儿童肺动脉重建术后节段性肺动脉高压的药物治疗:初步经验。

IF 2.5 4区 医学 Q2 CARDIAC & CARDIOVASCULAR SYSTEMS
Pulmonary Circulation Pub Date : 2025-07-30 eCollection Date: 2025-07-01 DOI:10.1002/pul2.70134
Julian E Cameron, Doff B McElhinney, Esther Liu, Rachel K Hopper, Ritu Asija, Manchula Navaratnam, Frank L Hanley, Jeffrey A Feinstein
{"title":"儿童肺动脉重建术后节段性肺动脉高压的药物治疗:初步经验。","authors":"Julian E Cameron, Doff B McElhinney, Esther Liu, Rachel K Hopper, Ritu Asija, Manchula Navaratnam, Frank L Hanley, Jeffrey A Feinstein","doi":"10.1002/pul2.70134","DOIUrl":null,"url":null,"abstract":"<p><p>Segmental pulmonary hypertension (PH) in congenital heart disease remains poorly understood with data limited to case studies. We performed a retrospective, single center study in children treated with PH medications after unifocalization/pulmonary artery reconstruction for major aortopulmonary collaterals (MAPCA). Drug response was determined by hemodynamic changes across at least two cardiac catheterizations. Mechanical properties of the segmental arteries were quantified by distensibility, stiffness, and augmentation indices. Twenty-five patients were included (8 surgical shunt, 17 complete repair), with 76% considered responsive to PH medications based on the relative decrease in maximum segmental mean pulmonary artery pressure (mPAP). At a median duration of 14 months (Q1-Q3 9.5-29), mPAP decreased from 33 mmHg (28-38) to 23 mmHg (21-32) (<i>p</i> < 0.001) with no significant change in blood flow distribution by lung perfusion scintigraphy. Subgroup analysis demonstrated a trend towards a larger percent decrease in mPAP of 35% (18-45) on dual therapy compared to 23% (Q1-Q3 3-36) on monotherapy (<i>p</i> = 0.16). In repaired patients, arterial distensibility at initial catheterization correlated with residual elevation in mPAP at follow-up (<i>R</i> <sup>2</sup> 0.687, <i>p</i> < 0.001), with distensibility < 1.7%/mmHg associated with treatment failure. Among the lowest distensibility values were patients with <i>JAG1</i> mutations, and among patients with extended follow-up, progressive increase in mPAP was identified only in those with hereditary PH-associated mutations. Children with segmental PH following pulmonary artery reconstruction can be successfully treated with PH medications. Although treatment efficacy may be limited in patients with high vascular stiffness and those with pathologic vascular mutations.</p>","PeriodicalId":20927,"journal":{"name":"Pulmonary Circulation","volume":"15 3","pages":"e70134"},"PeriodicalIF":2.5000,"publicationDate":"2025-07-30","publicationTypes":"Journal Article","fieldsOfStudy":null,"isOpenAccess":false,"openAccessPdf":"https://www.ncbi.nlm.nih.gov/pmc/articles/PMC12309978/pdf/","citationCount":"0","resultStr":"{\"title\":\"Pharmacologic Management of Segmental Pulmonary Hypertension in Children After Unifocalization and Pulmonary Artery Reconstruction: Initial Experience.\",\"authors\":\"Julian E Cameron, Doff B McElhinney, Esther Liu, Rachel K Hopper, Ritu Asija, Manchula Navaratnam, Frank L Hanley, Jeffrey A Feinstein\",\"doi\":\"10.1002/pul2.70134\",\"DOIUrl\":null,\"url\":null,\"abstract\":\"<p><p>Segmental pulmonary hypertension (PH) in congenital heart disease remains poorly understood with data limited to case studies. We performed a retrospective, single center study in children treated with PH medications after unifocalization/pulmonary artery reconstruction for major aortopulmonary collaterals (MAPCA). Drug response was determined by hemodynamic changes across at least two cardiac catheterizations. Mechanical properties of the segmental arteries were quantified by distensibility, stiffness, and augmentation indices. Twenty-five patients were included (8 surgical shunt, 17 complete repair), with 76% considered responsive to PH medications based on the relative decrease in maximum segmental mean pulmonary artery pressure (mPAP). At a median duration of 14 months (Q1-Q3 9.5-29), mPAP decreased from 33 mmHg (28-38) to 23 mmHg (21-32) (<i>p</i> < 0.001) with no significant change in blood flow distribution by lung perfusion scintigraphy. Subgroup analysis demonstrated a trend towards a larger percent decrease in mPAP of 35% (18-45) on dual therapy compared to 23% (Q1-Q3 3-36) on monotherapy (<i>p</i> = 0.16). In repaired patients, arterial distensibility at initial catheterization correlated with residual elevation in mPAP at follow-up (<i>R</i> <sup>2</sup> 0.687, <i>p</i> < 0.001), with distensibility < 1.7%/mmHg associated with treatment failure. Among the lowest distensibility values were patients with <i>JAG1</i> mutations, and among patients with extended follow-up, progressive increase in mPAP was identified only in those with hereditary PH-associated mutations. Children with segmental PH following pulmonary artery reconstruction can be successfully treated with PH medications. Although treatment efficacy may be limited in patients with high vascular stiffness and those with pathologic vascular mutations.</p>\",\"PeriodicalId\":20927,\"journal\":{\"name\":\"Pulmonary Circulation\",\"volume\":\"15 3\",\"pages\":\"e70134\"},\"PeriodicalIF\":2.5000,\"publicationDate\":\"2025-07-30\",\"publicationTypes\":\"Journal Article\",\"fieldsOfStudy\":null,\"isOpenAccess\":false,\"openAccessPdf\":\"https://www.ncbi.nlm.nih.gov/pmc/articles/PMC12309978/pdf/\",\"citationCount\":\"0\",\"resultStr\":null,\"platform\":\"Semanticscholar\",\"paperid\":null,\"PeriodicalName\":\"Pulmonary Circulation\",\"FirstCategoryId\":\"3\",\"ListUrlMain\":\"https://doi.org/10.1002/pul2.70134\",\"RegionNum\":4,\"RegionCategory\":\"医学\",\"ArticlePicture\":[],\"TitleCN\":null,\"AbstractTextCN\":null,\"PMCID\":null,\"EPubDate\":\"2025/7/1 0:00:00\",\"PubModel\":\"eCollection\",\"JCR\":\"Q2\",\"JCRName\":\"CARDIAC & CARDIOVASCULAR SYSTEMS\",\"Score\":null,\"Total\":0}","platform":"Semanticscholar","paperid":null,"PeriodicalName":"Pulmonary Circulation","FirstCategoryId":"3","ListUrlMain":"https://doi.org/10.1002/pul2.70134","RegionNum":4,"RegionCategory":"医学","ArticlePicture":[],"TitleCN":null,"AbstractTextCN":null,"PMCID":null,"EPubDate":"2025/7/1 0:00:00","PubModel":"eCollection","JCR":"Q2","JCRName":"CARDIAC & CARDIOVASCULAR SYSTEMS","Score":null,"Total":0}
引用次数: 0

