城市森林真菌微生物群多样性降低哮喘和过敏性炎症。

IF 4.3 2区 医学 Q2 ALLERGY
Wonsuck Yoon, Yongsung Park, Soonhyun Kwon, Changhak Han, Seunghyun Kim, Young June Choe, Jue Seong Lee, Young Yoo
{"title":"城市森林真菌微生物群多样性降低哮喘和过敏性炎症。","authors":"Wonsuck Yoon, Yongsung Park, Soonhyun Kwon, Changhak Han, Seunghyun Kim, Young June Choe, Jue Seong Lee, Young Yoo","doi":"10.4168/aair.2025.17.4.460","DOIUrl":null,"url":null,"abstract":"<p><strong>Purpose: </strong>Recent attention has been directed toward understanding how exposure to green areas in residential urban environments can impact asthma morbidity. Limited and inconsistent results have explored the link between exposure to greenness and asthma, highlighting the need for further research in this area. We analyzed airborne fungal microbiomes from urban forests and urban centers to better understand how airborne microorganisms affect asthma and allergic inflammatory responses.</p><p><strong>Methods: </strong>Fungi were isolated from air samples collected from 25 urban forests and 4 urban centers in Seoul Metropolitan City, and the diversity of fungal microbiomes was analyzed. The number of asthma episodes in each district in Seoul Metropolitan City was examined using data from the National Health Insurance. Allergic inflammatory responses of fungi from the urban forests and urban centers were measured using human mast cells (HMC-1) and an experimental asthma animal model.</p><p><strong>Results: </strong>Fungal microbiome diversity in urban forests was significantly higher than in urban centers. A significant inverse correlation was observed between the number of urban forests per each district and asthma episodes among residents. Allergic inflammation in the activated HMC-1 cells and lungs of the asthma animal model was significantly suppressed by the fungal strains isolated from the urban forest samples compared to those from the urban centers.</p><p><strong>Conclusions: </strong>Fungal microbiome diversity, particularly from the urban forests, plays a role in reducing asthma morbidity and can modulate allergic inflammation. Residential proximity to urban forests was positively associated with current asthma, potentially indicating a role in reducing allergic inflammation through the diversity of the fungal microbial flora. These findings support the increasing public recognition of urban forest as an essential component of health-supportive environments.</p>","PeriodicalId":7547,"journal":{"name":"Allergy, Asthma & Immunology Research","volume":"17 4","pages":"460-472"},"PeriodicalIF":4.3000,"publicationDate":"2025-07-01","publicationTypes":"Journal Article","fieldsOfStudy":null,"isOpenAccess":false,"openAccessPdf":"https://www.ncbi.nlm.nih.gov/pmc/articles/PMC12318802/pdf/","citationCount":"0","resultStr":"{\"title\":\"Fungal Microbiome Diversity in Urban Forest Decreases Asthma and Allergic Inflammation.\",\"authors\":\"Wonsuck Yoon, Yongsung Park, Soonhyun Kwon, Changhak Han, Seunghyun Kim, Young June Choe, Jue Seong Lee, Young Yoo\",\"doi\":\"10.4168/aair.2025.17.4.460\",\"DOIUrl\":null,\"url\":null,\"abstract\":\"<p><strong>Purpose: </strong>Recent attention has been directed toward understanding how exposure to green areas in residential urban environments can impact asthma morbidity. Limited and inconsistent results have explored the link between exposure to greenness and asthma, highlighting the need for further research in this area. We analyzed airborne fungal microbiomes from urban forests and urban centers to better understand how airborne microorganisms affect asthma and allergic inflammatory responses.</p><p><strong>Methods: </strong>Fungi were isolated from air samples collected from 25 urban forests and 4 urban centers in Seoul Metropolitan City, and the diversity of fungal microbiomes was analyzed. The number of asthma episodes in each district in Seoul Metropolitan City was examined using data from the National Health Insurance. Allergic inflammatory responses of fungi from the urban forests and urban centers were measured using human mast cells (HMC-1) and an experimental asthma animal model.</p><p><strong>Results: </strong>Fungal microbiome diversity in urban forests was significantly higher than in urban centers. A significant inverse correlation was observed between the number of urban forests per each district and asthma episodes among residents. Allergic inflammation in the activated HMC-1 cells and lungs of the asthma animal model was significantly suppressed by the fungal strains isolated from the urban forest samples compared to those from the urban centers.</p><p><strong>Conclusions: </strong>Fungal microbiome diversity, particularly from the urban forests, plays a role in reducing asthma morbidity and can modulate allergic inflammation. Residential proximity to urban forests was positively associated with current asthma, potentially indicating a role in reducing allergic inflammation through the diversity of the fungal microbial flora. These findings support the increasing public recognition of urban forest as an essential component of health-supportive environments.</p>\",\"PeriodicalId\":7547,\"journal\":{\"name\":\"Allergy, Asthma & Immunology Research\",\"volume\":\"17 4\",\"pages\":\"460-472\"},\"PeriodicalIF\":4.3000,\"publicationDate\":\"2025-07-01\",\"publicationTypes\":\"Journal Article\",\"fieldsOfStudy\":null,\"isOpenAccess\":false,\"openAccessPdf\":\"https://www.ncbi.nlm.nih.gov/pmc/articles/PMC12318802/pdf/\",\"citationCount\":\"0\",\"resultStr\":null,\"platform\":\"Semanticscholar\",\"paperid\":null,\"PeriodicalName\":\"Allergy, Asthma & Immunology Research\",\"FirstCategoryId\":\"3\",\"ListUrlMain\":\"https://doi.org/10.4168/aair.2025.17.4.460\",\"RegionNum\":2,\"RegionCategory\":\"医学\",\"ArticlePicture\":[],\"TitleCN\":null,\"AbstractTextCN\":null,\"PMCID\":null,\"EPubDate\":\"\",\"PubModel\":\"\",\"JCR\":\"Q2\",\"JCRName\":\"ALLERGY\",\"Score\":null,\"Total\":0}","platform":"Semanticscholar","paperid":null,"PeriodicalName":"Allergy, Asthma & Immunology Research","FirstCategoryId":"3","ListUrlMain":"https://doi.org/10.4168/aair.2025.17.4.460","RegionNum":2,"RegionCategory":"医学","ArticlePicture":[],"TitleCN":null,"AbstractTextCN":null,"PMCID":null,"EPubDate":"","PubModel":"","JCR":"Q2","JCRName":"ALLERGY","Score":null,"Total":0}
引用次数: 0

