旋风:循环对比学习整合单细胞基因表达数据。

IF 3.3 3区 生物学 Q2 BIOCHEMICAL RESEARCH METHODS
Han Ji, Xinwei He, Hongwei Li
{"title":"旋风:循环对比学习整合单细胞基因表达数据。","authors":"Han Ji, Xinwei He, Hongwei Li","doi":"10.1186/s12859-025-06214-0","DOIUrl":null,"url":null,"abstract":"<p><strong>Background: </strong>Combining single-cell transcriptome sequencing results from several batches reduces batch effect, which improves our understanding of cellular identity and function.</p><p><strong>Results: </strong>This paper introduces CYCLONE, a new method for integrating single-cell gene expression data using a recycle contrastive learning network. The contrastive learning network and the VAE model work together to jointly train the low-dimensional representations. Additionally, they update the indices of inter-batch MNN pairs to generate positive pairs from a reduced-noise low-dimensional space. Meanwhile, CYCLONE cyclically updates the MNN pairs by iteratively training the low-dimensional space to gradually improve the confidence of the positive sample pairs, and augments the MNN pairs with KNN pairs to identify batch-specific cell types, thus avoiding the problems associated with overcorrecting for the batch effect. The performance of CYCLONE was evaluated on simulated and real scRNA-seq datasets, confirming its ability to improve clustering accuracy while successfully eliminating batch effects. In addition, experiments on batch-specific cell types identification validated CYCLONE's ability to retain batch-specific information while eliminating batch effect, thus preserving batch-specific cell types.</p><p><strong>Conclusion: </strong>CYCLONE is an effective integration method based on recycle contrastive learning that improves the accuracy of cell clustering while successfully eliminating batch effects and preserving batch-specific information.</p>","PeriodicalId":8958,"journal":{"name":"BMC Bioinformatics","volume":"26 1","pages":"202"},"PeriodicalIF":3.3000,"publicationDate":"2025-07-30","publicationTypes":"Journal Article","fieldsOfStudy":null,"isOpenAccess":false,"openAccessPdf":"https://www.ncbi.nlm.nih.gov/pmc/articles/PMC12312599/pdf/","citationCount":"0","resultStr":"{\"title\":\"CYCLONE: recycle contrastive learning for integrating single-cell gene expression data.\",\"authors\":\"Han Ji, Xinwei He, Hongwei Li\",\"doi\":\"10.1186/s12859-025-06214-0\",\"DOIUrl\":null,\"url\":null,\"abstract\":\"<p><strong>Background: </strong>Combining single-cell transcriptome sequencing results from several batches reduces batch effect, which improves our understanding of cellular identity and function.</p><p><strong>Results: </strong>This paper introduces CYCLONE, a new method for integrating single-cell gene expression data using a recycle contrastive learning network. The contrastive learning network and the VAE model work together to jointly train the low-dimensional representations. Additionally, they update the indices of inter-batch MNN pairs to generate positive pairs from a reduced-noise low-dimensional space. Meanwhile, CYCLONE cyclically updates the MNN pairs by iteratively training the low-dimensional space to gradually improve the confidence of the positive sample pairs, and augments the MNN pairs with KNN pairs to identify batch-specific cell types, thus avoiding the problems associated with overcorrecting for the batch effect. The performance of CYCLONE was evaluated on simulated and real scRNA-seq datasets, confirming its ability to improve clustering accuracy while successfully eliminating batch effects. In addition, experiments on batch-specific cell types identification validated CYCLONE's ability to retain batch-specific information while eliminating batch effect, thus preserving batch-specific cell types.</p><p><strong>Conclusion: </strong>CYCLONE is an effective integration method based on recycle contrastive learning that improves the accuracy of cell clustering while successfully eliminating batch effects and preserving batch-specific information.</p>\",\"PeriodicalId\":8958,\"journal\":{\"name\":\"BMC Bioinformatics\",\"volume\":\"26 1\",\"pages\":\"202\"},\"PeriodicalIF\":3.3000,\"publicationDate\":\"2025-07-30\",\"publicationTypes\":\"Journal Article\",\"fieldsOfStudy\":null,\"isOpenAccess\":false,\"openAccessPdf\":\"https://www.ncbi.nlm.nih.gov/pmc/articles/PMC12312599/pdf/\",\"citationCount\":\"0\",\"resultStr\":null,\"platform\":\"Semanticscholar\",\"paperid\":null,\"PeriodicalName\":\"BMC Bioinformatics\",\"FirstCategoryId\":\"99\",\"ListUrlMain\":\"https://doi.org/10.1186/s12859-025-06214-0\",\"RegionNum\":3,\"RegionCategory\":\"生物学\",\"ArticlePicture\":[],\"TitleCN\":null,\"AbstractTextCN\":null,\"PMCID\":null,\"EPubDate\":\"\",\"PubModel\":\"\",\"JCR\":\"Q2\",\"JCRName\":\"BIOCHEMICAL RESEARCH METHODS\",\"Score\":null,\"Total\":0}","platform":"Semanticscholar","paperid":null,"PeriodicalName":"BMC Bioinformatics","FirstCategoryId":"99","ListUrlMain":"https://doi.org/10.1186/s12859-025-06214-0","RegionNum":3,"RegionCategory":"生物学","ArticlePicture":[],"TitleCN":null,"AbstractTextCN":null,"PMCID":null,"EPubDate":"","PubModel":"","JCR":"Q2","JCRName":"BIOCHEMICAL RESEARCH METHODS","Score":null,"Total":0}
引用次数: 0

