理想和非理想HCC患者肝切除的结果。

IF 5.6 2区 医学 Q1 GASTROENTEROLOGY & HEPATOLOGY
Hepatology Communications Pub Date : 2025-07-29 eCollection Date: 2025-08-01 DOI:10.1097/HC9.0000000000000772
Lorenzo Lani, Laura Bucci, Valentina Santi, Benedetta Stefanini, Bernardo Stefanini, Angelo Sangiovanni, Sara Grasselli, Giorgia Ghittoni, Carlo Saitta, Filomena Morisco, Giuseppe Cabibbo, Fabio Marra, Gianpaolo Vidili, Maurizia Rossana Brunetto, Francesco Giuseppe Foschi, Mariella Di Marco, Gianluca Svegliati-Baroni, Filippo Pelizzaro, Francesco Azzaroli, Francesca Romana Ponziani, Andrea Martini, David Sacerdoti, Andrea Mega, Sara Boninsegna, Edoardo G Giannini, Donatella Magalotti, Rodolfo Sacco, Gerardo Nardone, Paolo Caraceni, Alessandro Vitale, Franco Trevisani
{"title":"理想和非理想HCC患者肝切除的结果。","authors":"Lorenzo Lani, Laura Bucci, Valentina Santi, Benedetta Stefanini, Bernardo Stefanini, Angelo Sangiovanni, Sara Grasselli, Giorgia Ghittoni, Carlo Saitta, Filomena Morisco, Giuseppe Cabibbo, Fabio Marra, Gianpaolo Vidili, Maurizia Rossana Brunetto, Francesco Giuseppe Foschi, Mariella Di Marco, Gianluca Svegliati-Baroni, Filippo Pelizzaro, Francesco Azzaroli, Francesca Romana Ponziani, Andrea Martini, David Sacerdoti, Andrea Mega, Sara Boninsegna, Edoardo G Giannini, Donatella Magalotti, Rodolfo Sacco, Gerardo Nardone, Paolo Caraceni, Alessandro Vitale, Franco Trevisani","doi":"10.1097/HC9.0000000000000772","DOIUrl":null,"url":null,"abstract":"<p><strong>Background: </strong>The Barcelona Clinic Liver Cancer staging system considers, among patients with HCC, \"ideal candidates\" (ICs) for hepatic resection (HR) those with a single lesion, normal bilirubin, and without clinically significant portal hypertension (CSPH). We compared the outcome of HR between ICs and non-ICs.</p><p><strong>Methods: </strong>Retrospective analysis was conducted on Child-Pugh A patients. CSPH was defined by the presence of gastroesophageal varices and/or platelet count <100,000/mm3. Hyperbilirubinemia was accepted up to 2 mg/dL. The selected 1057 patients were distributed in 3 calendar periods (2000-2022).</p><p><strong>Results: </strong>In all calendar periods, non-ICs were more prevalent than ICs. Among non-ICs, the proportion of patients with isolated CSPH did not change over time (from 22.6% to 30.3%; p=0.359), while patients with multinodular HCC (mHCC) increased (from 35.5% to 50.2%; p=0.042). Patients with hyperbilirubinemia decreased (from 20.4% to 10.1%; p=0.036), likewise those with hyperbilirubinemia+CSPH (from 21.5% to 9.4%; p=0.005). Over a median follow-up of 41.0 months, median overall survival was higher in ICs compared to non-ICs (104.9 vs. 75.3 months; p<0.001). However, compared to ICs, median overall survival did not differ in patients with isolated CSPH (93.1 mo; p=0.432) or isolated hyperbilirubinemia (86.0 mo; p=0.356), while it was lower in those with hyperbilirubinemia+CSPH (60.0 mo; p<0.001) or mHCC (61.9 mo; p<0.001). Compared to ICs, only hyperbilirubinemia+CSPH patients showed a higher perioperative mortality.</p><p><strong>Conclusions: </strong>In real-world practice, among resected patients, the proportion of non-ICs has remained constantly higher than that of non-ICs since 2000. HR can be offered to Child-Pugh A patients with CSPH or modest hyperbilirubinemia without compromising its outcome. For patients with 2 of these features or mHCC, which generate a poorer prognosis, studies comparing HR versus non-surgical therapies are warranted.</p>","PeriodicalId":12978,"journal":{"name":"Hepatology Communications","volume":"9 8","pages":""},"PeriodicalIF":5.6000,"publicationDate":"2025-07-29","publicationTypes":"Journal Article","fieldsOfStudy":null,"isOpenAccess":false,"openAccessPdf":"https://www.ncbi.nlm.nih.gov/pmc/articles/PMC12306702/pdf/","citationCount":"0","resultStr":"{\"title\":\"Outcome of hepatic resection for HCC in ideal and non-ideal candidates.