成人和儿童炎症性肠病患者皮下注射英夫利昔单抗的模拟给药方案:探索转换和启动策略。

IF 2.4 4区 医学 Q3 PHARMACOLOGY & PHARMACY
Rianne A Weersink, Ron J Keizer, Luc J J Derijks
{"title":"成人和儿童炎症性肠病患者皮下注射英夫利昔单抗的模拟给药方案:探索转换和启动策略。","authors":"Rianne A Weersink, Ron J Keizer, Luc J J Derijks","doi":"10.1007/s13318-025-00959-y","DOIUrl":null,"url":null,"abstract":"<p><strong>Introduction: </strong>An increasing number of patients in clinical practice are transitioning from intravenous (IV) to subcutaneous (SC) dosing of infliximab. In this simulation study, we evaluated hypothetical dosing scenarios both for typical adults and adults with obesity and for children switching from steady-state IV to SC infliximab, as well as those initiating SC infliximab therapy.</p><p><strong>Methods: </strong>By combining two previous published infliximab models, we were able to simulate both IV and SC dosing in adults and children. Various dosing regimens were simulated using a large virtual population. In each scenario, the distribution of trough concentrations and area under the plasma concentration-time curve (AUC) was calculated.</p><p><strong>Results: </strong>Peak levels were higher after IV dosing compared with SC dosing, while trough levels were higher after SC dosing, leading to more stable infliximab levels over time. Overall exposure remained largely similar when switching from a standard IV to SC dosing regimen. Patients with a high body mass index and those on high-frequency IV dosing regimens of infliximab demonstrated reduced exposure when transitioned to the fixed SC dose. Paediatric patients exhibited higher exposure on the fixed SC dose. Simulation of SC induction schemes demonstrated early achievement of steady-state plasma levels.</p><p><strong>Conclusion: </strong>Infliximab exposure (AUC) remains largely similar when transitioning from standard IV to SC dosing. Current dosing regimens may not be optimal for patients with severe obesity, paediatric patients and patients on high-frequency infliximab regimens. These findings provide a foundation for future clinical research to refine SC infliximab dosing in these populations.</p>","PeriodicalId":11939,"journal":{"name":"European Journal of Drug Metabolism and Pharmacokinetics","volume":" ","pages":"419-430"},"PeriodicalIF":2.4000,"publicationDate":"2025-09-01","publicationTypes":"Journal Article","fieldsOfStudy":null,"isOpenAccess":false,"openAccessPdf":"https://www.ncbi.nlm.nih.gov/pmc/articles/PMC12394261/pdf/","citationCount":"0","resultStr":"{\"title\":\"Simulated Dosing Regimens of Subcutaneous Infliximab in Adults and Children with Inflammatory Bowel Disease: Exploring Switch and Initiation Strategies.\",\"authors\":\"Rianne A Weersink, Ron J Keizer, Luc J J Derijks\",\"doi\":\"10.1007/s13318-025-00959-y\",\"DOIUrl\":null,\"url\":null,\"abstract\":\"<p><strong>Introduction: </strong>An increasing number of patients in clinical practice are transitioning from intravenous (IV) to subcutaneous (SC) dosing of infliximab. In this simulation study, we evaluated hypothetical dosing scenarios both for typical adults and adults with obesity and for children switching from steady-state IV to SC infliximab, as well as those initiating SC infliximab therapy.</p><p><strong>Methods: </strong>By combining two previous published infliximab models, we were able to simulate both IV and SC dosing in adults and children. Various dosing regimens were simulated using a large virtual population. In each scenario, the distribution of trough concentrations and area under the plasma concentration-time curve (AUC) was calculated.</p><p><strong>Results: </strong>Peak levels were higher after IV dosing compared with SC dosing, while trough levels were higher after SC dosing, leading to more stable infliximab levels over time. Overall exposure remained largely similar when switching from a standard IV to SC dosing regimen. Patients with a high body mass index and those on high-frequency IV dosing regimens of infliximab demonstrated reduced exposure when transitioned to the fixed SC dose. Paediatric patients exhibited higher exposure on the fixed SC dose. Simulation of SC induction schemes demonstrated early achievement of steady-state plasma levels.</p><p><strong>Conclusion: </strong>Infliximab exposure (AUC) remains largely similar when transitioning from standard IV to SC dosing. Current dosing regimens may not be optimal for patients with severe obesity, paediatric patients and patients on high-frequency infliximab regimens. These findings provide a foundation for future clinical research to refine SC infliximab dosing in these populations.</p>\",\"PeriodicalId\":11939,\"journal\":{\"name\":\"European Journal of Drug Metabolism and Pharmacokinetics\",\"volume\":\" \",\"pages\":\"419-430\"},\"PeriodicalIF\":2.4000,\"publicationDate\":\"2025-09-01\",\"publicationTypes\":\"Journal Article\",\"fieldsOfStudy\":null,\"isOpenAccess\":false,\"openAccessPdf\":\"https://www.ncbi.nlm.nih.gov/pmc/articles/PMC12394261/pdf/\",\"citationCount\":\"0\",\"resultStr\":null,\"platform\":\"Semanticscholar\",\"paperid\":null,\"PeriodicalName\":\"European Journal of Drug Metabolism and Pharmacokinetics\",\"FirstCategoryId\":\"3\",\"ListUrlMain\":\"https://doi.org/10.1007/s13318-025-00959-y\",\"RegionNum\":4,\"RegionCategory\":\"医学\",\"ArticlePicture\":[],\"TitleCN\":null,\"AbstractTextCN\":null,\"PMCID\":null,\"EPubDate\":\"2025/7/31 0:00:00\",\"PubModel\":\"Epub\",\"JCR\":\"Q3\",\"JCRName\":\"PHARMACOLOGY & PHARMACY\",\"Score\":null,\"Total\":0}","platform":"Semanticscholar","paperid":null,"PeriodicalName":"European Journal of Drug Metabolism and Pharmacokinetics","FirstCategoryId":"3","ListUrlMain":"https://doi.org/10.1007/s13318-025-00959-y","RegionNum":4,"RegionCategory":"医学","ArticlePicture":[],"TitleCN":null,"AbstractTextCN":null,"PMCID":null,"EPubDate":"2025/7/31 0:00:00","PubModel":"Epub","JCR":"Q3","JCRName":"PHARMACOLOGY & PHARMACY","Score":null,"Total":0}
引用次数: 0

