fat1加权mri引导下聚焦超声丘脑切开术治疗特发性震颤。

IF 2.4 Q3 CLINICAL NEUROLOGY
BMJ Neurology Open Pub Date : 2025-07-28 eCollection Date: 2025-01-01 DOI:10.1136/bmjno-2025-001104
San San Xu, Harith Akram, Valentina Lind, Jonathan Hyam, Indran Davagnanam, Prasad Korlipara, Tabish A Saifee, Thomas Foltynie, Ludvic Zrinzo, Patricia Limousin, Marie T Krüger
{"title":"fat1加权mri引导下聚焦超声丘脑切开术治疗特发性震颤。","authors":"San San Xu, Harith Akram, Valentina Lind, Jonathan Hyam, Indran Davagnanam, Prasad Korlipara, Tabish A Saifee, Thomas Foltynie, Ludvic Zrinzo, Patricia Limousin, Marie T Krüger","doi":"10.1136/bmjno-2025-001104","DOIUrl":null,"url":null,"abstract":"<p><strong>Background and objective: </strong>Magnetic resonance-guided focused ultrasound (MRgFUS) thalamotomy of the ventral intermediate nucleus (Vim) is an effective therapy for medication-refractory essential tremor (ET). The Vim is not readily visualised on conventional MRI and targeting is routinely performed indirectly, with atlas co-ordinates. Inaccurate targeting due to interindividual anatomical variability can result in side effects and reduced efficacy. FAT1-weighted MRI is a high-resolution, high-fidelity modality that combines fractional anisotropy mapping and anatomical T1 sequences and allows direct visualisation of the Vim. Here, we assessed the outcomes of ET patients treated with a novel FAT1-weighted MRgFUS thalamotomy technique.</p><p><strong>Methods: </strong>Targeting was performed through direct visualisation of the Vim on FAT1-weighted MRI sequence. Clinical, technical and imaging data were collected prospectively at baseline, 6 and 12 months follow-up.</p><p><strong>Results: </strong>The first 14 consecutive ET patients undergoing MRgFUS at our centre were assessed. Their mean age was 73.6 years and disease duration was 31.8 years. There were significant improvements in treated hand tremor score (60%), disability score (71%) and quality of life (72%) and no clinically relevant side effects at 12 months. A mean of 6.9 sonications was performed and the mean time from first to last sonication was 34.6 min. Greater tremor improvement was observed with lesions in the inferior and lateral part of the Vim.</p><p><strong>Conclusion: </strong>This is the first case series assessing FAT1-guided Vim targeting in MRgFUS thalamotomy. These results demonstrate that this method is safe and clinically effective, with added technical advantages including low sonication numbers and short procedural time.</p>","PeriodicalId":52754,"journal":{"name":"BMJ Neurology Open","volume":"7 2","pages":"e001104"},"PeriodicalIF":2.4000,"publicationDate":"2025-07-28","publicationTypes":"Journal Article","fieldsOfStudy":null,"isOpenAccess":false,"openAccessPdf":"https://www.ncbi.nlm.nih.gov/pmc/articles/PMC12306238/pdf/","citationCount":"0","resultStr":"{\"title\":\"FAT1-weighted MRI-guided focused ultrasound thalamotomy for essential tremor.\",\"authors\":\"San San Xu, Harith Akram, Valentina Lind, Jonathan Hyam, Indran Davagnanam, Prasad Korlipara, Tabish A Saifee, Thomas Foltynie, Ludvic Zrinzo, Patricia Limousin, Marie T Krüger\",\"doi\":\"10.1136/bmjno-2025-001104\",\"DOIUrl\":null,\"url\":null,\"abstract\":\"<p><strong>Background and objective: </strong>Magnetic resonance-guided focused ultrasound (MRgFUS) thalamotomy of the ventral intermediate nucleus (Vim) is an effective therapy for medication-refractory essential tremor (ET). The Vim is not readily visualised on conventional MRI and targeting is routinely performed indirectly, with atlas co-ordinates. Inaccurate targeting due to interindividual anatomical variability can result in side effects and reduced efficacy. FAT1-weighted MRI is a high-resolution, high-fidelity modality that combines fractional anisotropy mapping and anatomical T1 sequences and allows direct visualisation of the Vim. Here, we assessed the outcomes of ET patients treated with a novel FAT1-weighted MRgFUS thalamotomy technique.</p><p><strong>Methods: </strong>Targeting was performed through direct visualisation of the Vim on FAT1-weighted MRI sequence. Clinical, technical and imaging data were collected prospectively at baseline, 6 and 12 months follow-up.</p><p><strong>Results: </strong>The first 14 consecutive ET patients undergoing MRgFUS at our centre were assessed. Their mean age was 73.6 years and disease duration was 31.8 years. There were significant improvements in treated hand tremor score (60%), disability score (71%) and quality of life (72%) and no clinically relevant side effects at 12 months. A mean of 6.9 sonications was performed and the mean time from first to last sonication was 34.6 min. Greater tremor improvement was observed with lesions in the inferior and lateral part of the Vim.</p><p><strong>Conclusion: </strong>This is the first case series assessing FAT1-guided Vim targeting in MRgFUS thalamotomy. These results demonstrate that this method is safe and clinically effective, with added technical advantages including low sonication numbers and short procedural time.</p>\",\"PeriodicalId\":52754,\"journal\":{\"name\":\"BMJ Neurology Open\",\"volume\":\"7 2\",\"pages\":\"e001104\"},\"PeriodicalIF\":2.4000,\"publicationDate\":\"2025-07-28\",\"publicationTypes\":\"Journal Article\",\"fieldsOfStudy\":null,\"isOpenAccess\":false,\"openAccessPdf\":\"https://www.ncbi.nlm.nih.gov/pmc/articles/PMC12306238/pdf/\",\"citationCount\":\"0\",\"resultStr\":null,\"platform\":\"Semanticscholar\",\"paperid\":null,\"PeriodicalName\":\"BMJ Neurology Open\",\"FirstCategoryId\":\"1085\",\"ListUrlMain\":\"https://doi.org/10.1136/bmjno-2025-001104\",\"RegionNum\":0,\"RegionCategory\":null,\"ArticlePicture\":[],\"TitleCN\":null,\"AbstractTextCN\":null,\"PMCID\":null,\"EPubDate\":\"2025/1/1 0:00:00\",\"PubModel\":\"eCollection\",\"JCR\":\"Q3\",\"JCRName\":\"CLINICAL NEUROLOGY\",\"Score\":null,\"Total\":0}","platform":"Semanticscholar","paperid":null,"PeriodicalName":"BMJ Neurology Open","FirstCategoryId":"1085","ListUrlMain":"https://doi.org/10.1136/bmjno-2025-001104","RegionNum":0,"RegionCategory":null,"ArticlePicture":[],"TitleCN":null,"AbstractTextCN":null,"PMCID":null,"EPubDate":"2025/1/1 0:00:00","PubModel":"eCollection","JCR":"Q3","JCRName":"CLINICAL NEUROLOGY","Score":null,"Total":0}
引用次数: 0

