认知刺激计划对老年人轻度神经认知障碍的有效性:随机对照试验中fNIRS分析的见解。

IF 3 Q2 CLINICAL NEUROLOGY
Susana I Justo-Henriques, Rosa C G Silva, Janessa O Carvalho, João L A Apóstolo, Débora Nogueira, Telmo A S Pereira
{"title":"认知刺激计划对老年人轻度神经认知障碍的有效性:随机对照试验中fNIRS分析的见解。","authors":"Susana I Justo-Henriques, Rosa C G Silva, Janessa O Carvalho, João L A Apóstolo, Débora Nogueira, Telmo A S Pereira","doi":"10.3390/neurolint17070108","DOIUrl":null,"url":null,"abstract":"<p><strong>Background/objectives: </strong>Neurocognitive disorders (NCDs) encompass a spectrum of conditions that significantly impact cognitive domains, including attention, memory, and language. Mild NCD, increasingly prevalent with aging, represents an early stage of these disorders, characterized by cognitive deficits that do not interfere with daily functioning. Non-pharmacological therapies, especially cognitive stimulation, are widely recommended to preserve cognitive function of older adults. This study aimed to evaluate the effectiveness of a 12-week individual cognitive stimulation (iCS) program on cognitive performance, mood, and prefrontal cortex activation in older adults with mild NCD using a single-blind, randomized, parallel two-arm RCT.</p><p><strong>Methods: </strong>A sample of 36 older adults were selected from a central region of Portugal. The intervention group (<i>n</i> = 18) received 24 iCS sessions, twice weekly for 12 weeks. The control group (<i>n</i> = 18) completed their regularly scheduled activities. Outcomes included global cognitive function, executive functioning, and mood. All participants were assessed at baseline and after the intervention. Functional near infra-red spectroscopy (fNIRS) was also collected to measure prefrontal cortex activity at both time points in the intervention group.</p><p><strong>Results: </strong>The intervention group showed a significant improvement in global cognition and executive functions, and reduced depressive symptomatology compared to the control group. fNIRS data revealed enhanced activation and functional efficiency in the lateral prefrontal cortex following the iCS program. Adherence and degree of collaboration to the intervention were very high.</p><p><strong>Conclusions: </strong>These findings suggest that iCS is an effective approach to improving cognitive function and mood in mildly cognitively impaired older adults.</p>","PeriodicalId":19130,"journal":{"name":"Neurology International","volume":"17 7","pages":""},"PeriodicalIF":3.0000,"publicationDate":"2025-07-15","publicationTypes":"Journal Article","fieldsOfStudy":null,"isOpenAccess":false,"openAccessPdf":"https://www.ncbi.nlm.nih.gov/pmc/articles/PMC12298109/pdf/","citationCount":"0","resultStr":"{\"title\":\"Effectiveness of a Cognitive Stimulation Program in Older Adults with Mild Neurocognitive Disorder: Insights from fNIRS Analysis in a Randomized Controlled Trial.\",\"authors\":\"Susana I Justo-Henriques, Rosa C G Silva, Janessa O Carvalho, João L A Apóstolo, Débora Nogueira, Telmo A S Pereira\",\"doi\":\"10.3390/neurolint17070108\",\"DOIUrl\":null,\"url\":null,\"abstract\":\"<p><strong>Background/objectives: </strong>Neurocognitive disorders (NCDs) encompass a spectrum of conditions that significantly impact cognitive domains, including attention, memory, and language. Mild NCD, increasingly prevalent with aging, represents an early stage of these disorders, characterized by cognitive deficits that do not interfere with daily functioning. Non-pharmacological therapies, especially cognitive stimulation, are widely recommended to preserve cognitive function of older adults. This study aimed to evaluate the effectiveness of a 12-week individual cognitive stimulation (iCS) program on cognitive performance, mood, and prefrontal cortex activation in older adults with mild NCD using a single-blind, randomized, parallel two-arm RCT.</p><p><strong>Methods: </strong>A sample of 36 older adults were selected from a central region of Portugal. The intervention group (<i>n</i> = 18) received 24 iCS sessions, twice weekly for 12 weeks. The control group (<i>n</i> = 18) completed their regularly scheduled activities. Outcomes included global cognitive function, executive functioning, and mood. All participants were assessed at baseline and after the intervention. Functional near infra-red spectroscopy (fNIRS) was also collected to measure prefrontal cortex activity at both time points in the intervention group.</p><p><strong>Results: </strong>The intervention group showed a significant improvement in global cognition and executive functions, and reduced depressive symptomatology compared to the control group. fNIRS data revealed enhanced activation and functional efficiency in the lateral prefrontal cortex following the iCS program. Adherence and degree of collaboration to the intervention were very high.</p><p><strong>Conclusions: </strong>These findings suggest that iCS is an effective approach to improving cognitive function and mood in mildly cognitively impaired older adults.</p>\",\"PeriodicalId\":19130,\"journal\":{\"name\":\"Neurology International\",\"volume\":\"17 7\",\"pages\":\"\"},\"PeriodicalIF\":3.0000,\"publicationDate\":\"2025-07-15\",\"publicationTypes\":\"Journal Article\",\"fieldsOfStudy\":null,\"isOpenAccess\":false,\"openAccessPdf\":\"https://www.ncbi.nlm.nih.gov/pmc/articles/PMC12298109/pdf/\",\"citationCount\":\"0\",\"resultStr\":null,\"platform\":\"Semanticscholar\",\"paperid\":null,\"PeriodicalName\":\"Neurology International\",\"FirstCategoryId\":\"1085\",\"ListUrlMain\":\"https://doi.org/10.3390/neurolint17070108\",\"RegionNum\":0,\"RegionCategory\":null,\"ArticlePicture\":[],\"TitleCN\":null,\"AbstractTextCN\":null,\"PMCID\":null,\"EPubDate\":\"\",\"PubModel\":\"\",\"JCR\":\"Q2\",\"JCRName\":\"CLINICAL NEUROLOGY\",\"Score\":null,\"Total\":0}","platform":"Semanticscholar","paperid":null,"PeriodicalName":"Neurology International","FirstCategoryId":"1085","ListUrlMain":"https://doi.org/10.3390/neurolint17070108","RegionNum":0,"RegionCategory":null,"ArticlePicture":[],"TitleCN":null,"AbstractTextCN":null,"PMCID":null,"EPubDate":"","PubModel":"","JCR":"Q2","JCRName":"CLINICAL NEUROLOGY","Score":null,"Total":0}
引用次数: 0

