非自杀性自伤青少年自杀企图的生物学表型:一种基于机器的学习方法。

IF 6.6 1区 医学 Q1 NEUROSCIENCES
Erik Fink, Corinna Reichl, Stefan Lerch, Julian Koenig, Michael Kaess
{"title":"非自杀性自伤青少年自杀企图的生物学表型:一种基于机器的学习方法。","authors":"Erik Fink, Corinna Reichl, Stefan Lerch, Julian Koenig, Michael Kaess","doi":"10.1038/s41386-025-02176-2","DOIUrl":null,"url":null,"abstract":"Suicide attempts (SA) are a common risk in adolescents with non-suicidal self-injury (NSSI). In the present study, we investigated whether a set of biological markers contributed (above clinical features) to the distinction of adolescents with NSSI and SA from those with NSSI alone using machine-based learning approaches. Female adolescents engaging in NSSI (n = 161) were recruited from our outpatient clinic for risk-taking and self-harming behavior (AtR!Sk). Different machine-based learning models (logistic regression, elastic net regression, random forests, gradient boosted trees) with repeated cross-validation were applied. We tested whether a) the full set of neurobiological markers, b) a reduced set including preselected markers based on existing evidence (CRP, interleukin-6, salivary cortisol, DHEA-S, TSH, dopamine, norepinephrine, ACTH), and c) a model with only depressive symptoms and age could distinguish between the two groups (NSSI + SA vs. NSSI alone). Depressive symptoms and age were included as covariates in the reduced set to account for their potential predictive effects. The reduced set of neurobiological markers showed poor to fair predictive performance (AUC between 0.62 and 0.72) for SA depending on the model. Predictors with the highest predictive value were high DHEA-S (OR = 1.47, 95% CI = 1.04–2.09) and low TSH (OR = 0.68, 95% CI = 0.48–0.97). Complex models slightly outperformed simpler ones and feature selection modestly increased predictive performance. The study may suggest a future potential of biomarkers for the assessment of suicide risk among adolescents with NSSI. Further research is needed to replicate these findings longitudinally.","PeriodicalId":19143,"journal":{"name":"Neuropsychopharmacology","volume":"50 12","pages":"1817-1826"},"PeriodicalIF":6.6000,"publicationDate":"2025-07-29","publicationTypes":"Journal Article","fieldsOfStudy":null,"isOpenAccess":false,"openAccessPdf":"https://www.nature.comhttps://www.nature.com/articles/s41386-025-02176-2.pdf","citationCount":"0","resultStr":"{\"title\":\"A biological phenotype of suicide attempt in adolescents with nonsuicidal self-injury: a machine-based learning approach\",\"authors\":\"Erik Fink, Corinna Reichl, Stefan Lerch, Julian Koenig, Michael Kaess\",\"doi\":\"10.1038/s41386-025-02176-2\",\"DOIUrl\":null,\"url\":null,\"abstract\":\"Suicide attempts (SA) are a common risk in adolescents with non-suicidal self-injury (NSSI). In the present study, we investigated whether a set of biological markers contributed (above clinical features) to the distinction of adolescents with NSSI and SA from those with NSSI alone using machine-based learning approaches. Female adolescents engaging in NSSI (n = 161) were recruited from our outpatient clinic for risk-taking and self-harming behavior (AtR!Sk). Different machine-based learning models (logistic regression, elastic net regression, random forests, gradient boosted trees) with repeated cross-validation were applied. We tested whether a) the full set of neurobiological markers, b) a reduced set including preselected markers based on existing evidence (CRP, interleukin-6, salivary cortisol, DHEA-S, TSH, dopamine, norepinephrine, ACTH), and c) a model with only depressive symptoms and age could distinguish between the two groups (NSSI + SA vs. NSSI alone). Depressive symptoms and age were included as covariates in the reduced set to account for their potential predictive effects. The reduced set of neurobiological markers showed poor to fair predictive performance (AUC between 0.62 and 0.72) for SA depending on the model. Predictors with the highest predictive value were high DHEA-S (OR = 1.47, 95% CI = 1.04–2.09) and low TSH (OR = 0.68, 95% CI = 0.48–0.97). Complex models slightly outperformed simpler ones and feature selection modestly increased predictive performance. The study may suggest a future potential of biomarkers for the assessment of suicide risk among adolescents with NSSI. Further research is needed to replicate these findings longitudinally.\",\"PeriodicalId\":19143,\"journal\":{\"name\":\"Neuropsychopharmacology\",\"volume\":\"50 12\",\"pages\":\"1817-1826\"},\"PeriodicalIF\":6.6000,\"publicationDate\":\"2025-07-29\",\"publicationTypes\":\"Journal Article\",\"fieldsOfStudy\":null,\"isOpenAccess\":false,\"openAccessPdf\":\"https://www.nature.comhttps://www.nature.com/articles/s41386-025-02176-2.pdf\",\"citationCount\":\"0\",\"resultStr\":null,\"platform\":\"Semanticscholar\",\"paperid\":null,\"PeriodicalName\":\"Neuropsychopharmacology\",\"FirstCategoryId\":\"3\",\"ListUrlMain\":\"https://www.nature.com/articles/s41386-025-02176-2\",\"RegionNum\":1,\"RegionCategory\":\"医学\",\"ArticlePicture\":[],\"TitleCN\":null,\"AbstractTextCN\":null,\"PMCID\":null,\"EPubDate\":\"\",\"PubModel\":\"\",\"JCR\":\"Q1\",\"JCRName\":\"NEUROSCIENCES\",\"Score\":null,\"Total\":0}","platform":"Semanticscholar","paperid":null,"PeriodicalName":"Neuropsychopharmacology","FirstCategoryId":"3","ListUrlMain":"https://www.nature.com/articles/s41386-025-02176-2","RegionNum":1,"RegionCategory":"医学","ArticlePicture":[],"TitleCN":null,"AbstractTextCN":null,"PMCID":null,"EPubDate":"","PubModel":"","JCR":"Q1","JCRName":"NEUROSCIENCES","Score":null,"Total":0}
引用次数: 0

