通过引流液/血清淀粉酶比值早期检测结直肠手术患者吻合口漏,特别是回肠吻合。

IF 2.8 4区 医学 Q1 MEDICINE, GENERAL & INTERNAL
Jong Min Lee, Jeehye Lee, Taehyung Kim, Nam Kyu Kim
{"title":"通过引流液/血清淀粉酶比值早期检测结直肠手术患者吻合口漏,特别是回肠吻合。","authors":"Jong Min Lee, Jeehye Lee, Taehyung Kim, Nam Kyu Kim","doi":"10.3349/ymj.2024.0431","DOIUrl":null,"url":null,"abstract":"<p><strong>Purpose: </strong>A high index of suspicion is crucial for early anastomotic leak (AL) diagnosis, enabling timely intervention and conservative management. Although recent studies have highlighted the potential of drain amylase (dAmy) as a predictive marker for AL, its application in colorectal surgery remains underexplored.</p><p><strong>Materials and methods: </strong>A retrospective study was conducted among patients who underwent colorectal resection between March 2020 and November 2023. A total of 299 patients with at least one dAmy and serum amylase (sAmy) measurement between postoperative days 1 to 5 were included, after excluding patients with fecal diversion.</p><p><strong>Results: </strong>Multiple logistic regression identified the drain/serum amylase ratio (d/s Amy) as an independent predictor of AL (odds ratio 1.032, 95% confidence interval 1.009-1.056; <i>p</i>=0.007). The receiver operating characteristic curve demonstrated significant diagnostic ability for AL [area under the curve (AUC)=0.691], with a cut-off value of 2.54, a sensitivity of 48.4%, and a specificity of 94.2%. Patients with d/s Amy ≥2.54 had a significantly higher incidence of AL with a faster diagnosis compared to conventional methods (3.5 days vs. 5 days, <i>p</i>=0.006). In patients who underwent ileal anastomosis, the d/s Amy ratio had an AUC of 0.936, with a sensitivity of 87.5% and a specificity of 96.6%.</p><p><strong>Conclusion: </strong>The postoperative d/s Amy ratio is valuable for early AL detection in patients undergoing colorectal surgery, particularly in those with ileal anastomosis. This simple and noninvasive test can aid in timely diagnosis, offering earlier intervention compared with conventional methods.</p>","PeriodicalId":23765,"journal":{"name":"Yonsei Medical Journal","volume":"66 8","pages":"482-490"},"PeriodicalIF":2.8000,"publicationDate":"2025-08-01","publicationTypes":"Journal Article","fieldsOfStudy":null,"isOpenAccess":false,"openAccessPdf":"https://www.ncbi.nlm.nih.gov/pmc/articles/PMC12303673/pdf/","citationCount":"0","resultStr":"{\"title\":\"Early Detection of Anastomotic Leak via the Drain/Serum Amylase Ratio in Patients Undergoing Colorectal Surgery, Particularly in Ileal Anastomosis.\",\"authors\":\"Jong Min Lee, Jeehye Lee, Taehyung Kim, Nam Kyu Kim\",\"doi\":\"10.3349/ymj.2024.0431\",\"DOIUrl\":null,\"url\":null,\"abstract\":\"<p><strong>Purpose: </strong>A high index of suspicion is crucial for early anastomotic leak (AL) diagnosis, enabling timely intervention and conservative management. Although recent studies have highlighted the potential of drain amylase (dAmy) as a predictive marker for AL, its application in colorectal surgery remains underexplored.</p><p><strong>Materials and methods: </strong>A retrospective study was conducted among patients who underwent colorectal resection between March 2020 and November 2023. A total of 299 patients with at least one dAmy and serum amylase (sAmy) measurement between postoperative days 1 to 5 were included, after excluding patients with fecal diversion.</p><p><strong>Results: </strong>Multiple logistic regression identified the drain/serum amylase ratio (d/s Amy) as an independent predictor of AL (odds ratio 1.032, 95% confidence interval 1.009-1.056; <i>p</i>=0.007). The receiver operating characteristic curve demonstrated significant diagnostic ability for AL [area under the curve (AUC)=0.691], with a cut-off value of 2.54, a sensitivity of 48.4%, and a specificity of 94.2%. Patients with d/s Amy ≥2.54 had a significantly higher incidence of AL with a faster diagnosis compared to conventional methods (3.5 days vs. 5 days, <i>p</i>=0.006). In patients who underwent ileal anastomosis, the d/s Amy ratio had an AUC of 0.936, with a sensitivity of 87.5% and a specificity of 96.6%.</p><p><strong>Conclusion: </strong>The postoperative d/s Amy ratio is valuable for early AL detection in patients undergoing colorectal surgery, particularly in those with ileal anastomosis. This simple and noninvasive test can aid in timely diagnosis, offering earlier intervention compared with conventional methods.</p>\",\"PeriodicalId\":23765,\"journal\":{\"name\":\"Yonsei Medical Journal\",\"volume\":\"66 8\",\"pages\":\"482-490\"},\"PeriodicalIF\":2.8000,\"publicationDate\":\"2025-08-01\",\"publicationTypes\":\"Journal Article\",\"fieldsOfStudy\":null,\"isOpenAccess\":false,\"openAccessPdf\":\"https://www.ncbi.nlm.nih.gov/pmc/articles/PMC12303673/pdf/\",\"citationCount\":\"0\",\"resultStr\":null,\"platform\":\"Semanticscholar\",\"paperid\":null,\"PeriodicalName\":\"Yonsei Medical Journal\",\"FirstCategoryId\":\"3\",\"ListUrlMain\":\"https://doi.org/10.3349/ymj.2024.0431\",\"RegionNum\":4,\"RegionCategory\":\"医学\",\"ArticlePicture\":[],\"TitleCN\":null,\"AbstractTextCN\":null,\"PMCID\":null,\"EPubDate\":\"\",\"PubModel\":\"\",\"JCR\":\"Q1\",\"JCRName\":\"MEDICINE, GENERAL & INTERNAL\",\"Score\":null,\"Total\":0}","platform":"Semanticscholar","paperid":null,"PeriodicalName":"Yonsei Medical Journal","FirstCategoryId":"3","ListUrlMain":"https://doi.org/10.3349/ymj.2024.0431","RegionNum":4,"RegionCategory":"医学","ArticlePicture":[],"TitleCN":null,"AbstractTextCN":null,"PMCID":null,"EPubDate":"","PubModel":"","JCR":"Q1","JCRName":"MEDICINE, GENERAL & INTERNAL","Score":null,"Total":0}
引用次数: 0

