基于炎症的nomogram预测终末期肾病患者动静脉瘘成熟衰竭的发展与验证

IF 1.8 3区 医学 Q2 SURGERY
Bin Zhao, Gang Fu, Shen Zhan, Lihong Zhang, Rui Cui, Shanshan Guo, Jia Li, Hu Lu, Yuzhu Wang
{"title":"基于炎症的nomogram预测终末期肾病患者动静脉瘘成熟衰竭的发展与验证","authors":"Bin Zhao, Gang Fu, Shen Zhan, Lihong Zhang, Rui Cui, Shanshan Guo, Jia Li, Hu Lu, Yuzhu Wang","doi":"10.1007/s00423-025-03819-0","DOIUrl":null,"url":null,"abstract":"<p><strong>Background and hypothesis: </strong>Arteriovenous fistula (AVF) is regarded as the most effective vascular access for hemodialysis in patients with end-stage renal disease (ESRD).However, research investigating the relationships between the systemic inflammation response index (SIRI), the triglyceride-glucose index combined with body mass index (TyG-BMI), and the high-sensitivity C-reactive protein to albumin ratio (HRR) with AVF maturation is still limited.</p><p><strong>Methods: </strong>We included all ESRD patients undergoing first-time AVF creation between March and August 2024 at Haidian Hospital, Beijing (n = 249). To evaluate predictors of AVF maturation failure, we analyzed preoperative clinical/laboratory data and follow-up ultrasound assessments using restricted cubic spline models for dose-response relationships (SIRI, TyG-BMI, HRR). Multivariable Cox models identified independent risk factors, and a predictive nomogram was developed and validated through C-index and calibration plots.</p><p><strong>Results: </strong>This study included 249 patients (73.5% AVF maturation rate). Restricted cubic spline analysis revealed linear associations between AVF maturation and SIRI (p-overall = 0.047), TyG-BMI (p-overall = 0.039), and HRR (p-overall = 0.026). Multivariable Cox regression identified three independent predictors: SIRI (HR = 1.69, 95%CI:1.45-1.96), TyG-BMI (HR = 2.68, 95%CI:1.62-4.41), and HRR (HR = 1.44, 95%CI:1.28-1.61) (all p < 0.001). The biomarker-based nomogram showed strong predictive accuracy, with calibration curves demonstrating excellent observed-versus-expected agreement.</p><p><strong>Conclusion: </strong>Non-maturation of AVF was independently associated with three inflammation-based biomarkers, namely SIRI, TyG-BMI, and HRR. High predictive accuracy was demonstrated by the nomogram incorporating these markers, supporting its use for the early identification of high-risk patients.</p>","PeriodicalId":17983,"journal":{"name":"Langenbeck's Archives of Surgery","volume":"410 1","pages":"231"},"PeriodicalIF":1.8000,"publicationDate":"2025-07-28","publicationTypes":"Journal Article","fieldsOfStudy":null,"isOpenAccess":false,"openAccessPdf":"https://www.ncbi.nlm.nih.gov/pmc/articles/PMC12304049/pdf/","citationCount":"0","resultStr":"{\"title\":\"Development and validation of an inflammatory-based nomogram for predicting arteriovenous fistula maturation failure in end-stage renal disease patients.\",\"authors\":\"Bin Zhao, Gang Fu, Shen Zhan, Lihong Zhang, Rui Cui, Shanshan Guo, Jia Li, Hu Lu, Yuzhu Wang\",\"doi\":\"10.1007/s00423-025-03819-0\",\"DOIUrl\":null,\"url\":null,\"abstract\":\"<p><strong>Background and hypothesis: </strong>Arteriovenous fistula (AVF) is regarded as the most effective vascular access for hemodialysis in patients with end-stage renal disease (ESRD).However, research investigating the relationships between the systemic inflammation response index (SIRI), the triglyceride-glucose index combined with body mass index (TyG-BMI), and the high-sensitivity C-reactive protein to albumin ratio (HRR) with AVF maturation is still limited.</p><p><strong>Methods: </strong>We included all ESRD patients undergoing first-time AVF creation between March and August 2024 at Haidian Hospital, Beijing (n = 249). To evaluate predictors of AVF maturation failure, we analyzed preoperative clinical/laboratory data and follow-up ultrasound assessments using restricted cubic spline models for dose-response relationships (SIRI, TyG-BMI, HRR). Multivariable Cox models identified independent risk factors, and a predictive nomogram was developed and validated through C-index and calibration plots.</p><p><strong>Results: </strong>This study included 249 patients (73.5% AVF maturation rate). Restricted cubic spline analysis revealed linear associations between AVF maturation and SIRI (p-overall = 0.047), TyG-BMI (p-overall = 0.039), and HRR (p-overall = 0.026). Multivariable Cox regression identified three independent predictors: SIRI (HR = 1.69, 95%CI:1.45-1.96), TyG-BMI (HR = 2.68, 95%CI:1.62-4.41), and HRR (HR = 1.44, 95%CI:1.28-1.61) (all p < 0.001). The biomarker-based nomogram showed strong predictive accuracy, with calibration curves demonstrating excellent observed-versus-expected agreement.</p><p><strong>Conclusion: </strong>Non-maturation of AVF was independently associated with three inflammation-based biomarkers, namely SIRI, TyG-BMI, and HRR. High predictive accuracy was demonstrated by the nomogram incorporating these markers, supporting its use for the early identification of high-risk patients.</p>\",\"PeriodicalId\":17983,\"journal\":{\"name\":\"Langenbeck's Archives of Surgery\",\"volume\":\"410 1\",\"pages\":\"231\"},\"PeriodicalIF\":1.8000,\"publicationDate\":\"2025-07-28\",\"publicationTypes\":\"Journal Article\",\"fieldsOfStudy\":null,\"isOpenAccess\":false,\"openAccessPdf\":\"https://www.ncbi.nlm.nih.gov/pmc/articles/PMC12304049/pdf/\",\"citationCount\":\"0\",\"resultStr\":null,\"platform\":\"Semanticscholar\",\"paperid\":null,\"PeriodicalName\":\"Langenbeck's Archives of Surgery\",\"FirstCategoryId\":\"3\",\"ListUrlMain\":\"https://doi.org/10.1007/s00423-025-03819-0\",\"RegionNum\":3,\"RegionCategory\":\"医学\",\"ArticlePicture\":[],\"TitleCN\":null,\"AbstractTextCN\":null,\"PMCID\":null,\"EPubDate\":\"\",\"PubModel\":\"\",\"JCR\":\"Q2\",\"JCRName\":\"SURGERY\",\"Score\":null,\"Total\":0}","platform":"Semanticscholar","paperid":null,"PeriodicalName":"Langenbeck's Archives of Surgery","FirstCategoryId":"3","ListUrlMain":"https://doi.org/10.1007/s00423-025-03819-0","RegionNum":3,"RegionCategory":"医学","ArticlePicture":[],"TitleCN":null,"AbstractTextCN":null,"PMCID":null,"EPubDate":"","PubModel":"","JCR":"Q2","JCRName":"SURGERY","Score":null,"Total":0}
引用次数: 0

