一项回顾性研究:中度低分割胸部放疗治疗老年和多病II/III期NSCLC患者的现实见解

IF 2.7 3区 医学 Q3 ONCOLOGY
Helene Kravutske, Sina Mansoorian, Lukas Käsmann, Janina Lehmann, Cedric Richlitzki, Diego Kauffmann-Guerrero, Nina-Sophie Schmidt-Hegemann, Niels Reinmuth, Amanda Tufman, Julien Dinkel, Richard Gaus, Farkhad Manapov, Claus Belka, Chukwuka Eze
{"title":"一项回顾性研究:中度低分割胸部放疗治疗老年和多病II/III期NSCLC患者的现实见解","authors":"Helene Kravutske, Sina Mansoorian, Lukas Käsmann, Janina Lehmann, Cedric Richlitzki, Diego Kauffmann-Guerrero, Nina-Sophie Schmidt-Hegemann, Niels Reinmuth, Amanda Tufman, Julien Dinkel, Richard Gaus, