P2Y12抑制剂对冠状动脉搭桥术后主要不良心血管事件的影响:一项基于人群的队列研究

IF 3.4 3区 医学 Q2 PHARMACOLOGY & PHARMACY
Pharmacotherapy Pub Date : 2025-09-01 Epub Date: 2025-07-28 DOI:10.1002/phar.70047
Arden R Barry, Hamed Helisaz, Abdollah Safari, Peter S Loewen
{"title":"P2Y12抑制剂对冠状动脉搭桥术后主要不良心血管事件的影响:一项基于人群的队列研究","authors":"Arden R Barry, Hamed Helisaz, Abdollah Safari, Peter S Loewen","doi":"10.1002/phar.70047","DOIUrl":null,"url":null,"abstract":"<p><strong>Background: </strong>Patients who undergo coronary artery bypass graft (CABG) surgery remain at high risk for major adverse cardiovascular events (MACE) despite contemporary preventive pharmacotherapy. Although commonly used in practice, it is uncertain whether P2Y12 inhibitors reduce MACE in patients post-CABG surgery.</p><p><strong>Methods: </strong>This retrospective, population-based cohort study evaluated the effect of exposure to P2Y12 inhibitors, versus no exposure, on MACE using linked administrative databases that included all cardiac revascularization procedures, hospitalizations, and prescriptions for the population of British Columbia, Canada. All adults who underwent CABG surgery from 2002 to 2020 were eligible. The primary outcome was time to MACE, defined as a composite of all-cause death, nonfatal myocardial infarction, and nonfatal ischemic stroke using Cox proportional hazards models with inverse probability treatment weighting.</p><p><strong>Results: </strong>Included were 15,439 patients. Mean age was 66 years, and 83% were male. Fifty-seven percent had a previous myocardial infarction. Sixteen percent were prescribed a P2Y12 inhibitor (of which, 83% were prescribed clopidogrel) within 30 days of CABG surgery. Median exposure time was 23 months. After probability-weighting and adjustment for relevant covariates, exposure to P2Y12 inhibitors reduced the 1- and 5-year hazard of MACE (hazard ratio [HR] 0.39, 95% confidence interval [CI] 0.27-0.55 and HR 0.65, 95% CI 0.54-0.79, respectively). Exposure to P2Y12 inhibitors was also associated with a lower hazard of all-cause death, cardiovascular death, and an extended MACE outcome that included unstable angina and percutaneous coronary intervention. Adherence to P2Y12 inhibitor therapy, based on the proportion of days covered, did not affect these outcomes.</p><p><strong>Conclusions: </strong>In this population-based cohort study, use of P2Y12 inhibitors reduced the hazard of MACE in patients post-CABG surgery at 1 and 5 years of follow-up. These results support the use of P2Y12 inhibitors (primarily clopidogrel), in addition to other standard cardiovascular preventive therapy, in patients who undergo CABG surgery.</p>","PeriodicalId":20013,"journal":{"name":"Pharmacotherapy","volume":" ","pages":"557-565"},"PeriodicalIF":3.4000,"publicationDate":"2025-09-01","publicationTypes":"Journal Article","fieldsOfStudy":null,"isOpenAccess":false,"openAccessPdf":"https://www.ncbi.nlm.nih.gov/pmc/articles/PMC12424524/pdf/","citationCount":"0","resultStr":"{\"title\":\"Effect of P2Y12 Inhibitors on Major Adverse Cardiovascular Events After Coronary Artery Bypass Graft Surgery: A Population-Based Cohort Study.\",\"authors\":\"Arden R Barry, Hamed Helisaz, Abdollah Safari, Peter S Loewen\",\"doi\":\"10.1002/phar.70047\",\"DOIUrl\":null,\"url\":null,\"abstract\":\"<p><strong>Background: </strong>Patients who undergo coronary artery bypass graft (CABG) surgery remain at high risk for major adverse cardiovascular events (MACE) despite contemporary preventive pharmacotherapy. Although commonly used in practice, it is uncertain whether P2Y12 inhibitors reduce MACE in patients post-CABG surgery.</p><p><strong>Methods: </strong>This retrospective, population-based cohort study evaluated the effect of exposure to P2Y12 inhibitors, versus no exposure, on MACE using linked administrative databases that included all cardiac revascularization procedures, hospitalizations, and prescriptions for the population of British Columbia, Canada. All adults who underwent CABG surgery from 2002 to 2020 were eligible. The primary outcome was time to MACE, defined as a composite of all-cause death, nonfatal myocardial infarction, and nonfatal ischemic stroke using Cox proportional hazards models with inverse probability treatment weighting.</p><p><strong>Results: </strong>Included were 15,439 patients. Mean age was 66 years, and 83% were male. Fifty-seven percent had a previous myocardial infarction. Sixteen percent were prescribed a P2Y12 inhibitor (of which, 83% were prescribed clopidogrel) within 30 days of CABG surgery. Median exposure time was 23 months. After probability-weighting and adjustment for relevant covariates, exposure to P2Y12 inhibitors reduced the 1- and 5-year hazard of MACE (hazard ratio [HR] 0.39, 95% confidence interval [CI] 0.27-0.55 and HR 0.65, 95% CI 0.54-0.79, respectively). Exposure to P2Y12 inhibitors was also associated with a lower hazard of all-cause death, cardiovascular death, and an extended MACE outcome that included unstable angina and percutaneous coronary intervention. Adherence to P2Y12 inhibitor therapy, based on the proportion of days covered, did not affect these outcomes.</p><p><strong>Conclusions: </strong>In this population-based cohort study, use of P2Y12 inhibitors reduced the hazard of MACE in patients post-CABG surgery at 1 and 5 years of follow-up. These results support the use of P2Y12 inhibitors (primarily clopidogrel), in addition to other standard cardiovascular preventive therapy, in patients who undergo CABG surgery.</p>\",\"PeriodicalId\":20013,\"journal\":{\"name\":\"Pharmacotherapy\",\"volume\":\" \",\"pages\":\"557-565\"},\"PeriodicalIF\":3.4000,\"publicationDate\":\"2025-09-01\",\"publicationTypes\":\"Journal Article\",\"fieldsOfStudy\":null,\"isOpenAccess\":false,\"openAccessPdf\":\"https://www.ncbi.nlm.nih.gov/pmc/articles/PMC12424524/pdf/\",\"citationCount\":\"0\",\"resultStr\":null,\"platform\":\"Semanticscholar\",\"paperid\":null,\"PeriodicalName\":\"Pharmacotherapy\",\"FirstCategoryId\":\"3\",\"ListUrlMain\":\"https://doi.org/10.1002/phar.70047\",\"RegionNum\":3,\"RegionCategory\":\"医学\",\"ArticlePicture\":[],\"TitleCN\":null,\"AbstractTextCN\":null,\"PMCID\":null,\"EPubDate\":\"2025/7/28 0:00:00\",\"PubModel\":\"Epub\",\"JCR\":\"Q2\",\"JCRName\":\"PHARMACOLOGY & PHARMACY\",\"Score\":null,\"Total\":0}","platform":"Semanticscholar","paperid":null,"PeriodicalName":"Pharmacotherapy","FirstCategoryId":"3","ListUrlMain":"https://doi.org/10.1002/phar.70047","RegionNum":3,"RegionCategory":"医学","ArticlePicture":[],"TitleCN":null,"AbstractTextCN":null,"PMCID":null,"EPubDate":"2025/7/28 0:00:00","PubModel":"Epub","JCR":"Q2","JCRName":"PHARMACOLOGY & PHARMACY","Score":null,"Total":0}
引用次数: 0