摘要

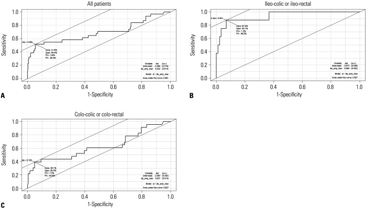
目的:高怀疑指数对吻合口瘘早期诊断、及时干预和保守处理至关重要。尽管最近的研究强调了引流淀粉酶(dAmy)作为AL预测标志物的潜力,但其在结直肠手术中的应用仍未得到充分探索。材料和方法:对2020年3月至2023年11月期间接受结肠直肠切除术的患者进行回顾性研究。在排除粪便分流患者后,共纳入299例术后1至5天至少进行一次dAmy和血清淀粉酶(sAmy)测量的患者。结果:多因素logistic回归发现漏液/血清淀粉酶比(d/s Amy)是AL的独立预测因子(优势比1.032,95%置信区间1.009-1.056;p = 0.007)。受试者工作特征曲线对AL具有显著的诊断能力[曲线下面积(AUC)=0.691],截断值为2.54,敏感性为48.4%,特异性为94.2%。与常规方法相比,d/s Amy≥2.54的患者AL发生率明显更高,诊断速度更快(3.5天vs 5天,p=0.006)。在行回肠吻合的患者中,d/s Amy的AUC为0.936,敏感性为87.5%,特异性为96.6%。结论:术后d/s Amy比值对结直肠手术患者,特别是回肠吻合术患者的早期AL检测具有重要价值。与传统方法相比,这种简单且无创的检测有助于及时诊断,提供早期干预。
本文章由计算机程序翻译,如有差异,请以英文原文为准。

Early Detection of Anastomotic Leak via the Drain/Serum Amylase Ratio in Patients Undergoing Colorectal Surgery, Particularly in Ileal Anastomosis.

