多次缺血压迫对肌筋膜触发点疼痛敏感性和生物力学特性的直接影响。

IF 2.2 Q2 MEDICINE, GENERAL & INTERNAL
Sebastian Szajkowski, Jarosław Pasek, Grzegorz Cieślar
{"title":"多次缺血压迫对肌筋膜触发点疼痛敏感性和生物力学特性的直接影响。","authors":"Sebastian Szajkowski, Jarosław Pasek, Grzegorz Cieślar","doi":"10.3390/clinpract15070125","DOIUrl":null,"url":null,"abstract":"<p><p><b>Background:</b> Myofascial trigger points (MTrPs) are hyperirritable spots within taut bands of skeletal muscle fibers, often developing in overloaded muscles. Ischemic compression (IC) is a frequently used therapeutic technique for MTrP treatment. <b>Material and Methods:</b> Seventy-nine participants with MTrPs in the upper trapezius muscle were included. Three IC protocols were used. In group 1, the compression force was increased once; in group 2, twice; and in group 3, three times-each time up to the pain threshold, then held constant until the pain subsided. Evaluations included pressure pain threshold (PPT), pressure pain perception (PPP), and myotonometric measurements. <b>Results:</b> PPT values increased significantly in group 2 (<i>p</i> = 0.009) and group 3 (<i>p</i> = 0.009), while PPP values decreased significantly in both groups (group 2: <i>p</i> = 0.016; group 3: <i>p</i> = 0.041) post-intervention. Group 1 showed a significant reduction in muscle tone (<i>p</i> < 0.001), and group 2 in muscle stiffness (<i>p</i> = 0.036). Muscle elasticity significantly improved in all groups: group 1 (<i>p</i> = 0.022), group 2 (<i>p</i> = 0.001), and group 3 (<i>p</i> = 0.042). <b>Conclusions:</b> IC applied with a constant force at the individual's pain perception threshold effectively elevates the pain threshold and enhances the biomechanical parameters of muscle fibers in the trigger point area.</p>","PeriodicalId":45306,"journal":{"name":"Clinics and Practice","volume":"15 7","pages":""},"PeriodicalIF":2.2000,"publicationDate":"2025-07-01","publicationTypes":"Journal Article","fieldsOfStudy":null,"isOpenAccess":false,"openAccessPdf":"https://www.ncbi.nlm.nih.gov/pmc/articles/PMC12293459/pdf/","citationCount":"0","resultStr":"{\"title\":\"Immediate Effects of Multiple Ischemic Compression Applications on Pain Sensitivity and Biomechanical Properties of Myofascial Trigger Points.\",\"authors\":\"Sebastian Szajkowski, Jarosław Pasek, Grzegorz Cieślar\",\"doi\":\"10.3390/clinpract15070125\",\"DOIUrl\":null,\"url\":null,\"abstract\":\"<p><p><b>Background:</b> Myofascial trigger points (MTrPs) are hyperirritable spots within taut bands of skeletal muscle fibers, often developing in overloaded muscles. Ischemic compression (IC) is a frequently used therapeutic technique for MTrP treatment. <b>Material and Methods:</b> Seventy-nine participants with MTrPs in the upper trapezius muscle were included. Three IC protocols were used. In group 1, the compression force was increased once; in group 2, twice; and in group 3, three times-each time up to the pain threshold, then held constant until the pain subsided. Evaluations included pressure pain threshold (PPT), pressure pain perception (PPP), and myotonometric measurements. <b>Results:</b> PPT values increased significantly in group 2 (<i>p</i> = 0.009) and group 3 (<i>p</i> = 0.009), while PPP values decreased significantly in both groups (group 2: <i>p</i> = 0.016; group 3: <i>p</i> = 0.041) post-intervention. Group 1 showed a significant reduction in muscle tone (<i>p</i> < 0.001), and group 2 in muscle stiffness (<i>p</i> = 0.036). Muscle elasticity significantly improved in all groups: group 1 (<i>p</i> = 0.022), group 2 (<i>p</i> = 0.001), and group 3 (<i>p</i> = 0.042). <b>Conclusions:</b> IC applied with a constant force at the individual's pain perception threshold effectively elevates the pain threshold and enhances the biomechanical parameters of muscle fibers in the trigger point area.</p>\",\"PeriodicalId\":45306,\"journal\":{\"name\":\"Clinics and Practice\",\"volume\":\"15 7\",\"pages\":\"\"},\"PeriodicalIF\":2.2000,\"publicationDate\":\"2025-07-01\",\"publicationTypes\":\"Journal Article\",\"fieldsOfStudy\":null,\"isOpenAccess\":false,\"openAccessPdf\":\"https://www.ncbi.nlm.nih.gov/pmc/articles/PMC12293459/pdf/\",\"citationCount\":\"0\",\"resultStr\":null,\"platform\":\"Semanticscholar\",\"paperid\":null,\"PeriodicalName\":\"Clinics and Practice\",\"FirstCategoryId\":\"1085\",\"ListUrlMain\":\"https://doi.org/10.3390/clinpract15070125\",\"RegionNum\":0,\"RegionCategory\":null,\"ArticlePicture\":[],\"TitleCN\":null,\"AbstractTextCN\":null,\"PMCID\":null,\"EPubDate\":\"\",\"PubModel\":\"\",\"JCR\":\"Q2\",\"JCRName\":\"MEDICINE, GENERAL & INTERNAL\",\"Score\":null,\"Total\":0}","platform":"Semanticscholar","paperid":null,"PeriodicalName":"Clinics and Practice","FirstCategoryId":"1085","ListUrlMain":"https://doi.org/10.3390/clinpract15070125","RegionNum":0,"RegionCategory":null,"ArticlePicture":[],"TitleCN":null,"AbstractTextCN":null,"PMCID":null,"EPubDate":"","PubModel":"","JCR":"Q2","JCRName":"MEDICINE, GENERAL & INTERNAL","Score":null,"Total":0}
引用次数: 0