摘要

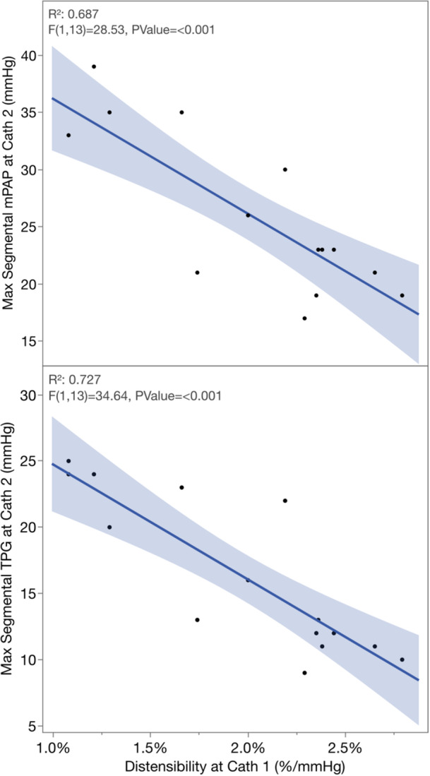
先天性心脏病的节段性肺动脉高压(PH)仍然知之甚少,数据仅限于病例研究。我们进行了一项回顾性的单中心研究,研究对象是在接受PH药物治疗的儿童,他们在进行主要主动脉肺侧支重建(MAPCA)后接受了肺动脉重建。通过至少两次心导管置入的血流动力学变化来确定药物反应。通过膨胀性、刚度和增强指数量化节段动脉的力学性能。纳入25例患者(8例手术分流,17例完全修复),根据最大节段平均肺动脉压(mPAP)的相对降低,76%的患者被认为对PH药物有反应。中位持续时间为14个月(Q1-Q3 9.5-29), mPAP从33 mmHg(28-38)降至23 mmHg (21-32) (p p = 0.16)。在修复患者中,初始置管时动脉扩张与随访时mPAP残留升高相关(R为2 0.687,p为JAG1突变),在延长随访的患者中,仅在具有遗传性ph相关突变的患者中发现了mPAP的进行性升高。肺动脉重建后的节段性PH患儿可以通过PH药物成功治疗。虽然治疗效果可能限制在患者的高血管僵硬和那些病理性血管突变。
本文章由计算机程序翻译,如有差异,请以英文原文为准。