摘要

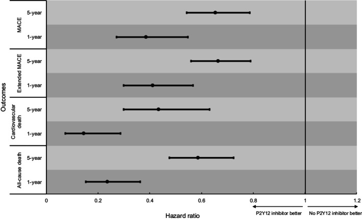
背景:接受冠状动脉搭桥术(CABG)手术的患者,尽管采用了现代预防性药物治疗,但发生主要不良心血管事件(MACE)的风险仍然很高。尽管P2Y12抑制剂在实践中被广泛使用,但尚不确定P2Y12抑制剂是否能降低cabg术后患者的MACE。方法:这项基于人群的回顾性队列研究评估了P2Y12抑制剂暴露与未暴露对MACE的影响,使用相关的管理数据库,包括加拿大不列颠哥伦比亚省人群的所有心脏血管重建术、住院和处方。所有从2002年到2020年接受CABG手术的成年人都符合条件。主要终点是到达MACE的时间,定义为全因死亡、非致死性心肌梗死和非致死性缺血性卒中的综合指标,采用Cox比例风险模型和反概率治疗加权。结果:纳入15439例患者。平均年龄66岁,83%为男性。57%的人以前有过心肌梗塞。16%的患者在CABG手术后30天内服用P2Y12抑制剂(其中83%服用氯吡格雷)。中位暴露时间为23个月。在对相关协变量进行概率加权和调整后,暴露于P2Y12抑制剂降低了MACE的1年和5年风险(风险比[HR] 0.39, 95%可信区间[CI] 0.27-0.55;风险比[HR] 0.65, 95%可信区间[CI] 0.54-0.79)。暴露于P2Y12抑制剂也与全因死亡、心血管死亡和延长MACE结局(包括不稳定心绞痛和经皮冠状动脉介入治疗)的风险降低有关。根据覆盖天数的比例,坚持P2Y12抑制剂治疗对这些结果没有影响。结论:在这项基于人群的队列研究中,在1年和5年的随访中,使用P2Y12抑制剂降低了cabg术后患者MACE的风险。这些结果支持在接受CABG手术的患者中使用P2Y12抑制剂(主要是氯吡格雷),以及其他标准的心血管预防治疗。
本文章由计算机程序翻译,如有差异,请以英文原文为准。

