伊莎贝拉岛加拉帕戈斯象龟血液学和血浆生化参考区间。

IF 2.5 3区 环境科学与生态学 Q2 BIODIVERSITY CONSERVATION
Conservation Physiology Pub Date : 2025-07-29 eCollection Date: 2025-01-01 DOI:10.1093/conphys/coaf054
Ainoa Nieto-Claudín, Jamie L Palmer, Maris Brenn-White, Fernando Esperón, Santiago Cano, Sharon L Deem
{"title":"伊莎贝拉岛加拉帕戈斯象龟血液学和血浆生化参考区间。","authors":"Ainoa Nieto-Claudín, Jamie L Palmer, Maris Brenn-White, Fernando Esperón, Santiago Cano, Sharon L Deem","doi":"10.1093/conphys/coaf054","DOIUrl":null,"url":null,"abstract":"<p><p>Wildlife health assessments including haematology and biochemistry parameters are essential to evaluating the well-being of free-living species. In Galapagos, the iconic giant tortoises still thrive in the archipelago despite anthropogenic pressures, with up to 13 extant species distributed across most islands and ecosystems. In previous work conducted by our research group, we described for the first-time reference intervals of haematology and plasma biochemistry in four Galapagos tortoise species. With the aim of continuing to provide cutting-edge health data for Galapagos tortoises, here we report haematology and plasma biochemistry descriptive statistics, reference intervals and cell morphology of tortoises from four different tortoise populations (i.e. Alcedo Volcano, Cerro Azul Volcano, Cinco Cerros and Sierra Negra Volcano)<i>.</i> Additionally, we compared values between sexes and applied a principal component analysis to explore differences in haematology and biochemistry parameters between tortoise populations, including those previously published by our research group. Females presented higher calcium, phosphorus and albumin, consistent with vitellogenesis, whereas males had higher packed cell volume and sodium than females. Blood cell morphology was consistent across species. The two main principal components of the multivariate statistical model were unable to explain >44.9% of the variance across tortoise populations. We suggest additional research to explore the correlation between anthropogenic factors (i.e. climate change, pesticides, plastics) and blood values, for a deeper understanding of tortoise physiology and ultimately improved diagnostics and management actions. In the anthropogenic era, understanding the health status of bioindicator species like Galapagos tortoises is mandatory to inform current and future conservation priorities and actions.</p>","PeriodicalId":54331,"journal":{"name":"Conservation Physiology","volume":"13 1","pages":"coaf054"},"PeriodicalIF":2.5000,"publicationDate":"2025-07-29","publicationTypes":"Journal Article","fieldsOfStudy":null,"isOpenAccess":false,"openAccessPdf":"https://www.ncbi.nlm.nih.gov/pmc/articles/PMC12305796/pdf/","citationCount":"0","resultStr":"{\"title\":\"Haematology and plasma biochemistry reference intervals of Galapagos tortoises from Isabela Island.\",\"authors\":\"Ainoa Nieto-Claudín, Jamie L Palmer, Maris Brenn-White, Fernando Esperón, Santiago Cano, Sharon L Deem\",\"doi\":\"10.1093/conphys/coaf054\",\"DOIUrl\":null,\"url\":null,\"abstract\":\"<p><p>Wildlife health assessments including haematology and biochemistry parameters are essential to evaluating the well-being of free-living species. In Galapagos, the iconic giant tortoises still thrive in the archipelago despite anthropogenic pressures, with up to 13 extant species distributed across most islands and ecosystems. In previous work conducted by our research group, we described for the first-time reference intervals of haematology and plasma biochemistry in four Galapagos tortoise species. With the aim of continuing to provide cutting-edge health data for Galapagos tortoises, here we report haematology and plasma biochemistry descriptive statistics, reference intervals and cell morphology of tortoises from four different tortoise populations (i.e. Alcedo Volcano, Cerro Azul Volcano, Cinco Cerros and Sierra Negra Volcano)<i>.</i> Additionally, we compared values between sexes and applied a principal component analysis to explore differences in haematology and biochemistry parameters between tortoise populations, including those previously published by our research group. Females presented higher calcium, phosphorus and albumin, consistent with vitellogenesis, whereas males had higher packed cell volume and sodium than females. Blood cell morphology was consistent across species. The two main principal components of the multivariate statistical model were unable to explain >44.9% of the variance across tortoise populations. We suggest additional research to explore the correlation between anthropogenic factors (i.e. climate change, pesticides, plastics) and blood values, for a deeper understanding of tortoise physiology and ultimately improved diagnostics and management actions. In the anthropogenic era, understanding the health status of bioindicator species like Galapagos tortoises is mandatory to inform current and future conservation priorities and actions.</p>\",\"PeriodicalId\":54331,\"journal\":{\"name\":\"Conservation Physiology\",\"volume\":\"13 1\",\"pages\":\"coaf054\"},\"PeriodicalIF\":2.5000,\"publicationDate\":\"2025-07-29\",\"publicationTypes\":\"Journal Article\",\"fieldsOfStudy\":null,\"isOpenAccess\":false,\"openAccessPdf\":\"https://www.ncbi.nlm.nih.gov/pmc/articles/PMC12305796/pdf/\",\"citationCount\":\"0\",\"resultStr\":null,\"platform\":\"Semanticscholar\",\"paperid\":null,\"PeriodicalName\":\"Conservation Physiology\",\"FirstCategoryId\":\"93\",\"ListUrlMain\":\"https://doi.org/10.1093/conphys/coaf054\",\"RegionNum\":3,\"RegionCategory\":\"环境科学与生态学\",\"ArticlePicture\":[],\"TitleCN\":null,\"AbstractTextCN\":null,\"PMCID\":null,\"EPubDate\":\"2025/1/1 0:00:00\",\"PubModel\":\"eCollection\",\"JCR\":\"Q2\",\"JCRName\":\"BIODIVERSITY CONSERVATION\",\"Score\":null,\"Total\":0}","platform":"Semanticscholar","paperid":null,"PeriodicalName":"Conservation Physiology","FirstCategoryId":"93","ListUrlMain":"https://doi.org/10.1093/conphys/coaf054","RegionNum":3,"RegionCategory":"环境科学与生态学","ArticlePicture":[],"TitleCN":null,"AbstractTextCN":null,"PMCID":null,"EPubDate":"2025/1/1 0:00:00","PubModel":"eCollection","JCR":"Q2","JCRName":"BIODIVERSITY CONSERVATION","Score":null,"Total":0}
引用次数: 0