摘要

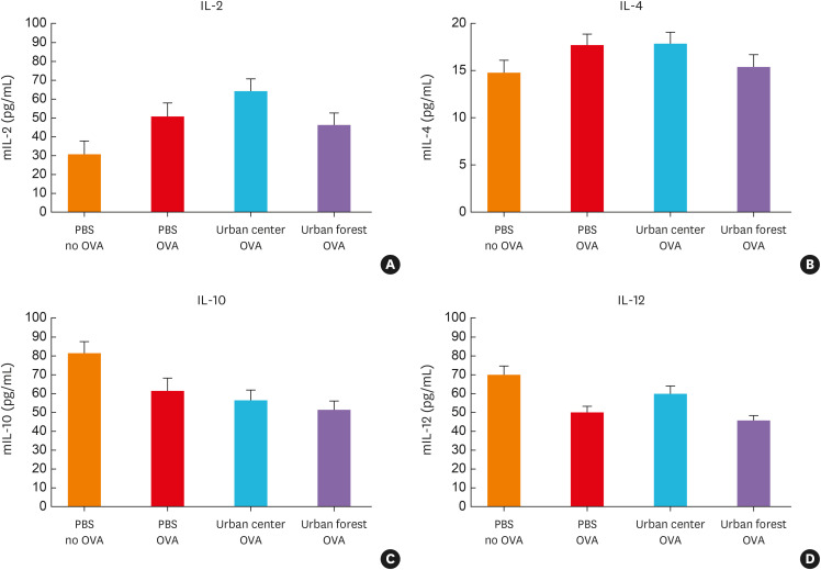
目的:最近人们的注意力集中在了解城市居住环境中的绿地暴露如何影响哮喘发病率。有限和不一致的结果已经探索了接触绿色和哮喘之间的联系,突出了在这一领域进一步研究的必要性。我们分析了来自城市森林和城市中心的空气中的真菌微生物群,以更好地了解空气中的微生物如何影响哮喘和过敏性炎症反应。方法:从首尔市25个城市森林和4个城市中心采集的空气样品中分离真菌,并对真菌微生物组的多样性进行分析。利用国民健康保险的数据,对首尔市各区的哮喘发作次数进行了调查。利用人类肥大细胞(HMC-1)和实验性哮喘动物模型测量了来自城市森林和城市中心的真菌的过敏性炎症反应。结果:城市森林真菌菌群多样性显著高于城市中心。每个地区的城市森林数量与居民哮喘发病率呈显著负相关。与城市中心相比,从城市森林中分离的真菌菌株显著抑制了哮喘动物模型中活化的HMC-1细胞和肺部的变应性炎症。结论:真菌微生物群多样性,特别是来自城市森林的真菌微生物群多样性,在降低哮喘发病率和调节过敏性炎症方面发挥作用。住宅靠近城市森林与当前哮喘呈正相关,可能表明通过真菌微生物菌群的多样性在减少过敏性炎症方面发挥作用。这些发现支持公众日益认识到城市森林是有利于健康的环境的重要组成部分。
本文章由计算机程序翻译,如有差异,请以英文原文为准。

