儿童实体器官移植后多种用药的用药和风险——一项全国登记研究

IF 1.9 4区 医学 Q2 SURGERY
Rebekka Salonen, Kira Endén, Mikael Koskela, Kirsi Jahnukainen, Atte Nikkilä, Timo Jahnukainen
{"title":"儿童实体器官移植后多种用药的用药和风险——一项全国登记研究","authors":"Rebekka Salonen,&nbsp;Kira Endén,&nbsp;Mikael Koskela,&nbsp;Kirsi Jahnukainen,&nbsp;Atte Nikkilä,&nbsp;Timo Jahnukainen","doi":"10.1111/ctr.70256","DOIUrl":null,"url":null,"abstract":"<div>\n \n \n <section>\n \n <h3> Background</h3>\n \n <p>Solid organ transplant (SOT) recipients are at risk for long-term comorbidities and polypharmacy, potentially affecting quality of life. This study assessed the prevalence of chronic medication use among young adults following pediatric SOT.</p>\n </section>\n \n <section>\n \n <h3> Methods</h3>\n \n <p>We included 215 individuals in Finland who underwent kidney (<i>n</i> = 135), liver (<i>n</i> = 41), or heart (<i>n</i> = 39) transplantation before age 16 between 1982 and 2015 and were ≥18 years at follow-up. Age, sex, and hometown-matched controls (<i>n</i> = 1067) were selected from the Finnish Population Information System. The analyses involved data on prescription drug purchases and reimbursements for chronic conditions derived from the registry of Social Insurance Institution, which covers all prescription medicine purchases in Finland.</p>\n </section>\n \n <section>\n \n <h3> Results</h3>\n \n <p>The SOT recipients had an average of 1.53 reimbursed chronic conditions beyond immunosuppression (median follow-up time:18.0 years, IQR 11.0–23.0), with the highest burden among kidney and lowest among liver transplant recipients. Compared to controls, SOT recipients had significantly more reimbursement for cardiovascular diseases, hormonal deficiencies, and epilepsy (<i>p</i> &lt; 0.001). Kidney transplant recipients had a significantly higher risk of cardiovascular-related reimbursements than liver transplant group (<i>p</i> &lt; 0.001); no significant differences were observed between the transplant groups for other conditions.</p>\n </section>\n \n <section>\n \n <h3> Conclusions</h3>\n \n <p>Young adults after pediatric SOT had an elevated need for chronic disease medications, with the highest burden observed in kidney transplant recipients and the lowest in liver transplant recipients. These findings highlight the importance of long-term follow-up and individualized transitional care to address multimorbidity and support quality of life.</p>\n </section>\n </div>","PeriodicalId":10467,"journal":{"name":"Clinical Transplantation","volume":"39 8","pages":""},"PeriodicalIF":1.9000,"publicationDate":"2025-07-31","publicationTypes":"Journal Article","fieldsOfStudy":null,"isOpenAccess":false,"openAccessPdf":"https://onlinelibrary.wiley.com/doi/epdf/10.1111/ctr.70256","citationCount":"0","resultStr":"{\"title\":\"Drug Usage and Risk for Polypharmacy After Pediatric Solid Organ Transplantation—A National Register Study\",\"authors\":\"Rebekka Salonen,&nbsp;Kira Endén,&nbsp;Mikael Koskela,&nbsp;Kirsi Jahnukainen,&nbsp;Atte Nikkilä,&nbsp;Timo Jahnukainen\",\"doi\":\"10.1111/ctr.70256\",\"DOIUrl\":null,\"url\":null,\"abstract\":\"<div>\\n \\n \\n <section>\\n \\n <h3> Background</h3>\\n \\n <p>Solid organ transplant (SOT) recipients are at risk for long-term comorbidities and polypharmacy, potentially affecting quality of life. This study assessed the prevalence of chronic medication use among young adults following pediatric SOT.</p>\\n </section>\\n \\n <section>\\n \\n <h3> Methods</h3>\\n \\n <p>We included 215 individuals in Finland who underwent kidney (<i>n</i> = 135), liver (<i>n</i> = 41), or heart (<i>n</i> = 39) transplantation before age 16 between 1982 and 2015 and were ≥18 years at follow-up. Age, sex, and hometown-matched controls (<i>n</i> = 1067) were selected from the Finnish Population Information System. The analyses involved data on prescription drug purchases and reimbursements for chronic conditions derived from the registry of Social Insurance Institution, which covers all prescription medicine purchases in Finland.</p>\\n </section>\\n \\n <section>\\n \\n <h3> Results</h3>\\n \\n <p>The SOT recipients had an average of 1.53 reimbursed chronic conditions beyond immunosuppression (median follow-up time:18.0 years, IQR 11.0–23.0), with the highest burden among kidney and lowest among liver transplant recipients. Compared to controls, SOT recipients had significantly more reimbursement for cardiovascular diseases, hormonal deficiencies, and epilepsy (<i>p</i> &lt; 0.001). Kidney transplant recipients had a significantly higher risk of cardiovascular-related reimbursements than liver transplant group (<i>p</i> &lt; 0.001); no significant differences were observed between the transplant groups for other conditions.</p>\\n </section>\\n \\n <section>\\n \\n <h3> Conclusions</h3>\\n \\n <p>Young adults after pediatric SOT had an elevated need for chronic disease medications, with the highest burden observed in kidney transplant recipients and the lowest in liver transplant recipients. These findings highlight the importance of long-term follow-up and individualized transitional care to address multimorbidity and support quality of life.</p>\\n </section>\\n </div>\",\"PeriodicalId\":10467,\"journal\":{\"name\":\"Clinical Transplantation\",\"volume\":\"39 8\",\"pages\":\"\"},\"PeriodicalIF\":1.9000,\"publicationDate\":\"2025-07-31\",\"publicationTypes\":\"Journal Article\",\"fieldsOfStudy\":null,\"isOpenAccess\":false,\"openAccessPdf\":\"https://onlinelibrary.wiley.com/doi/epdf/10.1111/ctr.70256\",\"citationCount\":\"0\",\"resultStr\":null,\"platform\":\"Semanticscholar\",\"paperid\":null,\"PeriodicalName\":\"Clinical Transplantation\",\"FirstCategoryId\":\"3\",\"ListUrlMain\":\"https://onlinelibrary.wiley.com/doi/10.1111/ctr.70256\",\"RegionNum\":4,\"RegionCategory\":\"医学\",\"ArticlePicture\":[],\"TitleCN\":null,\"AbstractTextCN\":null,\"PMCID\":null,\"EPubDate\":\"\",\"PubModel\":\"\",\"JCR\":\"Q2\",\"JCRName\":\"SURGERY\",\"Score\":null,\"Total\":0}","platform":"Semanticscholar","paperid":null,"PeriodicalName":"Clinical Transplantation","FirstCategoryId":"3","ListUrlMain":"https://onlinelibrary.wiley.com/doi/10.1111/ctr.70256","RegionNum":4,"RegionCategory":"医学","ArticlePicture":[],"TitleCN":null,"AbstractTextCN":null,"PMCID":null,"EPubDate":"","PubModel":"","JCR":"Q2","JCRName":"SURGERY","Score":null,"Total":0}
引用次数: 0

