新辅助放化疗和手术后辅助化疗对ypT3-4N0M0直肠癌的益处

IF 1.9 4区 医学 Q3 ONCOLOGY
Clinical Medicine Insights-Oncology Pub Date : 2025-07-28 eCollection Date: 2025-01-01 DOI:10.1177/11795549251359151
Chih-Hsien Chang, Hung-Hsin Lin, Shih-Ching Chang, Jeng-Kai Jiang, Huann-Sheng Wang, Yuan-Tzu Lan
{"title":"新辅助放化疗和手术后辅助化疗对ypT3-4N0M0直肠癌的益处","authors":"Chih-Hsien Chang, Hung-Hsin Lin, Shih-Ching Chang, Jeng-Kai Jiang, Huann-Sheng Wang, Yuan-Tzu Lan","doi":"10.1177/11795549251359151","DOIUrl":null,"url":null,"abstract":"<p><strong>Background: </strong>Neoadjuvant chemoradiotherapy (nCRT) followed by total mesorectal excision (TME) is the current standard for locally advanced rectal cancer. This study aimed to evaluate the need for adjuvant chemotherapy and clinical outcomes in patients with ypT3-4N0M0 rectal cancer.</p><p><strong>Methods: </strong>This is a retrospective cohort study. We reviewed the patients with locally advanced rectal cancer who had undergone radical resection after nCRT between 2010 and 2016. A total of 69 patients with ypT3-4N0M0 rectal cancer were included. The prognostic factors affecting disease-free and overall survival were analyzed.</p><p><strong>Results: </strong>With clinical stage II-III and pathological stage II disease, the overall survival in the adjuvant chemotherapy group (n = 38) was better than that of the group without adjuvant chemotherapy (n = 31) (86.8%, vs 74.2%, <i>P</i> = 0.016). The disease-free survival was better in 2 groups, but the difference was not statistically significant (73.7%, vs 67.4%, <i>P</i> = 0.193).</p><p><strong>Conclusions: </strong>In patients with clinical stage III rectal cancer downstaged to ypStage II after nCRT and TME, adjuvant chemotherapy may improve overall survival. nCRT combined with postoperative adjuvant chemotherapy remains an effective strategy for patients unsuitable for complete total neoadjuvant therapy protocols.</p>","PeriodicalId":48591,"journal":{"name":"Clinical Medicine Insights-Oncology","volume":"19 ","pages":"11795549251359151"},"PeriodicalIF":1.9000,"publicationDate":"2025-07-28","publicationTypes":"Journal Article","fieldsOfStudy":null,"isOpenAccess":false,"openAccessPdf":"https://www.ncbi.nlm.nih.gov/pmc/articles/PMC12304578/pdf/","citationCount":"0","resultStr":"{\"title\":\"The Benefits of Adjuvant Chemotherapy for ypT3-4N0M0 Rectal Cancer Following Neoadjuvant Chemoradiation and Surgery.\",\"authors\":\"Chih-Hsien Chang, Hung-Hsin Lin, Shih-Ching Chang, Jeng-Kai Jiang, Huann-Sheng Wang, Yuan-Tzu Lan\",\"doi\":\"10.1177/11795549251359151\",\"DOIUrl\":null,\"url\":null,\"abstract\":\"<p><strong>Background: </strong>Neoadjuvant chemoradiotherapy (nCRT) followed by total mesorectal excision (TME) is the current standard for locally advanced rectal cancer. This study aimed to evaluate the need for adjuvant chemotherapy and clinical outcomes in patients with ypT3-4N0M0 rectal cancer.</p><p><strong>Methods: </strong>This is a retrospective cohort study. We reviewed the patients with locally advanced rectal cancer who had undergone radical resection after nCRT between 2010 and 2016. A total of 69 patients with ypT3-4N0M0 rectal cancer were included. The prognostic factors affecting disease-free and overall survival were analyzed.</p><p><strong>Results: </strong>With clinical stage II-III and pathological stage II disease, the overall survival in the adjuvant chemotherapy group (n = 38) was better than that of the group without adjuvant chemotherapy (n = 31) (86.8%, vs 74.2%, <i>P</i> = 0.016). The disease-free survival was better in 2 groups, but the difference was not statistically significant (73.7%, vs 67.4%, <i>P</i> = 0.193).</p><p><strong>Conclusions: </strong>In patients with clinical stage III rectal cancer downstaged to ypStage II after nCRT and TME, adjuvant chemotherapy may improve overall survival. nCRT combined with postoperative adjuvant chemotherapy remains an effective strategy for patients unsuitable for complete total neoadjuvant therapy protocols.</p>\",\"PeriodicalId\":48591,\"journal\":{\"name\":\"Clinical Medicine Insights-Oncology\",\"volume\":\"19 \",\"pages\":\"11795549251359151\"},\"PeriodicalIF\":1.9000,\"publicationDate\":\"2025-07-28\",\"publicationTypes\":\"Journal Article\",\"fieldsOfStudy\":null,\"isOpenAccess\":false,\"openAccessPdf\":\"https://www.ncbi.nlm.nih.gov/pmc/articles/PMC12304578/pdf/\",\"citationCount\":\"0\",\"resultStr\":null,\"platform\":\"Semanticscholar\",\"paperid\":null,\"PeriodicalName\":\"Clinical Medicine Insights-Oncology\",\"FirstCategoryId\":\"3\",\"ListUrlMain\":\"https://doi.org/10.1177/11795549251359151\",\"RegionNum\":4,\"RegionCategory\":\"医学\",\"ArticlePicture\":[],\"TitleCN\":null,\"AbstractTextCN\":null,\"PMCID\":null,\"EPubDate\":\"2025/1/1 0:00:00\",\"PubModel\":\"eCollection\",\"JCR\":\"Q3\",\"JCRName\":\"ONCOLOGY\",\"Score\":null,\"Total\":0}","platform":"Semanticscholar","paperid":null,"PeriodicalName":"Clinical Medicine Insights-Oncology","FirstCategoryId":"3","ListUrlMain":"https://doi.org/10.1177/11795549251359151","RegionNum":4,"RegionCategory":"医学","ArticlePicture":[],"TitleCN":null,"AbstractTextCN":null,"PMCID":null,"EPubDate":"2025/1/1 0:00:00","PubModel":"eCollection","JCR":"Q3","JCRName":"ONCOLOGY","Score":null,"Total":0}
引用次数: 0

