1995年至2022年韩国儿童和青少年特应性皮炎的患病率和合并症:一项基于人群的研究

IF 4.3 2区 医学 Q2 ALLERGY
Jihyun Kim, Gitae Seo, Chae Hyun Im, Hye Mi Jee, Yong Ju Lee, Hyo-Bin Kim, Eun Lee, Dong In Suh, You Hoon Jeon, So-Yeon Lee, Hyeon-Jong Yang, Kee-Jae Lee, Woo Kyung Kim, Kangmo Ahn
{"title":"1995年至2022年韩国儿童和青少年特应性皮炎的患病率和合并症:一项基于人群的研究","authors":"Jihyun Kim, Gitae Seo, Chae Hyun Im, Hye Mi Jee, Yong Ju Lee, Hyo-Bin Kim, Eun Lee, Dong In Suh, You Hoon Jeon, So-Yeon Lee, Hyeon-Jong Yang, Kee-Jae Lee, Woo Kyung Kim, Kangmo Ahn","doi":"10.4168/aair.2025.17.4.505","DOIUrl":null,"url":null,"abstract":"<p><strong>Purpose: </strong>We aimed to investigate the prevalence of atopic dermatitis (AD) and its associated risk factors in Korean children in 2022, and to compare to our findings with previous results to identify changes or trends over time.</p><p><strong>Methods: </strong>A nationwide, cross-sectional study of randomly selected schoolchildren aged 6-7, 9-10, and 12-13 years, respectively, was completed. Information was obtained through the International Study of Asthma and Allergies in Childhood questionnaire, and comparisons between the current and prior surveys performed in 1995, 2000, and 2010 were conducted using a trend test.</p><p><strong>Results: </strong>In the 2022 survey, the prevalence of \"itchy eczema, ever\" was 18.3% in 6- to 7-year-olds, 21.6% in 9- to 10-year-olds, and 18.8% in 12- to 13-year-olds. The prevalence of \"AD diagnosis, ever\" in 6- to 7-year-olds rose from 20.9% in 1995 to 35.4% in 2010, then dropped to 13.6% in 2022 (<i>P</i> < 0.001), while in 12- to 13-year-olds, it increased from 7.1% in 1995 to 23.7% in 2010, then declined to 17.5% in 2022 (<i>P</i> < 0.001). In 6- to 7-year-olds, the prevalence of \"AD only\" and \"AD and asthma\" decreased between 1995 and 2022 (all <i>P</i> < 0.001). In 12- to 13-year-olds, the prevalence of \"AD only,\" \"AD and rhinitis,\" and \"AD and asthma and rhinitis\" all increased during the same period (all <i>P</i> < 0.001).</p><p><strong>Conclusions: </strong>The prevalence of AD decreased in Korean children aged 6-7 years and increased in those aged 12-13 years, respectively, between 1995 and 2022, with a concomitant rise in allergic comorbidities among adolescents, suggesting age-dependent trends influenced by diverse AD phenotypes.</p>","PeriodicalId":7547,"journal":{"name":"Allergy, Asthma & Immunology Research","volume":"17 4","pages":"505-518"},"PeriodicalIF":4.3000,"publicationDate":"2025-07-01","publicationTypes":"Journal Article","fieldsOfStudy":null,"isOpenAccess":false,"openAccessPdf":"https://www.ncbi.nlm.nih.gov/pmc/articles/PMC12318800/pdf/","citationCount":"0","resultStr":"{\"title\":\"Prevalence and Comorbidities of Atopic Dermatitis in Korean Children and Adolescents From 1995 to 2022: A Population-Based Study.\",\"authors\":\"Jihyun Kim, Gitae Seo, Chae Hyun Im, Hye Mi Jee, Yong Ju Lee, Hyo-Bin Kim, Eun Lee, Dong In Suh, You Hoon Jeon, So-Yeon Lee, Hyeon-Jong Yang, Kee-Jae Lee, Woo Kyung Kim, Kangmo Ahn\",\"doi\":\"10.4168/aair.2025.17.4.505\",\"DOIUrl\":null,\"url\":null,\"abstract\":\"<p><strong>Purpose: </strong>We aimed to investigate the prevalence of atopic dermatitis (AD) and its associated risk factors in Korean children in 2022, and to compare to our findings with previous results to identify changes or trends over time.</p><p><strong>Methods: </strong>A nationwide, cross-sectional study of randomly selected schoolchildren aged 6-7, 9-10, and 12-13 years, respectively, was completed. Information was obtained through the International Study of Asthma and Allergies in Childhood questionnaire, and comparisons between the current and prior surveys performed in 1995, 2000, and 2010 were conducted using a trend test.</p><p><strong>Results: </strong>In the 2022 survey, the prevalence of \\\"itchy eczema, ever\\\" was 18.3% in 6- to 7-year-olds, 21.6% in 9- to 10-year-olds, and 18.8% in 12- to 13-year-olds. The prevalence of \\\"AD diagnosis, ever\\\" in 6- to 7-year-olds rose from 20.9% in 1995 to 35.4% in 2010, then dropped to 13.6% in 2022 (<i>P</i> < 0.001), while in 12- to 13-year-olds, it increased from 7.1% in 1995 to 23.7% in 2010, then declined to 17.5% in 2022 (<i>P</i> < 0.001). In 6- to 7-year-olds, the prevalence of \\\"AD only\\\" and \\\"AD and asthma\\\" decreased between 1995 and 2022 (all <i>P</i> < 0.001). In 12- to 13-year-olds, the prevalence of \\\"AD only,\\\" \\\"AD and rhinitis,\\\" and \\\"AD and asthma and rhinitis\\\" all increased during the same period (all <i>P</i> < 0.001).</p><p><strong>Conclusions: </strong>The prevalence of AD decreased in Korean children aged 6-7 years and increased in those aged 12-13 years, respectively, between 1995 and 2022, with a concomitant rise in allergic comorbidities among adolescents, suggesting age-dependent trends influenced by diverse AD phenotypes.</p>\",\"PeriodicalId\":7547,\"journal\":{\"name\":\"Allergy, Asthma & Immunology Research\",\"volume\":\"17 4\",\"pages\":\"505-518\"},\"PeriodicalIF\":4.3000,\"publicationDate\":\"2025-07-01\",\"publicationTypes\":\"Journal Article\",\"fieldsOfStudy\":null,\"isOpenAccess\":false,\"openAccessPdf\":\"https://www.ncbi.nlm.nih.gov/pmc/articles/PMC12318800/pdf/\",\"citationCount\":\"0\",\"resultStr\":null,\"platform\":\"Semanticscholar\",\"paperid\":null,\"PeriodicalName\":\"Allergy, Asthma & Immunology Research\",\"FirstCategoryId\":\"3\",\"ListUrlMain\":\"https://doi.org/10.4168/aair.2025.17.4.505\",\"RegionNum\":2,\"RegionCategory\":\"医学\",\"ArticlePicture\":[],\"TitleCN\":null,\"AbstractTextCN\":null,\"PMCID\":null,\"EPubDate\":\"\",\"PubModel\":\"\",\"JCR\":\"Q2\",\"JCRName\":\"ALLERGY\",\"Score\":null,\"Total\":0}","platform":"Semanticscholar","paperid":null,"PeriodicalName":"Allergy, Asthma & Immunology Research","FirstCategoryId":"3","ListUrlMain":"https://doi.org/10.4168/aair.2025.17.4.505","RegionNum":2,"RegionCategory":"医学","ArticlePicture":[],"TitleCN":null,"AbstractTextCN":null,"PMCID":null,"EPubDate":"","PubModel":"","JCR":"Q2","JCRName":"ALLERGY","Score":null,"Total":0}
引用次数: 0

