世卫组织推荐的晚期艾滋病毒疾病一揽子护理的临床影响和成本效益。

IF 19.9 1区 医学 Q1 PUBLIC, ENVIRONMENTAL & OCCUPATIONAL HEALTH
Emily P Hyle, Thulani Maphosa, Ajay Rangaraj, Mary Feser, Geoffrey C Singini, Prakriti Shrestha, Amir Shroufi, Krishna P Reddy, Eddie Matiya, Rosalia Dambe, Virginia R Talbot, Rachel Chamanga, C Robert Horsburgh, Milton C Weinstein, Rose K Nyirenda, Nathan Ford, Appolinaire Tiam, Andrew Phillips, Kenneth A Freedberg
{"title":"世卫组织推荐的晚期艾滋病毒疾病一揽子护理的临床影响和成本效益。","authors":"Emily P Hyle, Thulani Maphosa, Ajay Rangaraj, Mary Feser, Geoffrey C Singini, Prakriti Shrestha, Amir Shroufi, Krishna P Reddy, Eddie Matiya, Rosalia Dambe, Virginia R Talbot, Rachel Chamanga, C Robert Horsburgh, Milton C Weinstein, Rose K Nyirenda, Nathan Ford, Appolinaire Tiam, Andrew Phillips, Kenneth A Freedberg","doi":"10.1016/S2214-109X(25)00190-1","DOIUrl":null,"url":null,"abstract":"<p><strong>Background: </strong>In sub-Saharan Africa, 20-40% of people living with HIV present with advanced HIV disease (AHD), which can be diagnosed, treated, and prevented using a package of care recommended by WHO. We aimed to project the cost-effectiveness and budget impact of the WHO-recommended AHD package in Malawi.</p><p><strong>Methods: </strong>Using the Cost-Effectiveness of Preventing AIDS Complications-International model, we simulated a cohort of non-hospitalised people living with HIV (aged >19 years) initiating antiretroviral therapy (ART), 25% of whom had AHD (CD4 count <200 cells per μL and/or WHO stage 3 or 4 disease). We assessed 13 increasingly comprehensive strategies, ranging from ART only to the WHO-recommended AHD package, including tuberculosis diagnostics (ie, sputum Xpert and urine lipoarabinomannan), tuberculosis preventive therapy, serum cryptococcal antigen (CrAg) screening with pre-emptive fluconazole treatment if CrAg-positive, and co-trimoxazole to prevent bacterial infections. Model outcomes included 1 year survival, life expectancy, costs, and incremental cost-effectiveness ratios (ICERs, US$ per quality-adjusted life-year [QALY]); we considered a strategy cost-effective if the ICER was less than $600 per QALY (based on 2023 Malawi per capita gross domestic product).</p><p><strong>Findings: </strong>ART only resulted in life expectancy of 17·45 undiscounted QALYs and discounted lifetime costs of $1450. All other strategies would increase both QALYs and costs. The WHO-recommended AHD package would result in the greatest life expectancy (19·30 undiscounted QALYs) and be cost-effective (ICER $580 per QALY). AHD prevalence and intervention efficacy had the greatest influence on ICERs; however, the WHO-recommended AHD package would remain cost-effective over a wide range of estimates.</p><p><strong>Interpretation: </strong>The WHO-recommended AHD package of care at ART initiation would provide substantial clinical benefits and be cost-effective in Malawi. This package for AHD should be made widely available in Malawi and similar settings.</p><p><strong>Funding: </strong>WHO, the HIV Modelling Consortium within the Institute for Global Health at University College London, the Bill & Melinda Gates Foundation, the National Institute of Allergy and Infectious Diseases, the Massachusetts General Hospital Jerome and Celia Reich Endowed Scholar in HIV/AIDS Research Award, and the Steve and Deborah Gorlin Massachusetts General Hospital Research Scholars Award.</p><p><strong>Translation: </strong>For the Chichewa translation of the abstract see Supplementary Materials section.</p>","PeriodicalId":48783,"journal":{"name":"Lancet Global Health","volume":"13 8","pages":"e1436-e1447"},"PeriodicalIF":19.9000,"publicationDate":"2025-08-01","publicationTypes":"Journal Article","fieldsOfStudy":null,"isOpenAccess":false,"openAccessPdf":"https://www.ncbi.nlm.nih.gov/pmc/articles/PMC12286912/pdf/","citationCount":"0","resultStr":"{\"title\":\"Clinical impact and cost-effectiveness of the WHO-recommended advanced HIV disease package of care.