摘要

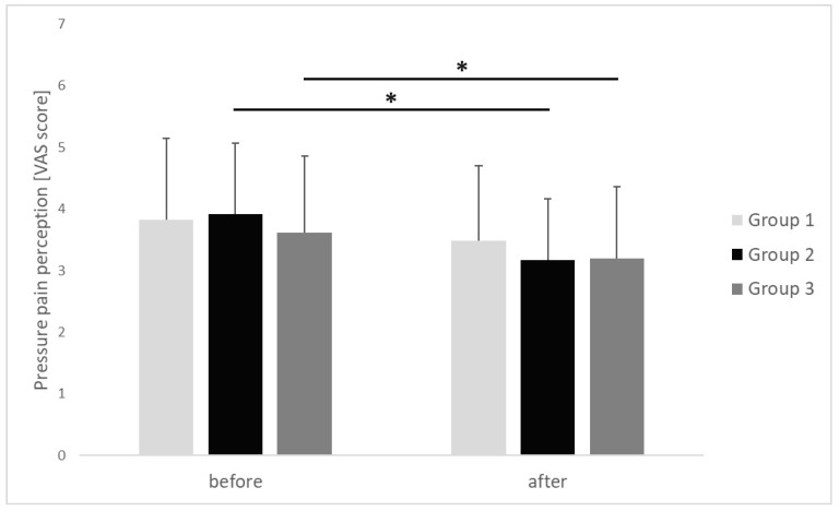
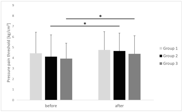
背景:肌筋膜触发点(MTrPs)是骨骼肌纤维紧绷带内的高激点,通常发生在负荷过重的肌肉中。缺血压迫(IC)是MTrP治疗中常用的治疗技术。材料和方法:纳入了79名上斜方肌MTrPs的参与者。使用了三种IC协议。1组压缩力增加1次;第二组,两次;在第三组,三次——每次达到疼痛阈值,然后保持不变,直到疼痛消退。评估包括压痛阈值(PPT)、压痛感知(PPP)和肌测测量。结果:2组、3组患者PPT值均显著升高(p = 0.009), PPP值均显著降低(2组:p = 0.016;第三组:p = 0.041)。1组肌肉张力显著降低(p < 0.001), 2组肌肉僵硬度显著降低(p = 0.036)。各组肌肉弹性均显著改善:1组(p = 0.022)、2组(p = 0.001)、3组(p = 0.042)。结论:在个体痛觉阈处施加恒定力的IC可有效提高痛觉阈值,增强触发点区域肌纤维的生物力学参数。
本文章由计算机程序翻译,如有差异,请以英文原文为准。

Immediate Effects of Multiple Ischemic Compression Applications on Pain Sensitivity and Biomechanical Properties of Myofascial Trigger Points.

Immediate Effects of Multiple Ischemic Compression Applications on Pain Sensitivity and Biomechanical Properties of Myofascial Trigger Points.

Immediate Effects of Multiple Ischemic Compression Applications on Pain Sensitivity and Biomechanical Properties of Myofascial Trigger Points.

Immediate Effects of Multiple Ischemic Compression Applications on Pain Sensitivity and Biomechanical Properties of Myofascial Trigger Points.

Background: Myofascial trigger points (MTrPs) are hyperirritable spots within taut bands of skeletal muscle fibers, often developing in overloaded muscles. Ischemic compression (IC) is a frequently used therapeutic technique for MTrP treatment. Material and Methods: Seventy-nine participants with MTrPs in the upper trapezius muscle were included. Three IC protocols were used. In group 1, the compression force was increased once; in group 2, twice; and in group 3, three times-each time up to the pain threshold, then held constant until the pain subsided. Evaluations included pressure pain threshold (PPT), pressure pain perception (PPP), and myotonometric measurements. Results: PPT values increased significantly in group 2 (p = 0.009) and group 3 (p = 0.009), while PPP values decreased significantly in both groups (group 2: p = 0.016; group 3: p = 0.041) post-intervention. Group 1 showed a significant reduction in muscle tone (p < 0.001), and group 2 in muscle stiffness (p = 0.036). Muscle elasticity significantly improved in all groups: group 1 (p = 0.022), group 2 (p = 0.001), and group 3 (p = 0.042). Conclusions: IC applied with a constant force at the individual's pain perception threshold effectively elevates the pain threshold and enhances the biomechanical parameters of muscle fibers in the trigger point area.

求助全文
通过发布文献求助,成功后即可免费获取论文全文。 去求助
来源期刊
Clinics and Practice
Clinics and Practice MEDICINE, GENERAL & INTERNAL-
CiteScore
2.60
自引率
4.30%
发文量
91
审稿时长
10 weeks
×
引用
GB/T 7714-2015
复制
MLA
复制
APA
复制
导出至
BibTeX EndNote RefMan NoteFirst NoteExpress
×
提示
您的信息不完整,为了账户安全,请先补充。
现在去补充
×
提示
您因"违规操作"
具体请查看互助需知
我知道了
×
提示
确定
请完成安全验证×
copy
已复制链接
快去分享给好友吧!
我知道了
右上角分享
点击右上角分享
0
联系我们:info@booksci.cn Book学术提供免费学术资源搜索服务,方便国内外学者检索中英文文献。致力于提供最便捷和优质的服务体验。 Copyright © 2023 布克学术 All rights reserved.
京ICP备2023020795号-1
ghs 京公网安备 11010802042870号
Book学术文献互助
Book学术文献互助群
群 号:604180095
Book学术官方微信