基于示踪剂摄取特征的脑PET/MR同步图像运动校正。

IF 3.2 2区 医学 Q2 RADIOLOGY, NUCLEAR MEDICINE & MEDICAL IMAGING
Sheng-Chieh Chiu, Jose Angelo U Perucho, Yu-Hua Dean Fang
{"title":"基于示踪剂摄取特征的脑PET/MR同步图像运动校正。","authors":"Sheng-Chieh Chiu, Jose Angelo U Perucho, Yu-Hua Dean Fang","doi":"10.1186/s40658-025-00789-6","DOIUrl":null,"url":null,"abstract":"<p><strong>Background: </strong>Simultaneous PET/MR imaging enables precise anatomical localization and PET quantification by reducing PET-to-MR misalignments. However, involuntary motion during scans may still cause misalignment and quantification imprecision. Current mutual information (MI)-based co-registration methods do not account for the tissue-specific uptake patterns of PET and therefore could result in suboptimal alignment. To address this, we proposed a novel image co-registration method, namely the tracer characteristic-based co-registration (TCBC) method, which takes advantage of specific PET uptake patterns within a selected anatomical region to improve the image alignment and PET quantification.</p><p><strong>Results: </strong>TCBC was evaluated using simulation and in vivo <sup>18</sup>F-Florbetapir PET/MR data from the OASIS-3 dataset. In simulations, TCBC demonstrated superior alignment accuracy with lower root mean square error and higher R-squared values compared to the conventional MI-based co-registration from FreeSurfer in recovering the simulated patient motion. In the retrospective human study, we evaluated the detectability of age-related amyloid burden in healthy controls under different co-registration methods as a demonstrative use case. TCBC significantly enhanced the detectability of age-related amyloid burden with stronger correlations across all five regions of evaluation, such as the medial orbitofrontal cortex (p < 0.001), precuneus (p = 0.004), and early amyloid-β composite (p = 0.002), compared to FSMC (p = 0.004, 0.007, and 0.006, respectively) and uncorrected (p = 0.378, 0.023, and 0.039, respectively) methods. Bootstrap analyses also confirmed TCBC's robustness in smaller samples, yielding tighter confidence intervals and lower means of p-values, such as 0.032 (95% CI: 0.029-0.035) in the precuneus and 0.008 (CI: 0.007-0.010) in the medial orbitofrontal cortex, outperforming FSMC (p = 0.046 with CI: 0.042-0.049, and p = 0.040 with CI: 0.036-0.044, respectively).</p><p><strong>Conclusions: </strong>The TCBC method reduces image misalignment, improves PET quantification, and may have a good potential for being applied to both research and clinical studies with simultaneous brain PET/MR.</p><p><strong>Clinical trial number: </strong>Not applicable.</p>","PeriodicalId":11559,"journal":{"name":"EJNMMI Physics","volume":"12 1","pages":"75"},"PeriodicalIF":3.2000,"publicationDate":"2025-07-30","publicationTypes":"Journal Article","fieldsOfStudy":null,"isOpenAccess":false,"openAccessPdf":"https://www.ncbi.nlm.nih.gov/pmc/articles/PMC12311070/pdf/","citationCount":"0","resultStr":"{\"title\":\"Motion correction of simultaneous brain PET/MR images based on tracer uptake characteristics.\",\"authors\":\"Sheng-Chieh Chiu, Jose Angelo U Perucho, Yu-Hua Dean Fang\",\"doi\":\"10.1186/s40658-025-00789-6\",\"DOIUrl\":null,\"url\":null,\"abstract\":\"<p><strong>Background: </strong>Simultaneous PET/MR imaging enables precise anatomical localization and PET quantification by reducing PET-to-MR misalignments. However, involuntary motion during scans may still cause misalignment and quantification imprecision. Current mutual information (MI)-based co-registration methods do not account for the tissue-specific uptake patterns of PET and therefore could result in suboptimal alignment. To address this, we proposed a novel image co-registration method, namely the tracer characteristic-based co-registration (TCBC) method, which takes advantage of specific PET uptake patterns within a selected anatomical region to improve the image alignment and PET quantification.</p><p><strong>Results: </strong>TCBC was evaluated using simulation and in vivo <sup>18</sup>F-Florbetapir PET/MR data from the OASIS-3 dataset. In simulations, TCBC demonstrated superior alignment accuracy with lower root mean square error and higher R-squared values compared to the conventional MI-based co-registration from FreeSurfer in recovering the simulated patient motion. In the retrospective human study, we evaluated the detectability of age-related amyloid burden in healthy controls under different co-registration methods as a demonstrative use case. TCBC significantly enhanced the detectability of age-related amyloid burden with stronger correlations across all five regions of evaluation, such as the medial orbitofrontal cortex (p < 0.001), precuneus (p = 0.004), and early amyloid-β composite (p = 0.002), compared to FSMC (p = 0.004, 0.007, and 0.006, respectively) and uncorrected (p = 0.378, 0.023, and 0.039, respectively) methods. Bootstrap analyses also confirmed TCBC's robustness in smaller samples, yielding tighter confidence intervals and lower means of p-values, such as 0.032 (95% CI: 0.029-0.035) in the precuneus and 0.008 (CI: 0.007-0.010) in the medial orbitofrontal cortex, outperforming FSMC (p = 0.046 with CI: 0.042-0.049, and p = 0.040 with CI: 0.036-0.044, respectively).</p><p><strong>Conclusions: </strong>The TCBC method reduces image misalignment, improves PET quantification, and may have a good potential for being applied to both research and clinical studies with simultaneous brain PET/MR.</p><p><strong>Clinical trial number: </strong>Not applicable.</p>\",\"PeriodicalId\":11559,\"journal\":{\"name\":\"EJNMMI Physics\",\"volume\":\"12 1\",\"pages\":\"75\"},\"PeriodicalIF\":3.2000,\"publicationDate\":\"2025-07-30\",\"publicationTypes\":\"Journal Article\",\"fieldsOfStudy\":null,\"isOpenAccess\":false,\"openAccessPdf\":\"https://www.ncbi.nlm.nih.gov/pmc/articles/PMC12311070/pdf/\",\"citationCount\":\"0\",\"resultStr\":null,\"platform\":\"Semanticscholar\",\"paperid\":null,\"PeriodicalName\":\"EJNMMI Physics\",\"FirstCategoryId\":\"3\",\"ListUrlMain\":\"https://doi.org/10.1186/s40658-025-00789-6\",\"RegionNum\":2,\"RegionCategory\":\"医学\",\"ArticlePicture\":[],\"TitleCN\":null,\"AbstractTextCN\":null,\"PMCID\":null,\"EPubDate\":\"\",\"PubModel\":\"\",\"JCR\":\"Q2\",\"JCRName\":\"RADIOLOGY, NUCLEAR MEDICINE & MEDICAL IMAGING\",\"Score\":null,\"Total\":0}","platform":"Semanticscholar","paperid":null,"PeriodicalName":"EJNMMI Physics","FirstCategoryId":"3","ListUrlMain":"https://doi.org/10.1186/s40658-025-00789-6","RegionNum":2,"RegionCategory":"医学","ArticlePicture":[],"TitleCN":null,"AbstractTextCN":null,"PMCID":null,"EPubDate":"","PubModel":"","JCR":"Q2","JCRName":"RADIOLOGY, NUCLEAR MEDICINE & MEDICAL IMAGING","Score":null,"Total":0}
引用次数: 0