\",\"authors\":\"Emily P Hyle, Thulani Maphosa, Ajay Rangaraj, Mary Feser, Geoffrey C Singini, Prakriti Shrestha, Amir Shroufi, Krishna P Reddy, Eddie Matiya, Rosalia Dambe, Virginia R Talbot, Rachel Chamanga, C Robert Horsburgh, Milton C Weinstein, Rose K Nyirenda, Nathan Ford, Appolinaire Tiam, Andrew Phillips, Kenneth A Freedberg\",\"doi\":\"10.1016/S2214-109X(25)00190-1\",\"DOIUrl\":null,\"url\":null,\"abstract\":\"<p><strong>Background: </strong>In sub-Saharan Africa, 20-40% of people living with HIV present with advanced HIV disease (AHD), which can be diagnosed, treated, and prevented using a package of care recommended by WHO. We aimed to project the cost-effectiveness and budget impact of the WHO-recommended AHD package in Malawi.</p><p><strong>Methods: </strong>Using the Cost-Effectiveness of Preventing AIDS Complications-International model, we simulated a cohort of non-hospitalised people living with HIV (aged >19 years) initiating antiretroviral therapy (ART), 25% of whom had AHD (CD4 count <200 cells per μL and/or WHO stage 3 or 4 disease). We assessed 13 increasingly comprehensive strategies, ranging from ART only to the WHO-recommended AHD package, including tuberculosis diagnostics (ie, sputum Xpert and urine lipoarabinomannan), tuberculosis preventive therapy, serum cryptococcal antigen (CrAg) screening with pre-emptive fluconazole treatment if CrAg-positive, and co-trimoxazole to prevent bacterial infections. Model outcomes included 1 year survival, life expectancy, costs, and incremental cost-effectiveness ratios (ICERs, US$ per quality-adjusted life-year [QALY]); we considered a strategy cost-effective if the ICER was less than $600 per QALY (based on 2023 Malawi per capita gross domestic product).</p><p><strong>Findings: </strong>ART only resulted in life expectancy of 17·45 undiscounted QALYs and discounted lifetime costs of $1450. All other strategies would increase both QALYs and costs. The WHO-recommended AHD package would result in the greatest life expectancy (19·30 undiscounted QALYs) and be cost-effective (ICER $580 per QALY). AHD prevalence and intervention efficacy had the greatest influence on ICERs; however, the WHO-recommended AHD package would remain cost-effective over a wide range of estimates.</p><p><strong>Interpretation: </strong>The WHO-recommended AHD package of care at ART initiation would provide substantial clinical benefits and be cost-effective in Malawi. This package for AHD should be made widely available in Malawi and similar settings.</p><p><strong>Funding: </strong>WHO, the HIV Modelling Consortium within the Institute for Global Health at University College London, the Bill & Melinda Gates Foundation, the National Institute of Allergy and Infectious Diseases, the Massachusetts General Hospital Jerome and Celia Reich Endowed Scholar in HIV/AIDS Research Award, and the Steve and Deborah Gorlin Massachusetts General Hospital Research Scholars Award.</p><p><strong>Translation: </strong>For the Chichewa translation of the abstract see Supplementary Materials section.</p>\",\"PeriodicalId\":48783,\"journal\":{\"name\":\"Lancet Global Health\",\"volume\":\"13 8\",\"pages\":\"e1436-e1447\"},\"PeriodicalIF\":19.9000,\"publicationDate\":\"2025-08-01\",\"publicationTypes\":\"Journal Article\",\"fieldsOfStudy\":null,\"isOpenAccess\":false,\"openAccessPdf\":\"https://www.ncbi.nlm.nih.gov/pmc/articles/PMC12286912/pdf/\",\"citationCount\":\"0\",\"resultStr\":null,\"platform\":\"Semanticscholar\",\"paperid\":null,\"PeriodicalName\":\"Lancet Global Health\",\"FirstCategoryId\":\"3\",\"ListUrlMain\":\"https://doi.org/10.1016/S2214-109X(25)00190-1\",\"RegionNum\":1,\"RegionCategory\":\"医学\",\"ArticlePicture\":[],\"TitleCN\":null,\"AbstractTextCN\":null,\"PMCID\":null,\"EPubDate\":\"\",\"PubModel\":\"\",\"JCR\":\"Q1\",\"JCRName\":\"PUBLIC, ENVIRONMENTAL & OCCUPATIONAL HEALTH\",\"Score\":null,\"Total\":0}","platform":"Semanticscholar","paperid":null,"PeriodicalName":"Lancet Global Health","FirstCategoryId":"3","ListUrlMain":"https://doi.org/10.1016/S2214-109X(25)00190-1","RegionNum":1,"RegionCategory":"医学","ArticlePicture":[],"TitleCN":null,"AbstractTextCN":null,"PMCID":null,"EPubDate":"","PubModel":"","JCR":"Q1","JCRName":"PUBLIC, ENVIRONMENTAL & OCCUPATIONAL HEALTH","Score":null,"Total":0}
引用次数: 0