摘要

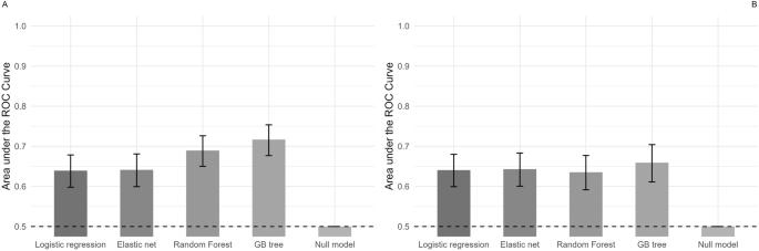
自杀企图(SA)是青少年非自杀性自伤(NSSI)的常见风险。在本研究中,我们使用基于机器的学习方法研究了一组生物标志物(以上临床特征)是否有助于区分有自伤和SA的青少年与单纯自伤的青少年。参与自伤的女性青少年(n = 161)从我们的门诊诊所招募,进行冒险和自残行为(AtR!Sk)。不同的机器学习模型(逻辑回归、弹性网络回归、随机森林、梯度增强树)被反复交叉验证。我们测试了a)完整的神经生物学标记,b)基于现有证据预先选择的标记(CRP,白细胞介素-6,唾液皮质醇,DHEA-S, TSH,多巴胺,去甲肾上腺素,ACTH)的减少集,以及c)仅包含抑郁症状和年龄的模型是否可以区分两组(自伤+ SA与单独自伤)。抑郁症状和年龄作为协变量包括在减少的集合中,以解释其潜在的预测效果。根据模型的不同,减少的神经生物学标记集对SA的预测性能较差(AUC在0.62至0.72之间)。预测值最高的预测因子为高DHEA-S (OR = 1.47, 95% CI = 1.04-2.09)和低TSH (OR = 0.68, 95% CI = 0.48-0.97)。复杂模型的表现略优于简单模型,特征选择适度提高了预测性能。该研究可能为未来评估青少年自伤自杀风险提供潜在的生物标志物。需要进一步的研究来纵向复制这些发现。
本文章由计算机程序翻译,如有差异,请以英文原文为准。