Early Detection of Anastomotic Leak via the Drain/Serum Amylase Ratio in Patients Undergoing Colorectal Surgery, Particularly in Ileal Anastomosis.

Early Detection of Anastomotic Leak via the Drain/Serum Amylase Ratio in Patients Undergoing Colorectal Surgery, Particularly in Ileal Anastomosis.

Early Detection of Anastomotic Leak via the Drain/Serum Amylase Ratio in Patients Undergoing Colorectal Surgery, Particularly in Ileal Anastomosis.

Purpose: A high index of suspicion is crucial for early anastomotic leak (AL) diagnosis, enabling timely intervention and conservative management. Although recent studies have highlighted the potential of drain amylase (dAmy) as a predictive marker for AL, its application in colorectal surgery remains underexplored.

Materials and methods: A retrospective study was conducted among patients who underwent colorectal resection between March 2020 and November 2023. A total of 299 patients with at least one dAmy and serum amylase (sAmy) measurement between postoperative days 1 to 5 were included, after excluding patients with fecal diversion.

Results: Multiple logistic regression identified the drain/serum amylase ratio (d/s Amy) as an independent predictor of AL (odds ratio 1.032, 95% confidence interval 1.009-1.056; p=0.007). The receiver operating characteristic curve demonstrated significant diagnostic ability for AL [area under the curve (AUC)=0.691], with a cut-off value of 2.54, a sensitivity of 48.4%, and a specificity of 94.2%. Patients with d/s Amy ≥2.54 had a significantly higher incidence of AL with a faster diagnosis compared to conventional methods (3.5 days vs. 5 days, p=0.006). In patients who underwent ileal anastomosis, the d/s Amy ratio had an AUC of 0.936, with a sensitivity of 87.5% and a specificity of 96.6%.

Conclusion: The postoperative d/s Amy ratio is valuable for early AL detection in patients undergoing colorectal surgery, particularly in those with ileal anastomosis. This simple and noninvasive test can aid in timely diagnosis, offering earlier intervention compared with conventional methods.

求助全文
通过发布文献求助,成功后即可免费获取论文全文。 去求助
来源期刊
Yonsei Medical Journal
Yonsei Medical Journal 医学-医学:内科
CiteScore
4.50
自引率
0.00%
发文量
167
审稿时长
3 months
期刊介绍: The goal of the Yonsei Medical Journal (YMJ) is to publish high quality manuscripts dedicated to clinical or basic research. Any authors affiliated with an accredited biomedical institution may submit manuscripts of original articles, review articles, case reports, brief communications, and letters to the Editor.
×
引用
GB/T 7714-2015
复制
MLA
复制
APA
复制
导出至
BibTeX EndNote RefMan NoteFirst NoteExpress
×
提示
您的信息不完整,为了账户安全,请先补充。
现在去补充
×
提示
您因"违规操作"
具体请查看互助需知
我知道了
×
提示
确定
请完成安全验证×
copy
已复制链接
快去分享给好友吧!
我知道了
右上角分享
点击右上角分享
0
联系我们:info@booksci.cn Book学术提供免费学术资源搜索服务,方便国内外学者检索中英文文献。致力于提供最便捷和优质的服务体验。 Copyright © 2023 布克学术 All rights reserved.
京ICP备2023020795号-1
ghs 京公网安备 11010802042870号
Book学术文献互助
Book学术文献互助群
群 号:604180095
Book学术官方微信