摘要

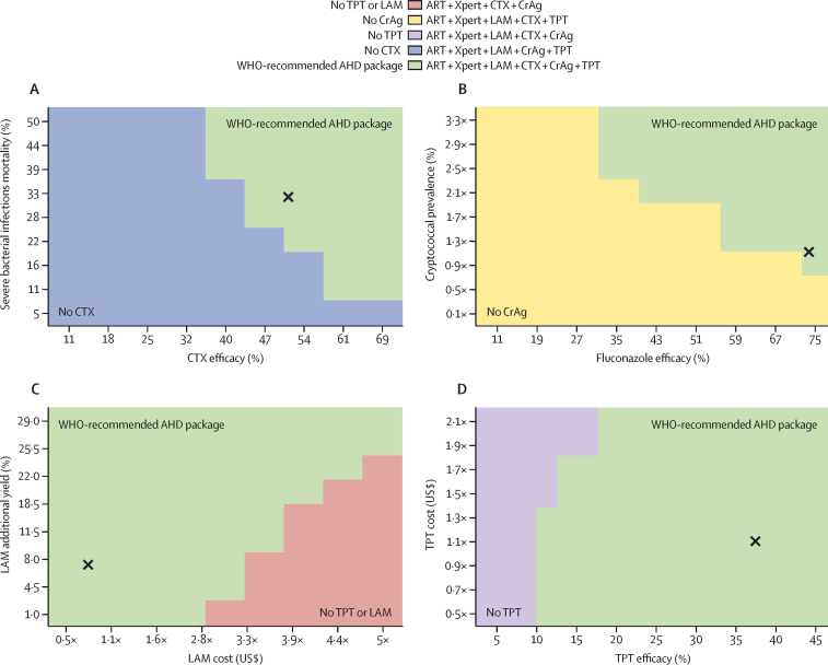
背景:在撒哈拉以南非洲,20-40%的艾滋病毒感染者患有晚期艾滋病毒病(AHD),可通过世卫组织推荐的一揽子护理来诊断、治疗和预防。我们的目标是预测世卫组织建议的马拉维艾滋病一揽子计划的成本效益和预算影响。方法:使用预防艾滋病并发症的成本-效果-国际模型,我们模拟了一组未住院的艾滋病毒感染者(年龄在50岁至19岁之间)开始抗逆转录病毒治疗(ART),其中25%患有AHD (CD4计数结果:ART仅导致预期寿命17.45未折扣qaly和折扣终身成本1450美元。所有其他策略都会增加质量年数和成本。世卫组织推荐的AHD一揽子方案将带来最长的预期寿命(19.30个未折扣的质量年),并且具有成本效益(每质量年580美元)。AHD患病率和干预效果对ICERs影响最大;然而,世卫组织建议的艾滋病一揽子计划在广泛的估计范围内仍然具有成本效益。解释:世卫组织在抗逆转录病毒治疗开始时推荐的AHD一揽子治疗方案将在马拉维提供可观的临床效益并具有成本效益。应在马拉维和类似的环境中广泛提供这一针对儿童疾病的一揽子方案。资助:世卫组织、伦敦大学学院全球卫生研究所内的艾滋病毒建模联盟、比尔和梅林达·盖茨基金会、国家过敏和传染病研究所、马萨诸塞州总医院杰罗姆和西莉亚·赖希艾滋病毒/艾滋病研究奖捐赠学者,以及史蒂夫和黛博拉·戈林马萨诸塞州总医院研究学者奖。翻译:关于摘要的奇切瓦语翻译,请参见补充资料部分。
本文章由计算机程序翻译,如有差异,请以英文原文为准。

Clinical impact and cost-effectiveness of the WHO-recommended advanced HIV disease package of care.