\",\"authors\":\"Lorenzo Lani, Laura Bucci, Valentina Santi, Benedetta Stefanini, Bernardo Stefanini, Angelo Sangiovanni, Sara Grasselli, Giorgia Ghittoni, Carlo Saitta, Filomena Morisco, Giuseppe Cabibbo, Fabio Marra, Gianpaolo Vidili, Maurizia Rossana Brunetto, Francesco Giuseppe Foschi, Mariella Di Marco, Gianluca Svegliati-Baroni, Filippo Pelizzaro, Francesco Azzaroli, Francesca Romana Ponziani, Andrea Martini, David Sacerdoti, Andrea Mega, Sara Boninsegna, Edoardo G Giannini, Donatella Magalotti, Rodolfo Sacco, Gerardo Nardone, Paolo Caraceni, Alessandro Vitale, Franco Trevisani\",\"doi\":\"10.1097/HC9.0000000000000772\",\"DOIUrl\":null,\"url\":null,\"abstract\":\"<p><strong>Background: </strong>The Barcelona Clinic Liver Cancer staging system considers, among patients with HCC, \\\"ideal candidates\\\" (ICs) for hepatic resection (HR) those with a single lesion, normal bilirubin, and without clinically significant portal hypertension (CSPH). We compared the outcome of HR between ICs and non-ICs.</p><p><strong>Methods: </strong>Retrospective analysis was conducted on Child-Pugh A patients. CSPH was defined by the presence of gastroesophageal varices and/or platelet count <100,000/mm3. Hyperbilirubinemia was accepted up to 2 mg/dL. The selected 1057 patients were distributed in 3 calendar periods (2000-2022).</p><p><strong>Results: </strong>In all calendar periods, non-ICs were more prevalent than ICs. Among non-ICs, the proportion of patients with isolated CSPH did not change over time (from 22.6% to 30.3%; p=0.359), while patients with multinodular HCC (mHCC) increased (from 35.5% to 50.2%; p=0.042). Patients with hyperbilirubinemia decreased (from 20.4% to 10.1%; p=0.036), likewise those with hyperbilirubinemia+CSPH (from 21.5% to 9.4%; p=0.005). Over a median follow-up of 41.0 months, median overall survival was higher in ICs compared to non-ICs (104.9 vs. 75.3 months; p<0.001). However, compared to ICs, median overall survival did not differ in patients with isolated CSPH (93.1 mo; p=0.432) or isolated hyperbilirubinemia (86.0 mo; p=0.356), while it was lower in those with hyperbilirubinemia+CSPH (60.0 mo; p<0.001) or mHCC (61.9 mo; p<0.001). Compared to ICs, only hyperbilirubinemia+CSPH patients showed a higher perioperative mortality.</p><p><strong>Conclusions: </strong>In real-world practice, among resected patients, the proportion of non-ICs has remained constantly higher than that of non-ICs since 2000. HR can be offered to Child-Pugh A patients with CSPH or modest hyperbilirubinemia without compromising its outcome. For patients with 2 of these features or mHCC, which generate a poorer prognosis, studies comparing HR versus non-surgical therapies are warranted.</p>\",\"PeriodicalId\":12978,\"journal\":{\"name\":\"Hepatology Communications\",\"volume\":\"9 8\",\"pages\":\"\"},\"PeriodicalIF\":5.6000,\"publicationDate\":\"2025-07-29\",\"publicationTypes\":\"Journal Article\",\"fieldsOfStudy\":null,\"isOpenAccess\":false,\"openAccessPdf\":\"https://www.ncbi.nlm.nih.gov/pmc/articles/PMC12306702/pdf/\",\"citationCount\":\"0\",\"resultStr\":null,\"platform\":\"Semanticscholar\",\"paperid\":null,\"PeriodicalName\":\"Hepatology Communications\",\"FirstCategoryId\":\"3\",\"ListUrlMain\":\"https://doi.org/10.1097/HC9.0000000000000772\",\"RegionNum\":2,\"RegionCategory\":\"医学\",\"ArticlePicture\":[],\"TitleCN\":null,\"AbstractTextCN\":null,\"PMCID\":null,\"EPubDate\":\"2025/8/1 0:00:00\",\"PubModel\":\"eCollection\",\"JCR\":\"Q1\",\"JCRName\":\"GASTROENTEROLOGY & HEPATOLOGY\",\"Score\":null,\"Total\":0}","platform":"Semanticscholar","paperid":null,"PeriodicalName":"Hepatology Communications","FirstCategoryId":"3","ListUrlMain":"https://doi.org/10.1097/HC9.0000000000000772","RegionNum":2,"RegionCategory":"医学","ArticlePicture":[],"TitleCN":null,"AbstractTextCN":null,"PMCID":null,"EPubDate":"2025/8/1 0:00:00","PubModel":"eCollection","JCR":"Q1","JCRName":"GASTROENTEROLOGY & HEPATOLOGY","Score":null,"Total":0}
引用次数: 0