摘要

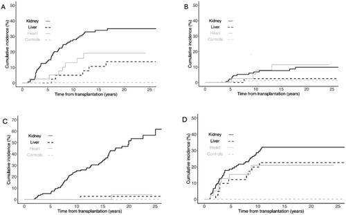
背景:实体器官移植(SOT)受者存在长期合并症和多重用药的风险,可能影响生活质量。本研究评估了儿童SOT后年轻人慢性药物使用的患病率。方法:我们纳入了芬兰215例患者,这些患者在1982年至2015年期间在16岁之前接受了肾脏(n = 135)、肝脏(n = 41)或心脏(n = 39)移植,随访时间≥18年。从芬兰人口信息系统中选择年龄、性别和家乡匹配的对照组(n = 1067)。这些分析涉及来自社会保险机构登记处的关于处方药购买和慢性病报销的数据,其中包括芬兰所有处方药购买。结果SOT受者平均有1.53例免疫抑制以外的慢性疾病报销(中位随访时间:18.0年,IQR为11.0 ~ 23.0年),肾移植受者负担最重,肝移植受者负担最低。与对照组相比,接受SOT治疗的人在心血管疾病、激素缺乏和癫痫方面的报销明显更多(p <;0.001)。肾移植受者心血管相关报销的风险明显高于肝移植组(p <;0.001);其他情况的移植组间无显著差异。结论:儿童SOT后青壮年对慢性疾病药物的需求增加,肾移植患者负担最重,肝移植患者负担最低。这些发现强调了长期随访和个性化过渡护理的重要性,以解决多病和支持生活质量。
本文章由计算机程序翻译,如有差异,请以英文原文为准。

Drug Usage and Risk for Polypharmacy After Pediatric Solid Organ Transplantation—A National Register Study

Drug Usage and Risk for Polypharmacy After Pediatric Solid Organ Transplantation—A National Register Study

Background

Solid organ transplant (SOT) recipients are at risk for long-term comorbidities and polypharmacy, potentially affecting quality of life. This study assessed the prevalence of chronic medication use among young adults following pediatric SOT.