Clinical impact and cost-effectiveness of the WHO-recommended advanced HIV disease package of care.

Clinical impact and cost-effectiveness of the WHO-recommended advanced HIV disease package of care.

Clinical impact and cost-effectiveness of the WHO-recommended advanced HIV disease package of care.

Background: In sub-Saharan Africa, 20-40% of people living with HIV present with advanced HIV disease (AHD), which can be diagnosed, treated, and prevented using a package of care recommended by WHO. We aimed to project the cost-effectiveness and budget impact of the WHO-recommended AHD package in Malawi.

Methods: Using the Cost-Effectiveness of Preventing AIDS Complications-International model, we simulated a cohort of non-hospitalised people living with HIV (aged >19 years) initiating antiretroviral therapy (ART), 25% of whom had AHD (CD4 count <200 cells per μL and/or WHO stage 3 or 4 disease). We assessed 13 increasingly comprehensive strategies, ranging from ART only to the WHO-recommended AHD package, including tuberculosis diagnostics (ie, sputum Xpert and urine lipoarabinomannan), tuberculosis preventive therapy, serum cryptococcal antigen (CrAg) screening with pre-emptive fluconazole treatment if CrAg-positive, and co-trimoxazole to prevent bacterial infections. Model outcomes included 1 year survival, life expectancy, costs, and incremental cost-effectiveness ratios (ICERs, US$ per quality-adjusted life-year [QALY]); we considered a strategy cost-effective if the ICER was less than $600 per QALY (based on 2023 Malawi per capita gross domestic product).

Findings: ART only resulted in life expectancy of 17·45 undiscounted QALYs and discounted lifetime costs of $1450. All other strategies would increase both QALYs and costs. The WHO-recommended AHD package would result in the greatest life expectancy (19·30 undiscounted QALYs) and be cost-effective (ICER $580 per QALY). AHD prevalence and intervention efficacy had the greatest influence on ICERs; however, the WHO-recommended AHD package would remain cost-effective over a wide range of estimates.

Interpretation: The WHO-recommended AHD package of care at ART initiation would provide substantial clinical benefits and be cost-effective in Malawi. This package for AHD should be made widely available in Malawi and similar settings.

Funding: WHO, the HIV Modelling Consortium within the Institute for Global Health at University College London, the Bill & Melinda Gates Foundation, the National Institute of Allergy and Infectious Diseases, the Massachusetts General Hospital Jerome and Celia Reich Endowed Scholar in HIV/AIDS Research Award, and the Steve and Deborah Gorlin Massachusetts General Hospital Research Scholars Award.

Translation: For the Chichewa translation of the abstract see Supplementary Materials section.

求助全文
通过发布文献求助,成功后即可免费获取论文全文。 去求助
来源期刊
Lancet Global Health
Lancet Global Health PUBLIC, ENVIRONMENTAL & OCCUPATIONAL HEALTH-
CiteScore
44.10
自引率
1.20%
发文量
763
审稿时长
10 weeks
期刊介绍: The Lancet Global Health is an online publication that releases monthly open access (subscription-free) issues.Each issue includes original research, commentary, and correspondence.In addition to this, the publication also provides regular blog posts. The main focus of The Lancet Global Health is on disadvantaged populations, which can include both entire economic regions and marginalized groups within prosperous nations.The publication prefers to cover topics related to reproductive, maternal, neonatal, child, and adolescent health; infectious diseases (including neglected tropical diseases); non-communicable diseases; mental health; the global health workforce; health systems; surgery; and health policy.
×
引用
GB/T 7714-2015
复制
MLA
复制
APA
复制
导出至
BibTeX EndNote RefMan NoteFirst NoteExpress
×
提示
您的信息不完整,为了账户安全,请先补充。
现在去补充
×
提示
您因"违规操作"
具体请查看互助需知
我知道了
×
提示
确定
请完成安全验证×
copy
已复制链接
快去分享给好友吧!
我知道了
右上角分享
点击右上角分享
0
联系我们:info@booksci.cn Book学术提供免费学术资源搜索服务,方便国内外学者检索中英文文献。致力于提供最便捷和优质的服务体验。 Copyright © 2023 布克学术 All rights reserved.
京ICP备2023020795号-1
ghs 京公网安备 11010802042870号
Book学术文献互助
Book学术文献互助群
群 号:604180095
Book学术官方微信