摘要

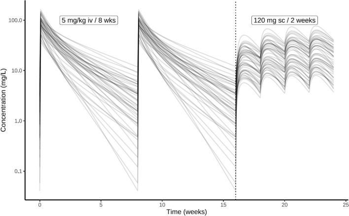
在临床实践中,越来越多的患者正在从静脉(IV)给药过渡到皮下(SC)给药。在这项模拟研究中,我们评估了典型成人和肥胖成人以及从稳态IV切换到SC英夫利昔单抗的儿童的假设剂量方案,以及那些开始SC英夫利昔单抗治疗的儿童。方法:通过结合先前发表的两种英夫利昔单抗模型,我们能够模拟成人和儿童的静脉注射和SC给药。使用大量虚拟人群模拟各种给药方案。在每种情况下,计算槽浓度分布和血浆浓度-时间曲线下面积(AUC)。结果:与SC给药相比,静脉给药后的峰值水平更高,而SC给药后的低谷水平更高,导致英夫利昔单抗水平随着时间的推移更稳定。当从标准IV给药方案切换到SC给药方案时,总体暴露量大致相同。高体重指数患者和使用英夫利昔单抗高频静脉给药方案的患者在过渡到固定剂量时暴露减少。儿科患者暴露于固定剂量的SC较高。SC诱导方案的模拟证明了稳态等离子体水平的早期实现。结论:英夫利昔单抗暴露(AUC)在从标准IV剂量过渡到SC剂量时基本保持相似。目前的给药方案对于严重肥胖患者、儿科患者和使用高频英夫利昔单抗的患者可能不是最佳的。这些发现为未来的临床研究提供了基础,以完善这些人群中SC英夫利昔单抗的剂量。
本文章由计算机程序翻译,如有差异,请以英文原文为准。

Simulated Dosing Regimens of Subcutaneous Infliximab in Adults and Children with Inflammatory Bowel Disease: Exploring Switch and Initiation Strategies.