摘要

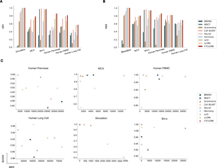
背景:将多个批次的单细胞转录组测序结果结合起来,减少了批量效应,提高了我们对细胞身份和功能的理解。结果:本文介绍了一种利用循环对比学习网络整合单细胞基因表达数据的新方法CYCLONE。对比学习网络和VAE模型共同训练低维表征。此外,他们更新了批间MNN对的索引,从降噪的低维空间生成正对。同时,CYCLONE通过迭代训练低维空间来循环更新MNN对,逐步提高正样本对的置信度,并用KNN对增强MNN对来识别批处理特异性细胞类型,从而避免了批处理效应的过度校正问题。在模拟和真实的scRNA-seq数据集上对CYCLONE的性能进行了评估,证实了它能够提高聚类精度,同时成功消除批处理影响。此外,批特异性细胞类型鉴定实验验证了CYCLONE在消除批效应的同时保留批特异性信息的能力,从而保留批特异性细胞类型。结论:CYCLONE是一种有效的基于循环对比学习的集成方法,在成功消除批影响和保留批特有信息的同时,提高了细胞聚类的准确性。
本文章由计算机程序翻译,如有差异,请以英文原文为准。

CYCLONE: recycle contrastive learning for integrating single-cell gene expression data.

CYCLONE: recycle contrastive learning for integrating single-cell gene expression data.

CYCLONE: recycle contrastive learning for integrating single-cell gene expression data.

CYCLONE: recycle contrastive learning for integrating single-cell gene expression data.

Background: Combining single-cell transcriptome sequencing results from several batches reduces batch effect, which improves our understanding of cellular identity and function.

Results: This paper introduces CYCLONE, a new method for integrating single-cell gene expression data using a recycle contrastive learning network. The contrastive learning network and the VAE model work together to jointly train the low-dimensional representations. Additionally, they update the indices of inter-batch MNN pairs to generate positive pairs from a reduced-noise low-dimensional space. Meanwhile, CYCLONE cyclically updates the MNN pairs by iteratively training the low-dimensional space to gradually improve the confidence of the positive sample pairs, and augments the MNN pairs with KNN pairs to identify batch-specific cell types, thus avoiding the problems associated with overcorrecting for the batch effect. The performance of CYCLONE was evaluated on simulated and real scRNA-seq datasets, confirming its ability to improve clustering accuracy while successfully eliminating batch effects. In addition, experiments on batch-specific cell types identification validated CYCLONE's ability to retain batch-specific information while eliminating batch effect, thus preserving batch-specific cell types.

Conclusion: CYCLONE is an effective integration method based on recycle contrastive learning that improves the accuracy of cell clustering while successfully eliminating batch effects and preserving batch-specific information.

求助全文
通过发布文献求助,成功后即可免费获取论文全文。 去求助
来源期刊
BMC Bioinformatics
BMC Bioinformatics 生物-生化研究方法
CiteScore
5.70
自引率
3.30%
发文量
506
审稿时长
4.3 months
期刊介绍: BMC Bioinformatics is an open access, peer-reviewed journal that considers articles on all aspects of the development, testing and novel application of computational and statistical methods for the modeling and analysis of all kinds of biological data, as well as other areas of computational biology. BMC Bioinformatics is part of the BMC series which publishes subject-specific journals focused on the needs of individual research communities across all areas of biology and medicine. We offer an efficient, fair and friendly peer review service, and are committed to publishing all sound science, provided that there is some advance in knowledge presented by the work.
×
引用
GB/T 7714-2015
复制
MLA
复制
APA
复制
导出至
BibTeX EndNote RefMan NoteFirst NoteExpress
×
提示
您的信息不完整,为了账户安全,请先补充。
现在去补充
×
提示
您因"违规操作"
具体请查看互助需知
我知道了
×
提示
确定
请完成安全验证×
copy
已复制链接
快去分享给好友吧!
我知道了
右上角分享
点击右上角分享
0
联系我们:info@booksci.cn Book学术提供免费学术资源搜索服务,方便国内外学者检索中英文文献。致力于提供最便捷和优质的服务体验。 Copyright © 2023 布克学术 All rights reserved.
京ICP备2023020795号-1
ghs 京公网安备 11010802042870号
Book学术文献互助
Book学术文献互助群
群 号:604180095
Book学术官方微信