摘要

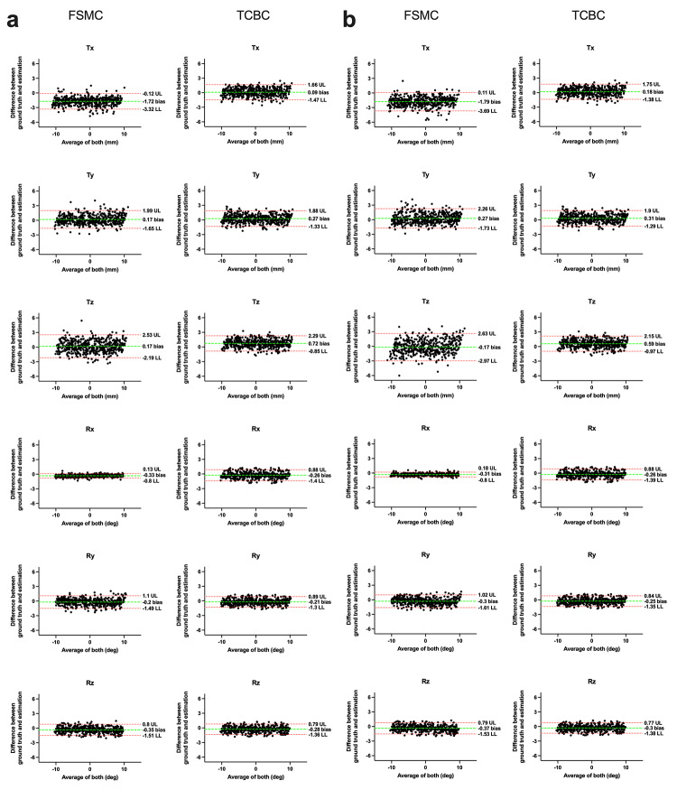
背景:同时PET/MR成像通过减少PET- MR错位,实现精确的解剖定位和PET定量。然而,扫描过程中无意识的运动仍然可能导致不对准和量化不精确。目前基于互信息(MI)的共配准方法没有考虑到PET的组织特异性摄取模式,因此可能导致次优对齐。为了解决这个问题,我们提出了一种新的图像共配准方法,即基于示踪特征的共配准(TCBC)方法,该方法利用选定解剖区域内特定的PET摄取模式来改善图像对齐和PET量化。结果:使用OASIS-3数据集的模拟和体内18F-Florbetapir PET/MR数据评估TCBC。在模拟中,与FreeSurfer传统的基于mi的联合配准相比,TCBC在恢复模拟患者运动方面表现出更低的均方根误差和更高的r平方值,具有更好的对准精度。在回顾性人类研究中,我们评估了健康对照者在不同的共同登记方法下年龄相关淀粉样蛋白负担的可检出性,作为一个示范用例。TCBC显著提高了年龄相关淀粉样蛋白负担的可检出性,并且在所有五个评估区域(如内侧眶额皮质)之间具有较强的相关性(p)。结论:TCBC方法减少了图像错位,提高了PET量化,并且可能具有良好的潜力应用于同时进行脑PET/MR的研究和临床研究。临床试验号:不适用。
本文章由计算机程序翻译,如有差异,请以英文原文为准。