摘要

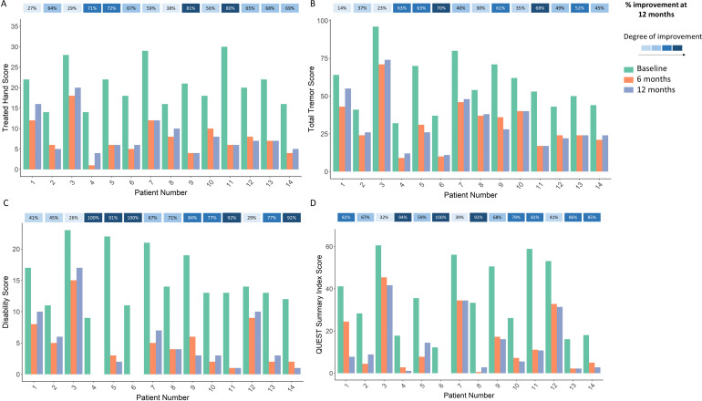
背景与目的:磁共振引导聚焦超声(MRgFUS)腹侧中间核(Vim)丘脑切开术是治疗难治性特发性震颤(ET)的有效方法。Vim不容易在传统的MRI上可视化,靶向通常是通过地图集坐标间接进行的。由于个体间的解剖差异,不准确的靶向可能导致副作用和降低疗效。fat1加权MRI是一种高分辨率,高保真的模式,结合了分数各向异性映射和解剖T1序列,可以直接可视化Vim。在这里,我们评估了使用新型fat1加权MRgFUS丘脑切开术治疗ET患者的结果。方法:通过在fat1加权MRI序列上直接可视化Vim进行靶向。在基线、6个月和12个月随访时前瞻性地收集临床、技术和影像学资料。结果:对前14例连续在本中心接受MRgFUS治疗的ET患者进行了评估。平均年龄73.6岁,病程31.8年。治疗后的手部震颤评分(60%)、残疾评分(71%)和生活质量(72%)显著改善,12个月时无临床相关副作用。平均超声6.9次,首次超声至最后超声平均时间为34.6 min。在Vim的下部和外侧病变中观察到更大的震颤改善。结论:这是第一个评估fat1引导的Vim靶向MRgFUS丘脑切开术的病例系列。这些结果表明,该方法是安全的,临床有效的,并增加了技术优势,包括低超声次数和手术时间短。
本文章由计算机程序翻译,如有差异,请以英文原文为准。

