Phylo-rs:一个可扩展的rust系统发育分析库。

IF 3.3 3区 生物学 Q2 BIOCHEMICAL RESEARCH METHODS
Sriram Vijendran, Tavis Anderson, Alexey Markin, Oliver Eulenstein
{"title":"Phylo-rs:一个可扩展的rust系统发育分析库。","authors":"Sriram Vijendran, Tavis Anderson, Alexey Markin, Oliver Eulenstein","doi":"10.1186/s12859-025-06234-w","DOIUrl":null,"url":null,"abstract":"<p><strong>Background: </strong>The advent of next-generation and long-read sequencing technologies has provided an ever-increasing wealth of phylogenetic data that require specially designed algorithms to decipher the underlying evolutionary relationships. As large-scale data become increasingly accessible, there is a concomitant need for efficient computational libraries that facilitate the development and dissemination of specialized algorithms for phylogenetic comparative biology.</p><p><strong>Results: </strong>We introduce Phylo-rs: a fast, extensible, general-purpose library for phylogenetic analysis and inference written in the Rust programming language. Phylo-rs leverages a combination of speed, memory-safety, and native WebAssembly support offered by Rust to provide a robust set of memory-efficient data structures and elementary phylogenetic algorithms. Phylo-rs focuses on the efficient and convenient deployment of software aimed at large-scale phylogenetic analysis and inference. Scalability analysis against popular libraries shows that Phylo-rs performs comparably or better on key algorithms. We utilized it to assess the phylogenetic diversity of influenza A virus in swine, identifying virus groups that are undergoing evolutionary expansion that could be targeted for control through multivalent vaccines. Additionally, we used Phylo-rs to enhance phylogenetic inference by visualizing tree space from Markov chain Monte Carlo (MCMC) Bayesian analysis, efficiently computing approximately five billion tree pair distances to evaluate convergence and select MCMC runs for genomic epidemiology.</p><p><strong>Conclusion: </strong>Phylo-rs enables the design and implementation of cutting-edge software for phylogenetic analysis, thereby facilitating the application and dissemination of theoretical advancements in biology. Phylo-rs is available under an open-source license on GitHub at https://github.com/sriram98v/phylo-rs , with documentation available at https://docs.rs/phylo/latest/phylo/ .</p>","PeriodicalId":8958,"journal":{"name":"BMC Bioinformatics","volume":"26 1","pages":"197"},"PeriodicalIF":3.3000,"publicationDate":"2025-07-29","publicationTypes":"Journal Article","fieldsOfStudy":null,"isOpenAccess":false,"openAccessPdf":"https://www.ncbi.nlm.nih.gov/pmc/articles/PMC12309125/pdf/","citationCount":"0","resultStr":"{\"title\":\"Phylo-rs: an extensible phylogenetic analysis library in rust.\",\"authors\":\"Sriram Vijendran, Tavis Anderson, Alexey Markin, Oliver Eulenstein\",\"doi\":\"10.1186/s12859-025-06234-w\",\"DOIUrl\":null,\"url\":null,\"abstract\":\"<p><strong>Background: </strong>The advent of next-generation and long-read sequencing technologies has provided an ever-increasing wealth of phylogenetic data that require specially designed algorithms to decipher the underlying evolutionary relationships. As large-scale data become increasingly accessible, there is a concomitant need for efficient computational libraries that facilitate the development and dissemination of specialized algorithms for phylogenetic comparative biology.</p><p><strong>Results: </strong>We introduce Phylo-rs: a fast, extensible, general-purpose library for phylogenetic analysis and inference written in the Rust programming language. Phylo-rs leverages a combination of speed, memory-safety, and native WebAssembly support offered by Rust to provide a robust set of memory-efficient data structures and elementary phylogenetic algorithms. Phylo-rs focuses on the efficient and convenient deployment of software aimed at large-scale phylogenetic analysis and inference. Scalability analysis against popular libraries shows that Phylo-rs performs comparably or better on key algorithms. We utilized it to assess the phylogenetic diversity of influenza A virus in swine, identifying virus groups that are undergoing evolutionary expansion that could be targeted for control through multivalent vaccines. Additionally, we used Phylo-rs to enhance phylogenetic inference by visualizing tree space from Markov chain Monte Carlo (MCMC) Bayesian analysis, efficiently computing approximately five billion tree pair distances to evaluate convergence and select MCMC runs for genomic epidemiology.</p><p><strong>Conclusion: </strong>Phylo-rs enables the design and implementation of cutting-edge software for phylogenetic analysis, thereby facilitating the application and dissemination of theoretical advancements in biology. Phylo-rs is available under an open-source license on GitHub at https://github.com/sriram98v/phylo-rs , with documentation available at https://docs.rs/phylo/latest/phylo/ .</p>\",\"PeriodicalId\":8958,\"journal\":{\"name\":\"BMC Bioinformatics\",\"volume\":\"26 1\",\"pages\":\"197\"},\"PeriodicalIF\":3.3000,\"publicationDate\":\"2025-07-29\",\"publicationTypes\":\"Journal Article\",\"fieldsOfStudy\":null,\"isOpenAccess\":false,\"openAccessPdf\":\"https://www.ncbi.nlm.nih.gov/pmc/articles/PMC12309125/pdf/\",\"citationCount\":\"0\",\"resultStr\":null,\"platform\":\"Semanticscholar\",\"paperid\":null,\"PeriodicalName\":\"BMC Bioinformatics\",\"FirstCategoryId\":\"99\",\"ListUrlMain\":\"https://doi.org/10.1186/s12859-025-06234-w\",\"RegionNum\":3,\"RegionCategory\":\"生物学\",\"ArticlePicture\":[],\"TitleCN\":null,\"AbstractTextCN\":null,\"PMCID\":null,\"EPubDate\":\"\",\"PubModel\":\"\",\"JCR\":\"Q2\",\"JCRName\":\"BIOCHEMICAL RESEARCH METHODS\",\"Score\":null,\"Total\":0}","platform":"Semanticscholar","paperid":null,"PeriodicalName":"BMC Bioinformatics","FirstCategoryId":"99","ListUrlMain":"https://doi.org/10.1186/s12859-025-06234-w","RegionNum":3,"RegionCategory":"生物学","ArticlePicture":[],"TitleCN":null,"AbstractTextCN":null,"PMCID":null,"EPubDate":"","PubModel":"","JCR":"Q2","JCRName":"BIOCHEMICAL RESEARCH METHODS","Score":null,"Total":0}
引用次数: 0