摘要

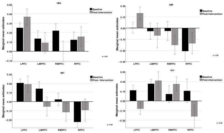
背景/目的:神经认知障碍(NCDs)包括一系列显著影响认知领域的疾病,包括注意力、记忆和语言。轻度非传染性疾病随着年龄的增长而日益普遍,它代表了这些疾病的早期阶段,其特征是不影响日常功能的认知缺陷。非药物治疗,尤其是认知刺激,被广泛推荐用于保护老年人的认知功能。本研究旨在通过单盲、随机、平行两组随机对照试验,评估为期12周的个体认知刺激(iCS)计划对轻度非传染性疾病老年人认知表现、情绪和前额皮质激活的有效性。方法:从葡萄牙中部地区选取36名老年人作为样本。干预组(n = 18)接受24次ic治疗,每周2次,持续12周。对照组(n = 18)完成了定期安排的活动。结果包括整体认知功能、执行功能和情绪。在基线和干预后对所有参与者进行评估。还收集了功能近红外光谱(fNIRS)来测量干预组在两个时间点的前额皮质活动。结果:与对照组相比,干预组整体认知和执行功能明显改善,抑郁症状明显减轻。近红外光谱(fNIRS)数据显示,ic计划后,外侧前额叶皮层的激活和功能效率增强。对干预的依从性和合作程度非常高。结论:这些发现表明,ic是改善轻度认知障碍老年人认知功能和情绪的有效方法。
本文章由计算机程序翻译,如有差异,请以英文原文为准。

Effectiveness of a Cognitive Stimulation Program in Older Adults with Mild Neurocognitive Disorder: Insights from fNIRS Analysis in a Randomized Controlled Trial.

Effectiveness of a Cognitive Stimulation Program in Older Adults with Mild Neurocognitive Disorder: Insights from fNIRS Analysis in a Randomized Controlled Trial.

Effectiveness of a Cognitive Stimulation Program in Older Adults with Mild Neurocognitive Disorder: Insights from fNIRS Analysis in a Randomized Controlled Trial.

Effectiveness of a Cognitive Stimulation Program in Older Adults with Mild Neurocognitive Disorder: Insights from fNIRS Analysis in a Randomized Controlled Trial.

Background/objectives: Neurocognitive disorders (NCDs) encompass a spectrum of conditions that significantly impact cognitive domains, including attention, memory, and language. Mild NCD, increasingly prevalent with aging, represents an early stage of these disorders, characterized by cognitive deficits that do not interfere with daily functioning. Non-pharmacological therapies, especially cognitive stimulation, are widely recommended to preserve cognitive function of older adults. This study aimed to evaluate the effectiveness of a 12-week individual cognitive stimulation (iCS) program on cognitive performance, mood, and prefrontal cortex activation in older adults with mild NCD using a single-blind, randomized, parallel two-arm RCT.

Methods: A sample of 36 older adults were selected from a central region of Portugal. The intervention group (n = 18) received 24 iCS sessions, twice weekly for 12 weeks. The control group (n = 18) completed their regularly scheduled activities. Outcomes included global cognitive function, executive functioning, and mood. All participants were assessed at baseline and after the intervention. Functional near infra-red spectroscopy (fNIRS) was also collected to measure prefrontal cortex activity at both time points in the intervention group.

Results: The intervention group showed a significant improvement in global cognition and executive functions, and reduced depressive symptomatology compared to the control group. fNIRS data revealed enhanced activation and functional efficiency in the lateral prefrontal cortex following the iCS program. Adherence and degree of collaboration to the intervention were very high.

Conclusions: These findings suggest that iCS is an effective approach to improving cognitive function and mood in mildly cognitively impaired older adults.

求助全文
通过发布文献求助,成功后即可免费获取论文全文。 去求助
来源期刊
Neurology International
Neurology International CLINICAL NEUROLOGY-
CiteScore
3.70
自引率
3.30%
发文量
69
审稿时长
11 weeks
×
引用
GB/T 7714-2015
复制
MLA
复制
APA
复制
导出至
BibTeX EndNote RefMan NoteFirst NoteExpress
×
提示
您的信息不完整,为了账户安全,请先补充。
现在去补充
×
提示
您因"违规操作"
具体请查看互助需知
我知道了
×
提示
确定
请完成安全验证×
copy
已复制链接
快去分享给好友吧!
我知道了
右上角分享
点击右上角分享
0
联系我们:info@booksci.cn Book学术提供免费学术资源搜索服务,方便国内外学者检索中英文文献。致力于提供最便捷和优质的服务体验。 Copyright © 2023 布克学术 All rights reserved.
京ICP备2023020795号-1
ghs 京公网安备 11010802042870号
Book学术文献互助
Book学术文献互助群
群 号:604180095
Book学术官方微信