肝脏肿瘤超声自动实时检测与诊断。

IF 3.4 3区 医学 Q2 ONCOLOGY
Journal of Hepatocellular Carcinoma Pub Date : 2025-07-23 eCollection Date: 2025-01-01 DOI:10.2147/JHC.S524311
Chih-Horng Wu, Jin-Chuan Sheu, Pei-Lien Chou, Jonathan Lee, Hsiao-Ching Nien
{"title":"肝脏肿瘤超声自动实时检测与诊断。","authors":"Chih-Horng Wu, Jin-Chuan Sheu, Pei-Lien Chou, Jonathan Lee, Hsiao-Ching Nien","doi":"10.2147/JHC.S524311","DOIUrl":null,"url":null,"abstract":"<p><strong>Background/aim: </strong>Ultrasonography is the most commonly used screening tool for hepatocellular carcinoma (HCC). However, the diagnostic performance of ultrasound is highly operator dependent. We aimed to develop deep learning (DL) models to automatically diagnose and detect hepatic lesions in a larger dataset, with HCC as the dominant malignancy.</p><p><strong>Methods: </strong>We enrolled patients diagnosed with hepatic tumors using abdominal ultrasound between January 2002 and December 2020 in a retrospective cohort with a diagnosis of malignant and benign lesions. A total of 1576 patients with 4599 images and 6001 lesions were analyzed. Deep learning models included ResNet50, Xception, Inception Resnet V2, EfficientNet-B5, EfficientNetV2-S, EfficientNetV2-L, Swin-T, and Swin-B for diagnosis and YOLOR for lesion detection. We analyzed the area under the curve (AUC) to determine the diagnostic performance and choose the best model. The mean Average Precision (mAP) score was then evaluated for real-time lesion detection using the area under the precision-recall curve after the average of each category.</p><p><strong>Results: </strong>The dataset was separated into 1061 in training, 373 in validation, and 142 testing sets. The AUC for ResNet50, Xception, Inception Resnet V2, EfficientNet-B5, EfficientNetV2-S, EfficientNetV2-L, Swin-T, and Swin-B are 0.88, 0.89, 0.88, 0.90, 0.85, 0.89, 0.89, and 0.90, respectively. The mAP scores for detecting and differentiating malignant and benign lesions for YOLOR-W6 and YOLOR-D6 in the validation and testing sets were 0.5134/0.5342 and 0.5410/0.5631.</p><p><strong>Conclusion: </strong>Our study demonstrated that DL models can differentiate between benign and malignant lesions with high accuracy on ultrasound images. Simultaneous DL-based lesion detection and classification are also possible using real-time ultrasonography.</p>","PeriodicalId":15906,"journal":{"name":"Journal of Hepatocellular Carcinoma","volume":"12 ","pages":"1599-1611"},"PeriodicalIF":3.4000,"publicationDate":"2025-07-23","publicationTypes":"Journal Article","fieldsOfStudy":null,"isOpenAccess":false,"openAccessPdf":"https://www.ncbi.nlm.nih.gov/pmc/articles/PMC12301240/pdf/","citationCount":"0","resultStr":"{\"title\":\"Automatic Real-Time Detection and Diagnosis of Liver Tumor with Ultrasound.\",\"authors\":\"Chih-Horng Wu, Jin-Chuan Sheu, Pei-Lien Chou, Jonathan Lee, Hsiao-Ching Nien\",\"doi\":\"10.2147/JHC.S524311\",\"DOIUrl\":null,\"url\":null,\"abstract\":\"<p><strong>Background/aim: </strong>Ultrasonography is the most commonly used screening tool for hepatocellular carcinoma (HCC). However, the diagnostic performance of ultrasound is highly operator dependent. We aimed to develop deep learning (DL) models to automatically diagnose and detect hepatic lesions in a larger dataset, with HCC as the dominant malignancy.</p><p><strong>Methods: </strong>We enrolled patients diagnosed with hepatic tumors using abdominal ultrasound between January 2002 and December 2020 in a retrospective cohort with a diagnosis of malignant and benign lesions. A total of 1576 patients with 4599 images and 6001 lesions were analyzed. Deep learning models included ResNet50, Xception, Inception Resnet V2, EfficientNet-B5, EfficientNetV2-S, EfficientNetV2-L, Swin-T, and Swin-B for diagnosis and YOLOR for lesion detection. We analyzed the area under the curve (AUC) to determine the diagnostic performance and choose the best model. The mean Average Precision (mAP) score was then evaluated for real-time lesion detection using the area under the precision-recall curve after the average of each category.</p><p><strong>Results: </strong>The dataset was separated into 1061 in training, 373 in validation, and 142 testing sets. The AUC for ResNet50, Xception, Inception Resnet V2, EfficientNet-B5, EfficientNetV2-S, EfficientNetV2-L, Swin-T, and Swin-B are 0.88, 0.89, 0.88, 0.90, 0.85, 0.89, 0.89, and 0.90, respectively. The mAP scores for detecting and differentiating malignant and benign lesions for YOLOR-W6 and YOLOR-D6 in the validation and testing sets were 0.5134/0.5342 and 0.5410/0.5631.</p><p><strong>Conclusion: </strong>Our study demonstrated that DL models can differentiate between benign and malignant lesions with high accuracy on ultrasound images. Simultaneous DL-based lesion detection and classification are also possible using real-time ultrasonography.</p>\",\"PeriodicalId\":15906,\"journal\":{\"name\":\"Journal of Hepatocellular Carcinoma\",\"volume\":\"12 \",\"pages\":\"1599-1611\"},\"PeriodicalIF\":3.4000,\"publicationDate\":\"2025-07-23\",\"publicationTypes\":\"Journal Article\",\"fieldsOfStudy\":null,\"isOpenAccess\":false,\"openAccessPdf\":\"https://www.ncbi.nlm.nih.gov/pmc/articles/PMC12301240/pdf/\",\"citationCount\":\"0\",\"resultStr\":null,\"platform\":\"Semanticscholar\",\"paperid\":null,\"PeriodicalName\":\"Journal of Hepatocellular Carcinoma\",\"FirstCategoryId\":\"3\",\"ListUrlMain\":\"https://doi.org/10.2147/JHC.S524311\",\"RegionNum\":3,\"RegionCategory\":\"医学\",\"ArticlePicture\":[],\"TitleCN\":null,\"AbstractTextCN\":null,\"PMCID\":null,\"EPubDate\":\"2025/1/1 0:00:00\",\"PubModel\":\"eCollection\",\"JCR\":\"Q2\",\"JCRName\":\"ONCOLOGY\",\"Score\":null,\"Total\":0}","platform":"Semanticscholar","paperid":null,"PeriodicalName":"Journal of Hepatocellular Carcinoma","FirstCategoryId":"3","ListUrlMain":"https://doi.org/10.2147/JHC.S524311","RegionNum":3,"RegionCategory":"医学","ArticlePicture":[],"TitleCN":null,"AbstractTextCN":null,"PMCID":null,"EPubDate":"2025/1/1 0:00:00","PubModel":"eCollection","JCR":"Q2","JCRName":"ONCOLOGY","Score":null,"Total":0}
引用次数: 0