A biological phenotype of suicide attempt in adolescents with nonsuicidal self-injury: a machine-based learning approach

A biological phenotype of suicide attempt in adolescents with nonsuicidal self-injury: a machine-based learning approach
Suicide attempts (SA) are a common risk in adolescents with non-suicidal self-injury (NSSI). In the present study, we investigated whether a set of biological markers contributed (above clinical features) to the distinction of adolescents with NSSI and SA from those with NSSI alone using machine-based learning approaches. Female adolescents engaging in NSSI (n = 161) were recruited from our outpatient clinic for risk-taking and self-harming behavior (AtR!Sk). Different machine-based learning models (logistic regression, elastic net regression, random forests, gradient boosted trees) with repeated cross-validation were applied. We tested whether a) the full set of neurobiological markers, b) a reduced set including preselected markers based on existing evidence (CRP, interleukin-6, salivary cortisol, DHEA-S, TSH, dopamine, norepinephrine, ACTH), and c) a model with only depressive symptoms and age could distinguish between the two groups (NSSI + SA vs. NSSI alone). Depressive symptoms and age were included as covariates in the reduced set to account for their potential predictive effects. The reduced set of neurobiological markers showed poor to fair predictive performance (AUC between 0.62 and 0.72) for SA depending on the model. Predictors with the highest predictive value were high DHEA-S (OR = 1.47, 95% CI = 1.04–2.09) and low TSH (OR = 0.68, 95% CI = 0.48–0.97). Complex models slightly outperformed simpler ones and feature selection modestly increased predictive performance. The study may suggest a future potential of biomarkers for the assessment of suicide risk among adolescents with NSSI. Further research is needed to replicate these findings longitudinally.
求助全文
通过发布文献求助,成功后即可免费获取论文全文。 去求助
来源期刊
Neuropsychopharmacology
Neuropsychopharmacology 医学-精神病学
CiteScore
15.00
自引率
2.60%
发文量
240
审稿时长
2 months
期刊介绍: Neuropsychopharmacology is a reputable international scientific journal that serves as the official publication of the American College of Neuropsychopharmacology (ACNP). The journal's primary focus is on research that enhances our knowledge of the brain and behavior, with a particular emphasis on the molecular, cellular, physiological, and psychological aspects of substances that affect the central nervous system (CNS). It also aims to identify new molecular targets for the development of future drugs. The journal prioritizes original research reports, but it also welcomes mini-reviews and perspectives, which are often solicited by the editorial office. These types of articles provide valuable insights and syntheses of current research trends and future directions in the field of neuroscience and pharmacology.
×
引用
GB/T 7714-2015
复制
MLA
复制
APA
复制
导出至
BibTeX EndNote RefMan NoteFirst NoteExpress
×
提示
您的信息不完整,为了账户安全,请先补充。
现在去补充
×
提示
您因"违规操作"
具体请查看互助需知
我知道了
×
提示
确定
请完成安全验证×
copy
已复制链接
快去分享给好友吧!
我知道了
右上角分享
点击右上角分享
0
联系我们:info@booksci.cn Book学术提供免费学术资源搜索服务,方便国内外学者检索中英文文献。致力于提供最便捷和优质的服务体验。 Copyright © 2023 布克学术 All rights reserved.
京ICP备2023020795号-1
ghs 京公网安备 11010802042870号
Book学术文献互助
Book学术文献互助群
群 号:604180095
Book学术官方微信