Simulated Dosing Regimens of Subcutaneous Infliximab in Adults and Children with Inflammatory Bowel Disease: Exploring Switch and Initiation Strategies.

Simulated Dosing Regimens of Subcutaneous Infliximab in Adults and Children with Inflammatory Bowel Disease: Exploring Switch and Initiation Strategies.

Simulated Dosing Regimens of Subcutaneous Infliximab in Adults and Children with Inflammatory Bowel Disease: Exploring Switch and Initiation Strategies.

Introduction: An increasing number of patients in clinical practice are transitioning from intravenous (IV) to subcutaneous (SC) dosing of infliximab. In this simulation study, we evaluated hypothetical dosing scenarios both for typical adults and adults with obesity and for children switching from steady-state IV to SC infliximab, as well as those initiating SC infliximab therapy.

Methods: By combining two previous published infliximab models, we were able to simulate both IV and SC dosing in adults and children. Various dosing regimens were simulated using a large virtual population. In each scenario, the distribution of trough concentrations and area under the plasma concentration-time curve (AUC) was calculated.

Results: Peak levels were higher after IV dosing compared with SC dosing, while trough levels were higher after SC dosing, leading to more stable infliximab levels over time. Overall exposure remained largely similar when switching from a standard IV to SC dosing regimen. Patients with a high body mass index and those on high-frequency IV dosing regimens of infliximab demonstrated reduced exposure when transitioned to the fixed SC dose. Paediatric patients exhibited higher exposure on the fixed SC dose. Simulation of SC induction schemes demonstrated early achievement of steady-state plasma levels.

Conclusion: Infliximab exposure (AUC) remains largely similar when transitioning from standard IV to SC dosing. Current dosing regimens may not be optimal for patients with severe obesity, paediatric patients and patients on high-frequency infliximab regimens. These findings provide a foundation for future clinical research to refine SC infliximab dosing in these populations.

求助全文
通过发布文献求助,成功后即可免费获取论文全文。 去求助
来源期刊
CiteScore
3.70
自引率
0.00%
发文量
64
审稿时长
>12 weeks
期刊介绍: Hepatology International is a peer-reviewed journal featuring articles written by clinicians, clinical researchers and basic scientists is dedicated to research and patient care issues in hepatology. This journal focuses mainly on new and emerging diagnostic and treatment options, protocols and molecular and cellular basis of disease pathogenesis, new technologies, in liver and biliary sciences. Hepatology International publishes original research articles related to clinical care and basic research; review articles; consensus guidelines for diagnosis and treatment; invited editorials, and controversies in contemporary issues. The journal does not publish case reports.
×
引用
GB/T 7714-2015
复制
MLA
复制
APA
复制
导出至
BibTeX EndNote RefMan NoteFirst NoteExpress
×
提示
您的信息不完整,为了账户安全,请先补充。
现在去补充
×
提示
您因"违规操作"
具体请查看互助需知
我知道了
×
提示
确定
请完成安全验证×
copy
已复制链接
快去分享给好友吧!
我知道了
右上角分享
点击右上角分享
0
联系我们:info@booksci.cn Book学术提供免费学术资源搜索服务,方便国内外学者检索中英文文献。致力于提供最便捷和优质的服务体验。 Copyright © 2023 布克学术 All rights reserved.
京ICP备2023020795号-1
ghs 京公网安备 11010802042870号
Book学术文献互助
Book学术文献互助群
群 号:604180095
Book学术官方微信