摘要

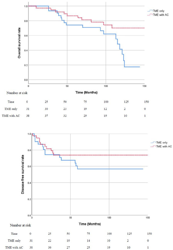
背景:新辅助放化疗(nCRT)加全肠系膜切除(TME)是目前局部晚期直肠癌的标准治疗方案。本研究旨在评估ypT3-4N0M0直肠癌患者是否需要辅助化疗及临床结果。方法:回顾性队列研究。我们回顾了2010年至2016年间局部晚期直肠癌nCRT术后根治性切除的患者。共纳入69例ypT3-4N0M0直肠癌患者。分析影响无病生存和总生存的预后因素。结果:对于临床II- iii期和病理II期疾病,辅助化疗组(n = 38)的总生存率优于非辅助化疗组(n = 31) (86.8%, vs . 74.2%, P = 0.016)。两组患者无病生存率均较好,但差异无统计学意义(73.7% vs 67.4%, P = 0.193)。结论:在临床III期直肠癌患者在nCRT和TME后降至II期,辅助化疗可能提高总生存期。对于不适合完全新辅助治疗方案的患者,nCRT联合术后辅助化疗仍然是一种有效的策略。
本文章由计算机程序翻译,如有差异,请以英文原文为准。

The Benefits of Adjuvant Chemotherapy for ypT3-4N0M0 Rectal Cancer Following Neoadjuvant Chemoradiation and Surgery.

The Benefits of Adjuvant Chemotherapy for ypT3-4N0M0 Rectal Cancer Following Neoadjuvant Chemoradiation and Surgery.

The Benefits of Adjuvant Chemotherapy for ypT3-4N0M0 Rectal Cancer Following Neoadjuvant Chemoradiation and Surgery.

The Benefits of Adjuvant Chemotherapy for ypT3-4N0M0 Rectal Cancer Following Neoadjuvant Chemoradiation and Surgery.

Background: Neoadjuvant chemoradiotherapy (nCRT) followed by total mesorectal excision (TME) is the current standard for locally advanced rectal cancer. This study aimed to evaluate the need for adjuvant chemotherapy and clinical outcomes in patients with ypT3-4N0M0 rectal cancer.

Methods: This is a retrospective cohort study. We reviewed the patients with locally advanced rectal cancer who had undergone radical resection after nCRT between 2010 and 2016. A total of 69 patients with ypT3-4N0M0 rectal cancer were included. The prognostic factors affecting disease-free and overall survival were analyzed.

Results: With clinical stage II-III and pathological stage II disease, the overall survival in the adjuvant chemotherapy group (n = 38) was better than that of the group without adjuvant chemotherapy (n = 31) (86.8%, vs 74.2%, P = 0.016). The disease-free survival was better in 2 groups, but the difference was not statistically significant (73.7%, vs 67.4%, P = 0.193).

Conclusions: In patients with clinical stage III rectal cancer downstaged to ypStage II after nCRT and TME, adjuvant chemotherapy may improve overall survival. nCRT combined with postoperative adjuvant chemotherapy remains an effective strategy for patients unsuitable for complete total neoadjuvant therapy protocols.

求助全文
通过发布文献求助,成功后即可免费获取论文全文。 去求助
来源期刊
CiteScore
2.40
自引率
4.50%
发文量
57
审稿时长
8 weeks
期刊介绍: Clinical Medicine Insights: Oncology is an international, peer-reviewed, open access journal that focuses on all aspects of cancer research and treatment, in addition to related genetic, pathophysiological and epidemiological topics. Of particular but not exclusive importance are molecular biology, clinical interventions, controlled trials, therapeutics, pharmacology and drug delivery, and techniques of cancer surgery. The journal welcomes unsolicited article proposals.
×
引用
GB/T 7714-2015
复制
MLA
复制
APA
复制
导出至
BibTeX EndNote RefMan NoteFirst NoteExpress
×
提示
您的信息不完整,为了账户安全,请先补充。
现在去补充
×
提示
您因"违规操作"
具体请查看互助需知
我知道了
×
提示
确定
请完成安全验证×
copy
已复制链接
快去分享给好友吧!
我知道了
右上角分享
点击右上角分享
0
联系我们:info@booksci.cn Book学术提供免费学术资源搜索服务,方便国内外学者检索中英文文献。致力于提供最便捷和优质的服务体验。 Copyright © 2023 布克学术 All rights reserved.
京ICP备2023020795号-1
ghs 京公网安备 11010802042870号
Book学术文献互助
Book学术文献互助群
群 号:604180095
Book学术官方微信