摘要

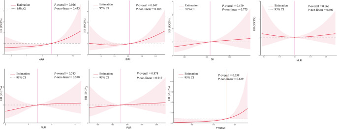
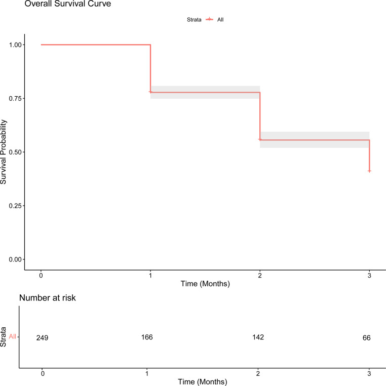
背景与假设:动静脉瘘(AVF)被认为是终末期肾病(ESRD)患者血液透析最有效的血管通路。然而,关于全身炎症反应指数(SIRI)、甘油三酯-葡萄糖指数联合体重指数(TyG-BMI)、高敏c反应蛋白/白蛋白比(HRR)与AVF成熟之间关系的研究仍然有限。方法:我们纳入了2024年3月至8月在北京海淀医院首次行AVF创建的所有ESRD患者(n = 249)。为了评估AVF成熟衰竭的预测因素,我们分析了术前临床/实验室数据和随访超声评估,使用限制三次样条模型进行剂量-反应关系(SIRI, TyG-BMI, HRR)。多变量Cox模型确定了独立的危险因素,并通过c指数和校准图建立了预测模态图并进行了验证。结果:本研究纳入249例患者,AVF成熟率为73.5%。限制三次样条分析显示,AVF成熟度与SIRI (p-overall = 0.047)、TyG-BMI (p-overall = 0.039)和HRR (p-overall = 0.026)呈线性相关。多变量Cox回归确定了三个独立的预测因子:SIRI (HR = 1.69, 95%CI:1.45-1.96)、TyG-BMI (HR = 2.68, 95%CI:1.62-4.41)和HRR (HR = 1.44, 95%CI:1.28-1.61)(均为p)。结论:AVF未成熟与三个基于炎症的生物标志物独立相关,即SIRI、TyG-BMI和HRR。结合这些标记物的nomogram具有较高的预测准确性,支持其用于高风险患者的早期识别。
本文章由计算机程序翻译,如有差异,请以英文原文为准。