摘要

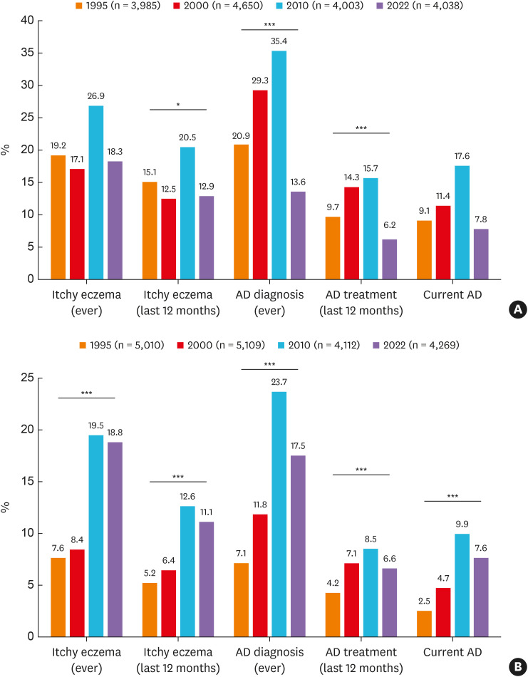
目的:我们旨在调查2022年韩国儿童特应性皮炎(AD)的患病率及其相关危险因素,并将我们的研究结果与之前的结果进行比较,以确定随时间的变化或趋势。方法:在全国范围内随机选取6-7岁、9-10岁和12-13岁的学童进行横断面研究。通过国际儿童哮喘和过敏研究问卷获得信息,并使用趋势检验对1995年、2000年和2010年进行的当前调查和以前的调查进行比较。结果:在2022年的调查中,6- 7岁儿童“曾经有过瘙痒性湿疹”的患病率为18.3%,9- 10岁为21.6%,12- 13岁为18.8%。6 ~ 7岁“曾经诊断为AD”的患病率从1995年的20.9%上升到2010年的35.4%,然后下降到2022年的13.6% (P < 0.001); 12 ~ 13岁的患病率从1995年的7.1%上升到2010年的23.7%,然后下降到2022年的17.5% (P < 0.001)。在6- 7岁儿童中,“单纯AD”和“AD合并哮喘”的患病率在1995年至2022年间下降(均P < 0.001)。在12- 13岁年龄组中,“单纯AD”、“AD合并鼻炎”和“AD合并哮喘和鼻炎”的患病率同期均有所增加(均P < 0.001)。结论:1995年至2022年间,韩国6-7岁儿童AD患病率下降,12-13岁儿童AD患病率上升,同时青少年过敏合并症发生率上升,提示不同AD表型影响年龄依赖性趋势。
本文章由计算机程序翻译,如有差异,请以英文原文为准。