摘要

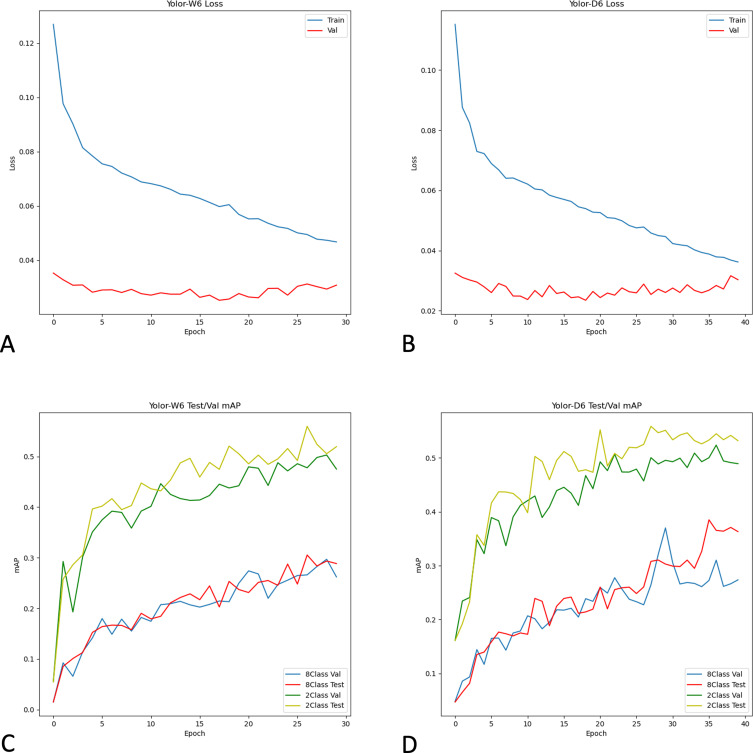
背景/目的:超声是肝细胞癌(HCC)最常用的筛查工具。然而,超声的诊断性能是高度依赖于操作者。我们的目标是开发深度学习(DL)模型,在更大的数据集中自动诊断和检测肝脏病变,其中HCC是主要的恶性肿瘤。方法:我们将2002年1月至2020年12月期间通过腹部超声诊断为肝脏肿瘤的患者纳入回顾性队列,诊断为恶性和良性病变。共分析1576例患者,4599张图像,6001个病灶。深度学习模型包括用于诊断的ResNet50、Xception、Inception Resnet V2、EfficientNet-B5、EfficientNetV2-S、EfficientNetV2-L、swwin - t和swwin - b,以及用于病变检测的YOLOR。我们通过分析曲线下面积(AUC)来确定诊断性能并选择最佳模型。然后,在每个类别的平均值后,使用精度-召回曲线下的面积来评估平均平均精度(mAP)评分,以实时检测病变。结果:数据集被划分为1061个训练集,373个验证集和142个测试集。ResNet50、Xception、Inception Resnet V2、EfficientNet-B5、EfficientNetV2-S、EfficientNetV2-L、swing - t和swing - b的AUC分别为0.88、0.89、0.88、0.90、0.85、0.89、0.89和0.90。在验证集和测试集中,YOLOR-W6和YOLOR-D6检测和鉴别良恶性病变的mAP评分分别为0.5134/0.5342和0.5410/0.5631。结论:我们的研究表明DL模型可以在超声图像上准确区分良恶性病变。同时基于dl的病变检测和分类也可以使用实时超声检查。
本文章由计算机程序翻译,如有差异,请以英文原文为准。