Methods

We included 215 individuals in Finland who underwent kidney (n = 135), liver (n = 41), or heart (n = 39) transplantation before age 16 between 1982 and 2015 and were ≥18 years at follow-up. Age, sex, and hometown-matched controls (n = 1067) were selected from the Finnish Population Information System. The analyses involved data on prescription drug purchases and reimbursements for chronic conditions derived from the registry of Social Insurance Institution, which covers all prescription medicine purchases in Finland.

Results

The SOT recipients had an average of 1.53 reimbursed chronic conditions beyond immunosuppression (median follow-up time:18.0 years, IQR 11.0–23.0), with the highest burden among kidney and lowest among liver transplant recipients. Compared to controls, SOT recipients had significantly more reimbursement for cardiovascular diseases, hormonal deficiencies, and epilepsy (p < 0.001). Kidney transplant recipients had a significantly higher risk of cardiovascular-related reimbursements than liver transplant group (p < 0.001); no significant differences were observed between the transplant groups for other conditions.

Conclusions

Young adults after pediatric SOT had an elevated need for chronic disease medications, with the highest burden observed in kidney transplant recipients and the lowest in liver transplant recipients. These findings highlight the importance of long-term follow-up and individualized transitional care to address multimorbidity and support quality of life.

求助全文
通过发布文献求助,成功后即可免费获取论文全文。 去求助
来源期刊
Clinical Transplantation
Clinical Transplantation 医学-外科
CiteScore
3.70
自引率
4.80%
发文量
286
审稿时长
2 months
期刊介绍: Clinical Transplantation: The Journal of Clinical and Translational Research aims to serve as a channel of rapid communication for all those involved in the care of patients who require, or have had, organ or tissue transplants, including: kidney, intestine, liver, pancreas, islets, heart, heart valves, lung, bone marrow, cornea, skin, bone, and cartilage, viable or stored. Published monthly, Clinical Transplantation’s scope is focused on the complete spectrum of present transplant therapies, as well as also those that are experimental or may become possible in future. Topics include: Immunology and immunosuppression; Patient preparation; Social, ethical, and psychological issues; Complications, short- and long-term results; Artificial organs; Donation and preservation of organ and tissue; Translational studies; Advances in tissue typing; Updates on transplant pathology;. Clinical and translational studies are particularly welcome, as well as focused reviews. Full-length papers and short communications are invited. Clinical reviews are encouraged, as well as seminal papers in basic science which might lead to immediate clinical application. Prominence is regularly given to the results of cooperative surveys conducted by the organ and tissue transplant registries. Clinical Transplantation: The Journal of Clinical and Translational Research is essential reading for clinicians and researchers in the diverse field of transplantation: surgeons; clinical immunologists; cryobiologists; hematologists; gastroenterologists; hepatologists; pulmonologists; nephrologists; cardiologists; and endocrinologists. It will also be of interest to sociologists, psychologists, research workers, and to all health professionals whose combined efforts will improve the prognosis of transplant recipients.
×
引用
GB/T 7714-2015
复制
MLA
复制
APA
复制
导出至
BibTeX EndNote RefMan NoteFirst NoteExpress
×
提示
您的信息不完整,为了账户安全,请先补充。
现在去补充
×
提示
您因"违规操作"
具体请查看互助需知
我知道了
×
提示
确定
请完成安全验证×
copy
已复制链接
快去分享给好友吧!
我知道了
右上角分享
点击右上角分享
0
联系我们:info@booksci.cn Book学术提供免费学术资源搜索服务,方便国内外学者检索中英文文献。致力于提供最便捷和优质的服务体验。 Copyright © 2023 布克学术 All rights reserved.
京ICP备2023020795号-1
ghs 京公网安备 11010802042870号
Book学术文献互助
Book学术文献互助群
群 号:604180095
Book学术官方微信