 0.029), alcohol index (p < 0.001), body mass index (p = 0.042), inflammatory frequency (p = 0.016), fasting blood glucose (p = 0.002), concomitant hypertension (p < 0.001) were important predictive factors for the occurrence of PPDM. The model that integrated imaging features of the pancreaticobiliary junction has a higher predictive performance than models without imaging features, with an AUC of 0.882 (95% CI, 0.836-0.930). The AUC of the combined model was 0.886 (95% CI, 0.841-0.932), and there was no statistical difference in AUC between the combined model and the pancreaticobiliary junction model (p = 0.340).

Conclusion: The lipid metabolism and morphological characteristics of the pancreaticobiliary junction are additional risk factors for PPDM, and the quantitative prediction model shows moderate predictive performance.

Critical relevance statement: The type and angle of the pancreaticobiliary junction based on MRCP are independent predictors of PPDM, which can quantitatively predict risk in the early stage.

Key points: PPDM has an increasing incidence and poor prognosis, which requires early monitoring. Larger angles and B-P type in the pancreaticobiliary junction are risk factors for PPDM. Quantitative prediction of PPDM risk allows for early personalized prevention and treatment.

求助全文
通过发布文献求助,成功后即可免费获取论文全文。 去求助
来源期刊
Insights into Imaging
Insights into Imaging Medicine-Radiology, Nuclear Medicine and Imaging
CiteScore
7.30
自引率
4.30%
发文量
182
审稿时长
13 weeks
期刊介绍: Insights into Imaging (I³) is a peer-reviewed open access journal published under the brand SpringerOpen. All content published in the journal is freely available online to anyone, anywhere! I³ continuously updates scientific knowledge and progress in best-practice standards in radiology through the publication of original articles and state-of-the-art reviews and opinions, along with recommendations and statements from the leading radiological societies in Europe. Founded by the European Society of Radiology (ESR), I³ creates a platform for educational material, guidelines and recommendations, and a forum for topics of controversy. A balanced combination of review articles, original papers, short communications from European radiological congresses and information on society matters makes I³ an indispensable source for current information in this field. I³ is owned by the ESR, however authors retain copyright to their article according to the Creative Commons Attribution License (see Copyright and License Agreement). All articles can be read, redistributed and reused for free, as long as the author of the original work is cited properly. The open access fees (article-processing charges) for this journal are kindly sponsored by ESR for all Members. The journal went open access in 2012, which means that all articles published since then are freely available online.
×
引用
GB/T 7714-2015
复制
MLA
复制
APA
复制
导出至
BibTeX EndNote RefMan NoteFirst NoteExpress
×
提示
您的信息不完整,为了账户安全,请先补充。
现在去补充
×
提示
您因"违规操作"
具体请查看互助需知
我知道了
×
提示
确定
请完成安全验证×
copy
已复制链接
快去分享给好友吧!
我知道了
右上角分享
点击右上角分享
0
联系我们:info@booksci.cn Book学术提供免费学术资源搜索服务,方便国内外学者检索中英文文献。致力于提供最便捷和优质的服务体验。 Copyright © 2023 布克学术 All rights reserved.
京ICP备2023020795号-1
ghs 京公网安备 11010802042870号
Book学术文献互助
Book学术文献互助群
群 号:604180095
Book学术官方微信