摘要

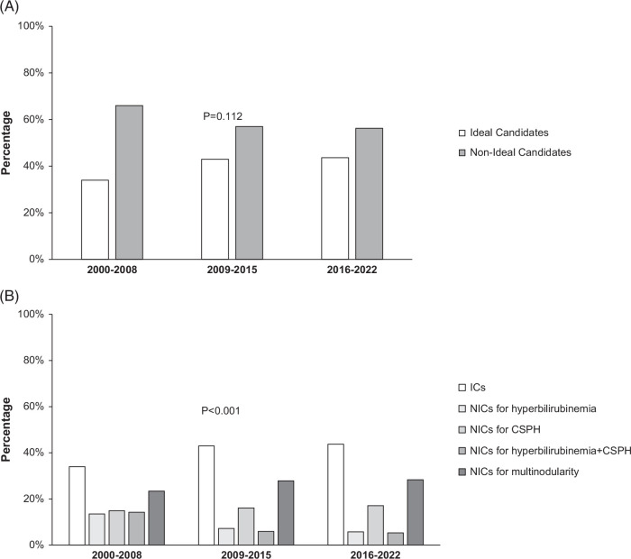
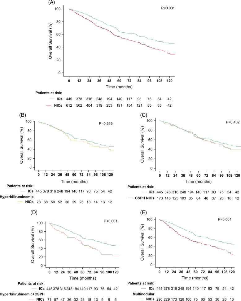
背景:巴塞罗那临床肝癌分期系统认为,在HCC患者中,只有单一病变、胆红素正常、无临床显著门静脉高压(CSPH)的患者是肝切除术(HR)的“理想候选者”(ICs)。我们比较了ic和非ic之间的HR结果。方法:对Child-Pugh A患者进行回顾性分析。CSPH通过胃食管静脉曲张和/或血小板计数的存在来定义。结果:在所有日历期间,非ic比ic更普遍。在非ic患者中,孤立性CSPH患者的比例没有随时间变化(从22.6%到30.3%;p=0.359),而多结节性HCC (mHCC)患者增加(从35.5%增加到50.2%;p = 0.042)。高胆红素血症患者下降(从20.4%降至10.1%;p=0.036),同样,高胆红素血症+CSPH(从21.5%到9.4%;p = 0.005)。在中位41.0个月的随访中,ic患者的中位总生存期高于非ic患者(104.9个月vs 75.3个月;结论:在现实世界的实践中,自2000年以来,在切除的患者中,非ic的比例一直高于非ic。HR可以提供给Child-Pugh A合并CSPH或中度高胆红素血症的患者,而不会影响其预后。对于具有上述两种特征或mHCC(预后较差)的患者,有必要进行HR与非手术治疗的比较研究。
本文章由计算机程序翻译,如有差异,请以英文原文为准。

Outcome of hepatic resection for HCC in ideal and non-ideal candidates.