Development and validation of an inflammatory-based nomogram for predicting arteriovenous fistula maturation failure in end-stage renal disease patients.

Development and validation of an inflammatory-based nomogram for predicting arteriovenous fistula maturation failure in end-stage renal disease patients.

Development and validation of an inflammatory-based nomogram for predicting arteriovenous fistula maturation failure in end-stage renal disease patients.

Development and validation of an inflammatory-based nomogram for predicting arteriovenous fistula maturation failure in end-stage renal disease patients.

Background and hypothesis: Arteriovenous fistula (AVF) is regarded as the most effective vascular access for hemodialysis in patients with end-stage renal disease (ESRD).However, research investigating the relationships between the systemic inflammation response index (SIRI), the triglyceride-glucose index combined with body mass index (TyG-BMI), and the high-sensitivity C-reactive protein to albumin ratio (HRR) with AVF maturation is still limited.

Methods: We included all ESRD patients undergoing first-time AVF creation between March and August 2024 at Haidian Hospital, Beijing (n = 249). To evaluate predictors of AVF maturation failure, we analyzed preoperative clinical/laboratory data and follow-up ultrasound assessments using restricted cubic spline models for dose-response relationships (SIRI, TyG-BMI, HRR). Multivariable Cox models identified independent risk factors, and a predictive nomogram was developed and validated through C-index and calibration plots.

Results: This study included 249 patients (73.5% AVF maturation rate). Restricted cubic spline analysis revealed linear associations between AVF maturation and SIRI (p-overall = 0.047), TyG-BMI (p-overall = 0.039), and HRR (p-overall = 0.026). Multivariable Cox regression identified three independent predictors: SIRI (HR = 1.69, 95%CI:1.45-1.96), TyG-BMI (HR = 2.68, 95%CI:1.62-4.41), and HRR (HR = 1.44, 95%CI:1.28-1.61) (all p < 0.001). The biomarker-based nomogram showed strong predictive accuracy, with calibration curves demonstrating excellent observed-versus-expected agreement.

Conclusion: Non-maturation of AVF was independently associated with three inflammation-based biomarkers, namely SIRI, TyG-BMI, and HRR. High predictive accuracy was demonstrated by the nomogram incorporating these markers, supporting its use for the early identification of high-risk patients.

求助全文
通过发布文献求助,成功后即可免费获取论文全文。 去求助
来源期刊
CiteScore
3.30
自引率
8.70%
发文量
342
审稿时长
4-8 weeks
期刊介绍: Langenbeck''s Archives of Surgery aims to publish the best results in the field of clinical surgery and basic surgical research. The main focus is on providing the highest level of clinical research and clinically relevant basic research. The journal, published exclusively in English, will provide an international discussion forum for the controlled results of clinical surgery. The majority of published contributions will be original articles reporting on clinical data from general and visceral surgery, while endocrine surgery will also be covered. Papers on basic surgical principles from the fields of traumatology, vascular and thoracic surgery are also welcome. Evidence-based medicine is an important criterion for the acceptance of papers.
×
引用
GB/T 7714-2015
复制
MLA
复制
APA
复制
导出至
BibTeX EndNote RefMan NoteFirst NoteExpress
×
提示
您的信息不完整,为了账户安全,请先补充。
现在去补充
×
提示
您因"违规操作"
具体请查看互助需知
我知道了
×
提示
确定
请完成安全验证×
copy
已复制链接
快去分享给好友吧!
我知道了
右上角分享
点击右上角分享
0
联系我们:info@booksci.cn Book学术提供免费学术资源搜索服务,方便国内外学者检索中英文文献。致力于提供最便捷和优质的服务体验。 Copyright © 2023 布克学术 All rights reserved.
京ICP备2023020795号-1
ghs 京公网安备 11010802042870号
Book学术文献互助
Book学术文献互助群
群 号:604180095
Book学术官方微信