摘要

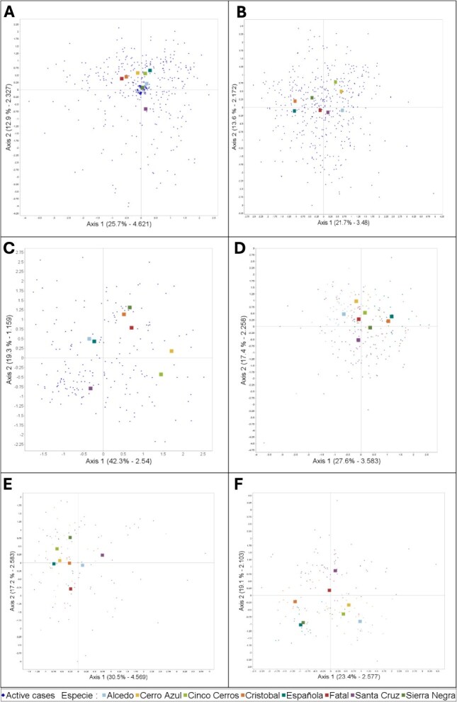
包括血液学和生物化学参数在内的野生动物健康评估对于评估自由生活物种的健康至关重要。在加拉帕戈斯群岛,尽管有人为的压力,标志性的巨龟仍然在群岛上茁壮成长,现存的多达13种巨龟分布在大多数岛屿和生态系统中。在我们课题组之前的工作中,我们首次描述了四种加拉帕戈斯陆龟的血液学和血浆生化参考区间。为了继续为加拉帕戈斯象龟提供前沿的健康数据,本文报告了来自四个不同象龟种群(即Alcedo火山、Cerro Azul火山、Cinco Cerros火山和Sierra Negra火山)的象龟的血液学和血浆生化描述性统计、参考区间和细胞形态学。此外,我们比较了两性之间的值,并应用主成分分析来探索龟群之间血液学和生物化学参数的差异,包括我们研究小组之前发表的那些。雌性的钙、磷和白蛋白含量较高,与卵黄形成一致,而雄性的堆积细胞体积和钠含量高于雌性。不同物种的血细胞形态是一致的。多元统计模型的两个主成分不能解释44.9%的龟群差异。我们建议进一步研究人为因素(如气候变化、农药、塑料)与血液值之间的相关性,以便更深入地了解陆龟的生理状况,并最终改进诊断和管理措施。在人类活动时代,了解像加拉帕戈斯象龟这样的生物指示物种的健康状况,是为当前和未来的保护重点和行动提供信息的必要条件。
本文章由计算机程序翻译,如有差异,请以英文原文为准。