Prevalence and Comorbidities of Atopic Dermatitis in Korean Children and Adolescents From 1995 to 2022: A Population-Based Study.

Prevalence and Comorbidities of Atopic Dermatitis in Korean Children and Adolescents From 1995 to 2022: A Population-Based Study.

Prevalence and Comorbidities of Atopic Dermatitis in Korean Children and Adolescents From 1995 to 2022: A Population-Based Study.

Prevalence and Comorbidities of Atopic Dermatitis in Korean Children and Adolescents From 1995 to 2022: A Population-Based Study.

Purpose: We aimed to investigate the prevalence of atopic dermatitis (AD) and its associated risk factors in Korean children in 2022, and to compare to our findings with previous results to identify changes or trends over time.

Methods: A nationwide, cross-sectional study of randomly selected schoolchildren aged 6-7, 9-10, and 12-13 years, respectively, was completed. Information was obtained through the International Study of Asthma and Allergies in Childhood questionnaire, and comparisons between the current and prior surveys performed in 1995, 2000, and 2010 were conducted using a trend test.

Results: In the 2022 survey, the prevalence of "itchy eczema, ever" was 18.3% in 6- to 7-year-olds, 21.6% in 9- to 10-year-olds, and 18.8% in 12- to 13-year-olds. The prevalence of "AD diagnosis, ever" in 6- to 7-year-olds rose from 20.9% in 1995 to 35.4% in 2010, then dropped to 13.6% in 2022 (P < 0.001), while in 12- to 13-year-olds, it increased from 7.1% in 1995 to 23.7% in 2010, then declined to 17.5% in 2022 (P < 0.001). In 6- to 7-year-olds, the prevalence of "AD only" and "AD and asthma" decreased between 1995 and 2022 (all P < 0.001). In 12- to 13-year-olds, the prevalence of "AD only," "AD and rhinitis," and "AD and asthma and rhinitis" all increased during the same period (all P < 0.001).

Conclusions: The prevalence of AD decreased in Korean children aged 6-7 years and increased in those aged 12-13 years, respectively, between 1995 and 2022, with a concomitant rise in allergic comorbidities among adolescents, suggesting age-dependent trends influenced by diverse AD phenotypes.

求助全文
通过发布文献求助,成功后即可免费获取论文全文。 去求助
来源期刊
CiteScore
6.10
自引率
6.80%
发文量
53
审稿时长
>12 weeks
期刊介绍: The journal features cutting-edge original research, brief communications, and state-of-the-art reviews in the specialties of allergy, asthma, and immunology, including clinical and experimental studies and instructive case reports. Contemporary reviews summarize information on topics for researchers and physicians in the fields of allergy and immunology. As of January 2017, AAIR do not accept case reports. However, if it is a clinically important case, authors can submit it in the form of letter to the Editor. Editorials and letters to the Editor explore controversial issues and encourage further discussion among physicians dealing with allergy, immunology, pediatric respirology, and related medical fields. AAIR also features topics in practice and management and recent advances in equipment and techniques for clinicians concerned with clinical manifestations of allergies and pediatric respiratory diseases.
×
引用
GB/T 7714-2015
复制
MLA
复制
APA
复制
导出至
BibTeX EndNote RefMan NoteFirst NoteExpress
×
提示
您的信息不完整,为了账户安全,请先补充。
现在去补充
×
提示
您因"违规操作"
具体请查看互助需知
我知道了
×
提示
确定
请完成安全验证×
copy
已复制链接
快去分享给好友吧!
我知道了
右上角分享
点击右上角分享
0
联系我们:info@booksci.cn Book学术提供免费学术资源搜索服务,方便国内外学者检索中英文文献。致力于提供最便捷和优质的服务体验。 Copyright © 2023 布克学术 All rights reserved.
京ICP备2023020795号-1
ghs 京公网安备 11010802042870号
Book学术文献互助
Book学术文献互助群
群 号:604180095
Book学术官方微信