Automatic Real-Time Detection and Diagnosis of Liver Tumor with Ultrasound.

Automatic Real-Time Detection and Diagnosis of Liver Tumor with Ultrasound.

Automatic Real-Time Detection and Diagnosis of Liver Tumor with Ultrasound.

Automatic Real-Time Detection and Diagnosis of Liver Tumor with Ultrasound.

Background/aim: Ultrasonography is the most commonly used screening tool for hepatocellular carcinoma (HCC). However, the diagnostic performance of ultrasound is highly operator dependent. We aimed to develop deep learning (DL) models to automatically diagnose and detect hepatic lesions in a larger dataset, with HCC as the dominant malignancy.

Methods: We enrolled patients diagnosed with hepatic tumors using abdominal ultrasound between January 2002 and December 2020 in a retrospective cohort with a diagnosis of malignant and benign lesions. A total of 1576 patients with 4599 images and 6001 lesions were analyzed. Deep learning models included ResNet50, Xception, Inception Resnet V2, EfficientNet-B5, EfficientNetV2-S, EfficientNetV2-L, Swin-T, and Swin-B for diagnosis and YOLOR for lesion detection. We analyzed the area under the curve (AUC) to determine the diagnostic performance and choose the best model. The mean Average Precision (mAP) score was then evaluated for real-time lesion detection using the area under the precision-recall curve after the average of each category.

Results: The dataset was separated into 1061 in training, 373 in validation, and 142 testing sets. The AUC for ResNet50, Xception, Inception Resnet V2, EfficientNet-B5, EfficientNetV2-S, EfficientNetV2-L, Swin-T, and Swin-B are 0.88, 0.89, 0.88, 0.90, 0.85, 0.89, 0.89, and 0.90, respectively. The mAP scores for detecting and differentiating malignant and benign lesions for YOLOR-W6 and YOLOR-D6 in the validation and testing sets were 0.5134/0.5342 and 0.5410/0.5631.

Conclusion: Our study demonstrated that DL models can differentiate between benign and malignant lesions with high accuracy on ultrasound images. Simultaneous DL-based lesion detection and classification are also possible using real-time ultrasonography.

求助全文
通过发布文献求助,成功后即可免费获取论文全文。 去求助
来源期刊
CiteScore
0.50
自引率
2.40%
发文量
108
审稿时长
16 weeks
×
引用
GB/T 7714-2015
复制
MLA
复制
APA
复制
导出至
BibTeX EndNote RefMan NoteFirst NoteExpress
×
提示
您的信息不完整,为了账户安全,请先补充。
现在去补充
×
提示
您因"违规操作"
具体请查看互助需知
我知道了
×
提示
确定
请完成安全验证×
copy
已复制链接
快去分享给好友吧!
我知道了
右上角分享
点击右上角分享
0
联系我们:info@booksci.cn Book学术提供免费学术资源搜索服务,方便国内外学者检索中英文文献。致力于提供最便捷和优质的服务体验。 Copyright © 2023 布克学术 All rights reserved.
京ICP备2023020795号-1
ghs 京公网安备 11010802042870号
Book学术文献互助
Book学术文献互助群
群 号:604180095
Book学术官方微信