重新评估多糖反应性:揭示当前指南的局限性并引入多糖反应性百分位数法。

IF 5.7 2区 医学 Q1 IMMUNOLOGY
Stine Fischer Fogsgaard, Sonia Todaro, Carsten Schade Larsen, Charlotte Sværke Jørgensen, Jens Magnus Bernth Jensen
{"title":"重新评估多糖反应性:揭示当前指南的局限性并引入多糖反应性百分位数法。","authors":"Stine Fischer Fogsgaard, Sonia Todaro, Carsten Schade Larsen, Charlotte Sværke Jørgensen, Jens Magnus Bernth Jensen","doi":"10.1007/s10875-025-01915-w","DOIUrl":null,"url":null,"abstract":"<p><strong>Background: </strong>The assessment of polysaccharide responsiveness via vaccination is pivotal in the evaluation of patients for primary immunodeficiency. However, the applicability of current guidelines provided by the American Academy of Allergy, Asthma & Immunology (AAAAI) has been subject to scrutiny.</p><p><strong>Methods: </strong>We conducted a prospective study involving 120 healthy Danish adult blood donors. Antibodies targeting pneumococcal capsular polysaccharide serotypes were quantified using a multianalyte bead immunoassay before and four to eight weeks post-vaccination. Polysaccharide responsiveness in donors was assessed according to AAAAI guidelines.</p><p><strong>Results: </strong>Remarkably, only a minority of participants (2.5%) demonstrated a normal polysaccharide response per AAAAI criteria. This finding prompted us to advocate for an alternative approach based on percentile rankings relative to a reference population. Polysaccharide Responsiveness Percentile (PRP) was not significantly associated with age, sex, vaccine batch, or the duration between vaccination and antibody measurements in our cohort supporting its robustness, generalizability, and potential for standardized clinical application.</p><p><strong>Conclusion: </strong>Our study unveils significant limitations of the AAAAI guidelines, highlighting the imperative for a more robust and adaptable approach. By introducing a novel PRP assessment method, we aim to enhance the accuracy and reliability of immune function evaluations.</p>","PeriodicalId":15531,"journal":{"name":"Journal of Clinical Immunology","volume":"45 1","pages":"115"},"PeriodicalIF":5.7000,"publicationDate":"2025-07-25","publicationTypes":"Journal Article","fieldsOfStudy":null,"isOpenAccess":false,"openAccessPdf":"https://www.ncbi.nlm.nih.gov/pmc/articles/PMC12296993/pdf/","citationCount":"0","resultStr":"{\"title\":\"Reassessing Polysaccharide Responsiveness: Unveiling Limitations of Current Guidelines and Introducing the Polysaccharide Responsiveness Percentile Approach.\",\"authors\":\"Stine Fischer Fogsgaard, Sonia Todaro, Carsten Schade Larsen, Charlotte Sværke Jørgensen, Jens Magnus Bernth Jensen\",\"doi\":\"10.1007/s10875-025-01915-w\",\"DOIUrl\":null,\"url\":null,\"abstract\":\"<p><strong>Background: </strong>The assessment of polysaccharide responsiveness via vaccination is pivotal in the evaluation of patients for primary immunodeficiency. However, the applicability of current guidelines provided by the American Academy of Allergy, Asthma & Immunology (AAAAI) has been subject to scrutiny.</p><p><strong>Methods: </strong>We conducted a prospective study involving 120 healthy Danish adult blood donors. Antibodies targeting pneumococcal capsular polysaccharide serotypes were quantified using a multianalyte bead immunoassay before and four to eight weeks post-vaccination. Polysaccharide responsiveness in donors was assessed according to AAAAI guidelines.</p><p><strong>Results: </strong>Remarkably, only a minority of participants (2.5%) demonstrated a normal polysaccharide response per AAAAI criteria. This finding prompted us to advocate for an alternative approach based on percentile rankings relative to a reference population. Polysaccharide Responsiveness Percentile (PRP) was not significantly associated with age, sex, vaccine batch, or the duration between vaccination and antibody measurements in our cohort supporting its robustness, generalizability, and potential for standardized clinical application.</p><p><strong>Conclusion: </strong>Our study unveils significant limitations of the AAAAI guidelines, highlighting the imperative for a more robust and adaptable approach. By introducing a novel PRP assessment method, we aim to enhance the accuracy and reliability of immune function evaluations.</p>\",\"PeriodicalId\":15531,\"journal\":{\"name\":\"Journal of Clinical Immunology\",\"volume\":\"45 1\",\"pages\":\"115\"},\"PeriodicalIF\":5.7000,\"publicationDate\":\"2025-07-25\",\"publicationTypes\":\"Journal Article\",\"fieldsOfStudy\":null,\"isOpenAccess\":false,\"openAccessPdf\":\"https://www.ncbi.nlm.nih.gov/pmc/articles/PMC12296993/pdf/\",\"citationCount\":\"0\",\"resultStr\":null,\"platform\":\"Semanticscholar\",\"paperid\":null,\"PeriodicalName\":\"Journal of Clinical Immunology\",\"FirstCategoryId\":\"3\",\"ListUrlMain\":\"https://doi.org/10.1007/s10875-025-01915-w\",\"RegionNum\":2,\"RegionCategory\":\"医学\",\"ArticlePicture\":[],\"TitleCN\":null,\"AbstractTextCN\":null,\"PMCID\":null,\"EPubDate\":\"\",\"PubModel\":\"\",\"JCR\":\"Q1\",\"JCRName\":\"IMMUNOLOGY\",\"Score\":null,\"Total\":0}","platform":"Semanticscholar","paperid":null,"PeriodicalName":"Journal of Clinical Immunology","FirstCategoryId":"3","ListUrlMain":"https://doi.org/10.1007/s10875-025-01915-w","RegionNum":2,"RegionCategory":"医学","ArticlePicture":[],"TitleCN":null,"AbstractTextCN":null,"PMCID":null,"EPubDate":"","PubModel":"","JCR":"Q1","JCRName":"IMMUNOLOGY","Score":null,"Total":0}
引用次数: 0