Effect of P2Y12 Inhibitors on Major Adverse Cardiovascular Events After Coronary Artery Bypass Graft Surgery: A Population-Based Cohort Study.

Effect of P2Y12 Inhibitors on Major Adverse Cardiovascular Events After Coronary Artery Bypass Graft Surgery: A Population-Based Cohort Study.

Effect of P2Y12 Inhibitors on Major Adverse Cardiovascular Events After Coronary Artery Bypass Graft Surgery: A Population-Based Cohort Study.

Background: Patients who undergo coronary artery bypass graft (CABG) surgery remain at high risk for major adverse cardiovascular events (MACE) despite contemporary preventive pharmacotherapy. Although commonly used in practice, it is uncertain whether P2Y12 inhibitors reduce MACE in patients post-CABG surgery.

Methods: This retrospective, population-based cohort study evaluated the effect of exposure to P2Y12 inhibitors, versus no exposure, on MACE using linked administrative databases that included all cardiac revascularization procedures, hospitalizations, and prescriptions for the population of British Columbia, Canada. All adults who underwent CABG surgery from 2002 to 2020 were eligible. The primary outcome was time to MACE, defined as a composite of all-cause death, nonfatal myocardial infarction, and nonfatal ischemic stroke using Cox proportional hazards models with inverse probability treatment weighting.

Results: Included were 15,439 patients. Mean age was 66 years, and 83% were male. Fifty-seven percent had a previous myocardial infarction. Sixteen percent were prescribed a P2Y12 inhibitor (of which, 83% were prescribed clopidogrel) within 30 days of CABG surgery. Median exposure time was 23 months. After probability-weighting and adjustment for relevant covariates, exposure to P2Y12 inhibitors reduced the 1- and 5-year hazard of MACE (hazard ratio [HR] 0.39, 95% confidence interval [CI] 0.27-0.55 and HR 0.65, 95% CI 0.54-0.79, respectively). Exposure to P2Y12 inhibitors was also associated with a lower hazard of all-cause death, cardiovascular death, and an extended MACE outcome that included unstable angina and percutaneous coronary intervention. Adherence to P2Y12 inhibitor therapy, based on the proportion of days covered, did not affect these outcomes.

Conclusions: In this population-based cohort study, use of P2Y12 inhibitors reduced the hazard of MACE in patients post-CABG surgery at 1 and 5 years of follow-up. These results support the use of P2Y12 inhibitors (primarily clopidogrel), in addition to other standard cardiovascular preventive therapy, in patients who undergo CABG surgery.

求助全文
通过发布文献求助,成功后即可免费获取论文全文。 去求助
来源期刊
Pharmacotherapy
Pharmacotherapy 医学-药学
CiteScore
7.80
自引率
2.40%
发文量
93
审稿时长
4-8 weeks
期刊介绍: Pharmacotherapy is devoted to publication of original research articles on all aspects of human pharmacology and review articles on drugs and drug therapy. The Editors and Editorial Board invite original research reports on pharmacokinetic, bioavailability, and drug interaction studies, clinical trials, investigations of specific pharmacological properties of drugs, and related topics.
×
引用
GB/T 7714-2015
复制
MLA
复制
APA
复制
导出至
BibTeX EndNote RefMan NoteFirst NoteExpress
×
提示
您的信息不完整,为了账户安全,请先补充。
现在去补充
×
提示
您因"违规操作"
具体请查看互助需知
我知道了
×
提示
确定
请完成安全验证×
copy
已复制链接
快去分享给好友吧!
我知道了
右上角分享
点击右上角分享
0
联系我们:info@booksci.cn Book学术提供免费学术资源搜索服务,方便国内外学者检索中英文文献。致力于提供最便捷和优质的服务体验。 Copyright © 2023 布克学术 All rights reserved.
京ICP备2023020795号-1
ghs 京公网安备 11010802042870号
Book学术文献互助
Book学术文献互助群
群 号:604180095
Book学术官方微信