Motion correction of simultaneous brain PET/MR images based on tracer uptake characteristics.

Motion correction of simultaneous brain PET/MR images based on tracer uptake characteristics.

Motion correction of simultaneous brain PET/MR images based on tracer uptake characteristics.

Motion correction of simultaneous brain PET/MR images based on tracer uptake characteristics.

Background: Simultaneous PET/MR imaging enables precise anatomical localization and PET quantification by reducing PET-to-MR misalignments. However, involuntary motion during scans may still cause misalignment and quantification imprecision. Current mutual information (MI)-based co-registration methods do not account for the tissue-specific uptake patterns of PET and therefore could result in suboptimal alignment. To address this, we proposed a novel image co-registration method, namely the tracer characteristic-based co-registration (TCBC) method, which takes advantage of specific PET uptake patterns within a selected anatomical region to improve the image alignment and PET quantification.

Results: TCBC was evaluated using simulation and in vivo 18F-Florbetapir PET/MR data from the OASIS-3 dataset. In simulations, TCBC demonstrated superior alignment accuracy with lower root mean square error and higher R-squared values compared to the conventional MI-based co-registration from FreeSurfer in recovering the simulated patient motion. In the retrospective human study, we evaluated the detectability of age-related amyloid burden in healthy controls under different co-registration methods as a demonstrative use case. TCBC significantly enhanced the detectability of age-related amyloid burden with stronger correlations across all five regions of evaluation, such as the medial orbitofrontal cortex (p < 0.001), precuneus (p = 0.004), and early amyloid-β composite (p = 0.002), compared to FSMC (p = 0.004, 0.007, and 0.006, respectively) and uncorrected (p = 0.378, 0.023, and 0.039, respectively) methods. Bootstrap analyses also confirmed TCBC's robustness in smaller samples, yielding tighter confidence intervals and lower means of p-values, such as 0.032 (95% CI: 0.029-0.035) in the precuneus and 0.008 (CI: 0.007-0.010) in the medial orbitofrontal cortex, outperforming FSMC (p = 0.046 with CI: 0.042-0.049, and p = 0.040 with CI: 0.036-0.044, respectively).

Conclusions: The TCBC method reduces image misalignment, improves PET quantification, and may have a good potential for being applied to both research and clinical studies with simultaneous brain PET/MR.

Clinical trial number: Not applicable.

求助全文
通过发布文献求助,成功后即可免费获取论文全文。 去求助
来源期刊
EJNMMI Physics
EJNMMI Physics Physics and Astronomy-Radiation
CiteScore
6.70
自引率
10.00%
发文量
78
审稿时长
13 weeks
期刊介绍: EJNMMI Physics is an international platform for scientists, users and adopters of nuclear medicine with a particular interest in physics matters. As a companion journal to the European Journal of Nuclear Medicine and Molecular Imaging, this journal has a multi-disciplinary approach and welcomes original materials and studies with a focus on applied physics and mathematics as well as imaging systems engineering and prototyping in nuclear medicine. This includes physics-driven approaches or algorithms supported by physics that foster early clinical adoption of nuclear medicine imaging and therapy.
×
引用
GB/T 7714-2015
复制
MLA
复制
APA
复制
导出至
BibTeX EndNote RefMan NoteFirst NoteExpress
×
提示
您的信息不完整,为了账户安全,请先补充。
现在去补充
×
提示
您因"违规操作"
具体请查看互助需知
我知道了
×
提示
确定
请完成安全验证×
copy
已复制链接
快去分享给好友吧!
我知道了
右上角分享
点击右上角分享
0
联系我们:info@booksci.cn Book学术提供免费学术资源搜索服务,方便国内外学者检索中英文文献。致力于提供最便捷和优质的服务体验。 Copyright © 2023 布克学术 All rights reserved.
京ICP备2023020795号-1
ghs 京公网安备 11010802042870号
Book学术文献互助
Book学术文献互助群
群 号:604180095
Book学术官方微信