Fungal Microbiome Diversity in Urban Forest Decreases Asthma and Allergic Inflammation.

Fungal Microbiome Diversity in Urban Forest Decreases Asthma and Allergic Inflammation.

Fungal Microbiome Diversity in Urban Forest Decreases Asthma and Allergic Inflammation.

Fungal Microbiome Diversity in Urban Forest Decreases Asthma and Allergic Inflammation.

Purpose: Recent attention has been directed toward understanding how exposure to green areas in residential urban environments can impact asthma morbidity. Limited and inconsistent results have explored the link between exposure to greenness and asthma, highlighting the need for further research in this area. We analyzed airborne fungal microbiomes from urban forests and urban centers to better understand how airborne microorganisms affect asthma and allergic inflammatory responses.

Methods: Fungi were isolated from air samples collected from 25 urban forests and 4 urban centers in Seoul Metropolitan City, and the diversity of fungal microbiomes was analyzed. The number of asthma episodes in each district in Seoul Metropolitan City was examined using data from the National Health Insurance. Allergic inflammatory responses of fungi from the urban forests and urban centers were measured using human mast cells (HMC-1) and an experimental asthma animal model.

Results: Fungal microbiome diversity in urban forests was significantly higher than in urban centers. A significant inverse correlation was observed between the number of urban forests per each district and asthma episodes among residents. Allergic inflammation in the activated HMC-1 cells and lungs of the asthma animal model was significantly suppressed by the fungal strains isolated from the urban forest samples compared to those from the urban centers.

Conclusions: Fungal microbiome diversity, particularly from the urban forests, plays a role in reducing asthma morbidity and can modulate allergic inflammation. Residential proximity to urban forests was positively associated with current asthma, potentially indicating a role in reducing allergic inflammation through the diversity of the fungal microbial flora. These findings support the increasing public recognition of urban forest as an essential component of health-supportive environments.

求助全文
通过发布文献求助,成功后即可免费获取论文全文。 去求助
来源期刊
CiteScore
6.10
自引率
6.80%
发文量
53
审稿时长
>12 weeks
期刊介绍: The journal features cutting-edge original research, brief communications, and state-of-the-art reviews in the specialties of allergy, asthma, and immunology, including clinical and experimental studies and instructive case reports. Contemporary reviews summarize information on topics for researchers and physicians in the fields of allergy and immunology. As of January 2017, AAIR do not accept case reports. However, if it is a clinically important case, authors can submit it in the form of letter to the Editor. Editorials and letters to the Editor explore controversial issues and encourage further discussion among physicians dealing with allergy, immunology, pediatric respirology, and related medical fields. AAIR also features topics in practice and management and recent advances in equipment and techniques for clinicians concerned with clinical manifestations of allergies and pediatric respiratory diseases.
×
引用
GB/T 7714-2015
复制
MLA
复制
APA
复制
导出至
BibTeX EndNote RefMan NoteFirst NoteExpress
×
提示
您的信息不完整,为了账户安全,请先补充。
现在去补充
×
提示
您因"违规操作"
具体请查看互助需知
我知道了
×
提示
确定
请完成安全验证×
copy
已复制链接
快去分享给好友吧!
我知道了
右上角分享
点击右上角分享
0
联系我们:info@booksci.cn Book学术提供免费学术资源搜索服务,方便国内外学者检索中英文文献。致力于提供最便捷和优质的服务体验。 Copyright © 2023 布克学术 All rights reserved.
京ICP备2023020795号-1
ghs 京公网安备 11010802042870号
Book学术文献互助
Book学术文献互助群
群 号:604180095
Book学术官方微信