摘要

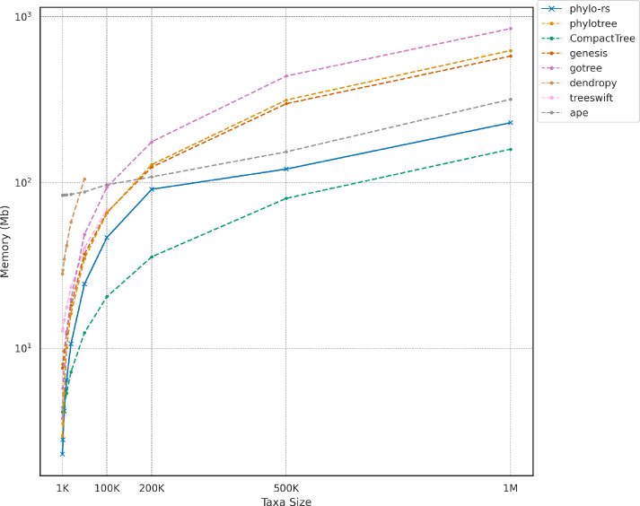
背景:下一代和长读测序技术的出现提供了越来越丰富的系统发育数据,需要专门设计的算法来破译潜在的进化关系。随着大规模数据变得越来越容易获取,对高效计算库的需求也随之产生,以促进系统发育比较生物学专门算法的发展和传播。结果:我们介绍了Phylo-rs:一个快速,可扩展,通用的库,用于系统发育分析和推理,用Rust编程语言编写。Phylo-rs利用了Rust提供的速度、内存安全性和本地WebAssembly支持的组合,提供了一组健壮的内存高效数据结构和基本的系统发育算法。Phylo-rs专注于高效和方便的软件部署,旨在大规模的系统发育分析和推理。针对流行库的可伸缩性分析表明,Phylo-rs在关键算法上的性能相当甚至更好。我们利用它来评估猪甲型流感病毒的系统发育多样性,确定正在经历进化扩展的病毒群,可以通过多价疫苗进行控制。此外,我们使用Phylo-rs通过马尔可夫链蒙特卡罗(MCMC)贝叶斯分析的可视化树空间来增强系统发育推断,有效地计算了大约50亿个树对距离,以评估收敛性并选择MCMC运行基因组流行病学。结论:Phylo-rs能够设计和实现尖端的系统发育分析软件,从而促进生物学理论进展的应用和传播。Phylo-rs在GitHub上的开源许可下可在https://github.com/sriram98v/phylo-rs上获得,文档可在https://docs.rs/phylo/latest/phylo/上获得。
本文章由计算机程序翻译,如有差异,请以英文原文为准。