Haematology and plasma biochemistry reference intervals of Galapagos tortoises from Isabela Island.

Haematology and plasma biochemistry reference intervals of Galapagos tortoises from Isabela Island.

Haematology and plasma biochemistry reference intervals of Galapagos tortoises from Isabela Island.

Haematology and plasma biochemistry reference intervals of Galapagos tortoises from Isabela Island.

Wildlife health assessments including haematology and biochemistry parameters are essential to evaluating the well-being of free-living species. In Galapagos, the iconic giant tortoises still thrive in the archipelago despite anthropogenic pressures, with up to 13 extant species distributed across most islands and ecosystems. In previous work conducted by our research group, we described for the first-time reference intervals of haematology and plasma biochemistry in four Galapagos tortoise species. With the aim of continuing to provide cutting-edge health data for Galapagos tortoises, here we report haematology and plasma biochemistry descriptive statistics, reference intervals and cell morphology of tortoises from four different tortoise populations (i.e. Alcedo Volcano, Cerro Azul Volcano, Cinco Cerros and Sierra Negra Volcano). Additionally, we compared values between sexes and applied a principal component analysis to explore differences in haematology and biochemistry parameters between tortoise populations, including those previously published by our research group. Females presented higher calcium, phosphorus and albumin, consistent with vitellogenesis, whereas males had higher packed cell volume and sodium than females. Blood cell morphology was consistent across species. The two main principal components of the multivariate statistical model were unable to explain >44.9% of the variance across tortoise populations. We suggest additional research to explore the correlation between anthropogenic factors (i.e. climate change, pesticides, plastics) and blood values, for a deeper understanding of tortoise physiology and ultimately improved diagnostics and management actions. In the anthropogenic era, understanding the health status of bioindicator species like Galapagos tortoises is mandatory to inform current and future conservation priorities and actions.

求助全文
通过发布文献求助,成功后即可免费获取论文全文。 去求助
来源期刊
Conservation Physiology
Conservation Physiology Environmental Science-Management, Monitoring, Policy and Law
CiteScore
5.10
自引率
3.70%
发文量
71
审稿时长
11 weeks
期刊介绍: Conservation Physiology is an online only, fully open access journal published on behalf of the Society for Experimental Biology. Biodiversity across the globe faces a growing number of threats associated with human activities. Conservation Physiology will publish research on all taxa (microbes, plants and animals) focused on understanding and predicting how organisms, populations, ecosystems and natural resources respond to environmental change and stressors. Physiology is considered in the broadest possible terms to include functional and mechanistic responses at all scales. We also welcome research towards developing and refining strategies to rebuild populations, restore ecosystems, inform conservation policy, and manage living resources. We define conservation physiology broadly and encourage potential authors to contact the editorial team if they have any questions regarding the remit of the journal.
×
引用
GB/T 7714-2015
复制
MLA
复制
APA
复制
导出至
BibTeX EndNote RefMan NoteFirst NoteExpress
×
提示
您的信息不完整,为了账户安全,请先补充。
现在去补充
×
提示
您因"违规操作"
具体请查看互助需知
我知道了
×
提示
确定
请完成安全验证×
copy
已复制链接
快去分享给好友吧!
我知道了
右上角分享
点击右上角分享
0
联系我们:info@booksci.cn Book学术提供免费学术资源搜索服务,方便国内外学者检索中英文文献。致力于提供最便捷和优质的服务体验。 Copyright © 2023 布克学术 All rights reserved.
京ICP备2023020795号-1
ghs 京公网安备 11010802042870号
Book学术文献互助
Book学术文献互助群
群 号:604180095
Book学术官方微信