摘要

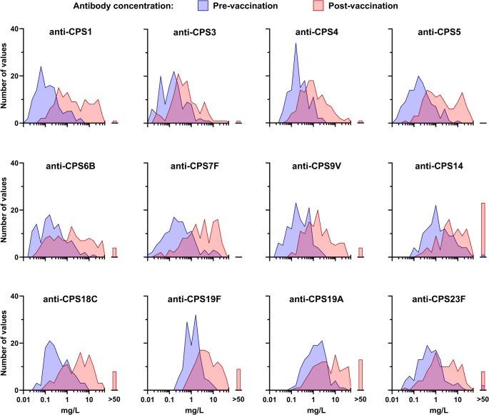
背景:通过疫苗接种评估多糖反应性是评价原发性免疫缺陷患者的关键。然而,美国过敏、哮喘和免疫学学会(AAAAI)提供的现行指南的适用性一直受到审查。方法:我们进行了一项前瞻性研究,涉及120名健康的丹麦成年献血者。针对肺炎球菌荚膜多糖血清型的抗体在接种前和接种后4至8周使用多分析珠免疫分析法进行定量。根据AAAAI指南评估供体的多糖反应性。结果:值得注意的是,根据AAAAI标准,只有少数参与者(2.5%)表现出正常的多糖反应。这一发现促使我们提倡一种基于相对于参考人群的百分位排名的替代方法。多糖反应性百分位数(PRP)与年龄、性别、疫苗批次或接种疫苗和抗体测量之间的时间间隔无显著相关性,支持其稳健性、通用性和标准化临床应用的潜力。结论:我们的研究揭示了AAAAI指南的重大局限性,强调了一个更强大和适应性更强的方法的必要性。通过引入一种新的PRP评估方法,旨在提高免疫功能评估的准确性和可靠性。
本文章由计算机程序翻译,如有差异,请以英文原文为准。

Reassessing Polysaccharide Responsiveness: Unveiling Limitations of Current Guidelines and Introducing the Polysaccharide Responsiveness Percentile Approach.