Outcome of hepatic resection for HCC in ideal and non-ideal candidates.

Outcome of hepatic resection for HCC in ideal and non-ideal candidates.

Outcome of hepatic resection for HCC in ideal and non-ideal candidates.

Background: The Barcelona Clinic Liver Cancer staging system considers, among patients with HCC, "ideal candidates" (ICs) for hepatic resection (HR) those with a single lesion, normal bilirubin, and without clinically significant portal hypertension (CSPH). We compared the outcome of HR between ICs and non-ICs.

Methods: Retrospective analysis was conducted on Child-Pugh A patients. CSPH was defined by the presence of gastroesophageal varices and/or platelet count <100,000/mm3. Hyperbilirubinemia was accepted up to 2 mg/dL. The selected 1057 patients were distributed in 3 calendar periods (2000-2022).

Results: In all calendar periods, non-ICs were more prevalent than ICs. Among non-ICs, the proportion of patients with isolated CSPH did not change over time (from 22.6% to 30.3%; p=0.359), while patients with multinodular HCC (mHCC) increased (from 35.5% to 50.2%; p=0.042). Patients with hyperbilirubinemia decreased (from 20.4% to 10.1%; p=0.036), likewise those with hyperbilirubinemia+CSPH (from 21.5% to 9.4%; p=0.005). Over a median follow-up of 41.0 months, median overall survival was higher in ICs compared to non-ICs (104.9 vs. 75.3 months; p<0.001). However, compared to ICs, median overall survival did not differ in patients with isolated CSPH (93.1 mo; p=0.432) or isolated hyperbilirubinemia (86.0 mo; p=0.356), while it was lower in those with hyperbilirubinemia+CSPH (60.0 mo; p<0.001) or mHCC (61.9 mo; p<0.001). Compared to ICs, only hyperbilirubinemia+CSPH patients showed a higher perioperative mortality.

Conclusions: In real-world practice, among resected patients, the proportion of non-ICs has remained constantly higher than that of non-ICs since 2000. HR can be offered to Child-Pugh A patients with CSPH or modest hyperbilirubinemia without compromising its outcome. For patients with 2 of these features or mHCC, which generate a poorer prognosis, studies comparing HR versus non-surgical therapies are warranted.

求助全文
通过发布文献求助,成功后即可免费获取论文全文。 去求助
来源期刊
Hepatology Communications
Hepatology Communications GASTROENTEROLOGY & HEPATOLOGY-
CiteScore
8.00
自引率
2.00%
发文量
248
审稿时长
8 weeks
期刊介绍: Hepatology Communications is a peer-reviewed, online-only, open access journal for fast dissemination of high quality basic, translational, and clinical research in hepatology. Hepatology Communications maintains high standard and rigorous peer review. Because of its open access nature, authors retain the copyright to their works, all articles are immediately available and free to read and share, and it is fully compliant with funder and institutional mandates. The journal is committed to fast publication and author satisfaction. ​
×
引用
GB/T 7714-2015
复制
MLA
复制
APA
复制
导出至
BibTeX EndNote RefMan NoteFirst NoteExpress
×
提示
您的信息不完整,为了账户安全,请先补充。
现在去补充
×
提示
您因"违规操作"
具体请查看互助需知
我知道了
×
提示
确定
请完成安全验证×
copy
已复制链接
快去分享给好友吧!
我知道了
右上角分享
点击右上角分享
0
联系我们:info@booksci.cn Book学术提供免费学术资源搜索服务,方便国内外学者检索中英文文献。致力于提供最便捷和优质的服务体验。 Copyright © 2023 布克学术 All rights reserved.
京ICP备2023020795号-1
ghs 京公网安备 11010802042870号
Book学术文献互助
Book学术文献互助群
群 号:604180095
Book学术官方微信