Pharmacologic Management of Segmental Pulmonary Hypertension in Children After Unifocalization and Pulmonary Artery Reconstruction: Initial Experience.

Pharmacologic Management of Segmental Pulmonary Hypertension in Children After Unifocalization and Pulmonary Artery Reconstruction: Initial Experience.

Pharmacologic Management of Segmental Pulmonary Hypertension in Children After Unifocalization and Pulmonary Artery Reconstruction: Initial Experience.

Pharmacologic Management of Segmental Pulmonary Hypertension in Children After Unifocalization and Pulmonary Artery Reconstruction: Initial Experience.

Segmental pulmonary hypertension (PH) in congenital heart disease remains poorly understood with data limited to case studies. We performed a retrospective, single center study in children treated with PH medications after unifocalization/pulmonary artery reconstruction for major aortopulmonary collaterals (MAPCA). Drug response was determined by hemodynamic changes across at least two cardiac catheterizations. Mechanical properties of the segmental arteries were quantified by distensibility, stiffness, and augmentation indices. Twenty-five patients were included (8 surgical shunt, 17 complete repair), with 76% considered responsive to PH medications based on the relative decrease in maximum segmental mean pulmonary artery pressure (mPAP). At a median duration of 14 months (Q1-Q3 9.5-29), mPAP decreased from 33 mmHg (28-38) to 23 mmHg (21-32) (p < 0.001) with no significant change in blood flow distribution by lung perfusion scintigraphy. Subgroup analysis demonstrated a trend towards a larger percent decrease in mPAP of 35% (18-45) on dual therapy compared to 23% (Q1-Q3 3-36) on monotherapy (p = 0.16). In repaired patients, arterial distensibility at initial catheterization correlated with residual elevation in mPAP at follow-up (R 2 0.687, p < 0.001), with distensibility < 1.7%/mmHg associated with treatment failure. Among the lowest distensibility values were patients with JAG1 mutations, and among patients with extended follow-up, progressive increase in mPAP was identified only in those with hereditary PH-associated mutations. Children with segmental PH following pulmonary artery reconstruction can be successfully treated with PH medications. Although treatment efficacy may be limited in patients with high vascular stiffness and those with pathologic vascular mutations.

求助全文
通过发布文献求助,成功后即可免费获取论文全文。 去求助
来源期刊
Pulmonary Circulation
Pulmonary Circulation Medicine-Pulmonary and Respiratory Medicine
CiteScore
4.20
自引率
11.50%
发文量
153
审稿时长
15 weeks
期刊介绍: Pulmonary Circulation''s main goal is to encourage basic, translational, and clinical research by investigators, physician-scientists, and clinicans, in the hope of increasing survival rates for pulmonary hypertension and other pulmonary vascular diseases worldwide, and developing new therapeutic approaches for the diseases. Freely available online, Pulmonary Circulation allows diverse knowledge of research, techniques, and case studies to reach a wide readership of specialists in order to improve patient care and treatment outcomes.
×
引用
GB/T 7714-2015
复制
MLA
复制
APA
复制
导出至
BibTeX EndNote RefMan NoteFirst NoteExpress
×
提示
您的信息不完整,为了账户安全,请先补充。
现在去补充
×
提示
您因"违规操作"
具体请查看互助需知
我知道了
×
提示
确定
请完成安全验证×
copy
已复制链接
快去分享给好友吧!
我知道了
右上角分享
点击右上角分享
0
联系我们:info@booksci.cn Book学术提供免费学术资源搜索服务,方便国内外学者检索中英文文献。致力于提供最便捷和优质的服务体验。 Copyright © 2023 布克学术 All rights reserved.
京ICP备2023020795号-1
ghs 京公网安备 11010802042870号
Book学术文献互助
Book学术文献互助群
群 号:604180095
Book学术官方微信