Reassessing Polysaccharide Responsiveness: Unveiling Limitations of Current Guidelines and Introducing the Polysaccharide Responsiveness Percentile Approach.

Reassessing Polysaccharide Responsiveness: Unveiling Limitations of Current Guidelines and Introducing the Polysaccharide Responsiveness Percentile Approach.

Reassessing Polysaccharide Responsiveness: Unveiling Limitations of Current Guidelines and Introducing the Polysaccharide Responsiveness Percentile Approach.

Background: The assessment of polysaccharide responsiveness via vaccination is pivotal in the evaluation of patients for primary immunodeficiency. However, the applicability of current guidelines provided by the American Academy of Allergy, Asthma & Immunology (AAAAI) has been subject to scrutiny.

Methods: We conducted a prospective study involving 120 healthy Danish adult blood donors. Antibodies targeting pneumococcal capsular polysaccharide serotypes were quantified using a multianalyte bead immunoassay before and four to eight weeks post-vaccination. Polysaccharide responsiveness in donors was assessed according to AAAAI guidelines.

Results: Remarkably, only a minority of participants (2.5%) demonstrated a normal polysaccharide response per AAAAI criteria. This finding prompted us to advocate for an alternative approach based on percentile rankings relative to a reference population. Polysaccharide Responsiveness Percentile (PRP) was not significantly associated with age, sex, vaccine batch, or the duration between vaccination and antibody measurements in our cohort supporting its robustness, generalizability, and potential for standardized clinical application.

Conclusion: Our study unveils significant limitations of the AAAAI guidelines, highlighting the imperative for a more robust and adaptable approach. By introducing a novel PRP assessment method, we aim to enhance the accuracy and reliability of immune function evaluations.

求助全文
通过发布文献求助,成功后即可免费获取论文全文。 去求助
来源期刊
CiteScore
12.20
自引率
9.90%
发文量
218
审稿时长
2 months
期刊介绍: The Journal of Clinical Immunology publishes impactful papers in the realm of human immunology, delving into the diagnosis, pathogenesis, prognosis, or treatment of human diseases. The journal places particular emphasis on primary immunodeficiencies and related diseases, encompassing inborn errors of immunity in a broad sense, their underlying genotypes, and diverse phenotypes. These phenotypes include infection, malignancy, allergy, auto-inflammation, and autoimmunity. We welcome a broad spectrum of studies in this domain, spanning genetic discovery, clinical description, immunologic assessment, diagnostic approaches, prognosis evaluation, and treatment interventions. Case reports are considered if they are genuinely original and accompanied by a concise review of the relevant medical literature, illustrating how the novel case study advances the field. The instructions to authors provide detailed guidance on the four categories of papers accepted by the journal.
×
引用
GB/T 7714-2015
复制
MLA
复制
APA
复制
导出至
BibTeX EndNote RefMan NoteFirst NoteExpress
×
提示
您的信息不完整,为了账户安全,请先补充。
现在去补充
×
提示
您因"违规操作"
具体请查看互助需知
我知道了
×
提示
确定
请完成安全验证×
copy
已复制链接
快去分享给好友吧!
我知道了
右上角分享
点击右上角分享
0
联系我们:info@booksci.cn Book学术提供免费学术资源搜索服务,方便国内外学者检索中英文文献。致力于提供最便捷和优质的服务体验。 Copyright © 2023 布克学术 All rights reserved.
京ICP备2023020795号-1
ghs 京公网安备 11010802042870号
Book学术文献互助
Book学术文献互助群
群 号:604180095
Book学术官方微信