Phylo-rs: an extensible phylogenetic analysis library in rust.

Phylo-rs: an extensible phylogenetic analysis library in rust.

Phylo-rs: an extensible phylogenetic analysis library in rust.

Phylo-rs: an extensible phylogenetic analysis library in rust.

Background: The advent of next-generation and long-read sequencing technologies has provided an ever-increasing wealth of phylogenetic data that require specially designed algorithms to decipher the underlying evolutionary relationships. As large-scale data become increasingly accessible, there is a concomitant need for efficient computational libraries that facilitate the development and dissemination of specialized algorithms for phylogenetic comparative biology.

Results: We introduce Phylo-rs: a fast, extensible, general-purpose library for phylogenetic analysis and inference written in the Rust programming language. Phylo-rs leverages a combination of speed, memory-safety, and native WebAssembly support offered by Rust to provide a robust set of memory-efficient data structures and elementary phylogenetic algorithms. Phylo-rs focuses on the efficient and convenient deployment of software aimed at large-scale phylogenetic analysis and inference. Scalability analysis against popular libraries shows that Phylo-rs performs comparably or better on key algorithms. We utilized it to assess the phylogenetic diversity of influenza A virus in swine, identifying virus groups that are undergoing evolutionary expansion that could be targeted for control through multivalent vaccines. Additionally, we used Phylo-rs to enhance phylogenetic inference by visualizing tree space from Markov chain Monte Carlo (MCMC) Bayesian analysis, efficiently computing approximately five billion tree pair distances to evaluate convergence and select MCMC runs for genomic epidemiology.

Conclusion: Phylo-rs enables the design and implementation of cutting-edge software for phylogenetic analysis, thereby facilitating the application and dissemination of theoretical advancements in biology. Phylo-rs is available under an open-source license on GitHub at https://github.com/sriram98v/phylo-rs , with documentation available at https://docs.rs/phylo/latest/phylo/ .

求助全文
通过发布文献求助,成功后即可免费获取论文全文。 去求助
来源期刊
BMC Bioinformatics
BMC Bioinformatics 生物-生化研究方法
CiteScore
5.70
自引率
3.30%
发文量
506
审稿时长
4.3 months
期刊介绍: BMC Bioinformatics is an open access, peer-reviewed journal that considers articles on all aspects of the development, testing and novel application of computational and statistical methods for the modeling and analysis of all kinds of biological data, as well as other areas of computational biology. BMC Bioinformatics is part of the BMC series which publishes subject-specific journals focused on the needs of individual research communities across all areas of biology and medicine. We offer an efficient, fair and friendly peer review service, and are committed to publishing all sound science, provided that there is some advance in knowledge presented by the work.
×
引用
GB/T 7714-2015
复制
MLA
复制
APA
复制
导出至
BibTeX EndNote RefMan NoteFirst NoteExpress
×
提示
您的信息不完整,为了账户安全,请先补充。
现在去补充
×
提示
您因"违规操作"
具体请查看互助需知
我知道了
×
提示
确定
请完成安全验证×
copy
已复制链接
快去分享给好友吧!
我知道了
右上角分享
点击右上角分享
0
联系我们:info@booksci.cn Book学术提供免费学术资源搜索服务,方便国内外学者检索中英文文献。致力于提供最便捷和优质的服务体验。 Copyright © 2023 布克学术 All rights reserved.
京ICP备2023020795号-1
ghs 京公网安备 11010802042870号
Book学术文献互助
Book学术文献互助群
群 号:604180095
Book学术官方微信