FAT1-weighted MRI-guided focused ultrasound thalamotomy for essential tremor.

FAT1-weighted MRI-guided focused ultrasound thalamotomy for essential tremor.

FAT1-weighted MRI-guided focused ultrasound thalamotomy for essential tremor.

FAT1-weighted MRI-guided focused ultrasound thalamotomy for essential tremor.

Background and objective: Magnetic resonance-guided focused ultrasound (MRgFUS) thalamotomy of the ventral intermediate nucleus (Vim) is an effective therapy for medication-refractory essential tremor (ET). The Vim is not readily visualised on conventional MRI and targeting is routinely performed indirectly, with atlas co-ordinates. Inaccurate targeting due to interindividual anatomical variability can result in side effects and reduced efficacy. FAT1-weighted MRI is a high-resolution, high-fidelity modality that combines fractional anisotropy mapping and anatomical T1 sequences and allows direct visualisation of the Vim. Here, we assessed the outcomes of ET patients treated with a novel FAT1-weighted MRgFUS thalamotomy technique.

Methods: Targeting was performed through direct visualisation of the Vim on FAT1-weighted MRI sequence. Clinical, technical and imaging data were collected prospectively at baseline, 6 and 12 months follow-up.

Results: The first 14 consecutive ET patients undergoing MRgFUS at our centre were assessed. Their mean age was 73.6 years and disease duration was 31.8 years. There were significant improvements in treated hand tremor score (60%), disability score (71%) and quality of life (72%) and no clinically relevant side effects at 12 months. A mean of 6.9 sonications was performed and the mean time from first to last sonication was 34.6 min. Greater tremor improvement was observed with lesions in the inferior and lateral part of the Vim.

Conclusion: This is the first case series assessing FAT1-guided Vim targeting in MRgFUS thalamotomy. These results demonstrate that this method is safe and clinically effective, with added technical advantages including low sonication numbers and short procedural time.

求助全文
通过发布文献求助,成功后即可免费获取论文全文。 去求助
来源期刊
BMJ Neurology Open
BMJ Neurology Open Medicine-Neurology (clinical)
CiteScore
3.20
自引率
3.70%
发文量
46
审稿时长
13 weeks
×
引用
GB/T 7714-2015
复制
MLA
复制
APA
复制
导出至
BibTeX EndNote RefMan NoteFirst NoteExpress
×
提示
您的信息不完整,为了账户安全,请先补充。
现在去补充
×
提示
您因"违规操作"
具体请查看互助需知
我知道了
×
提示
确定
请完成安全验证×
copy
已复制链接
快去分享给好友吧!
我知道了
右上角分享
点击右上角分享
0
联系我们:info@booksci.cn Book学术提供免费学术资源搜索服务,方便国内外学者检索中英文文献。致力于提供最便捷和优质的服务体验。 Copyright © 2023 布克学术 All rights reserved.
京ICP备2023020795号-1
ghs 京公网安备 11010802042870号
Book学术文献互助
Book学术文献互助群
群 号:604180095
Book学术官方微信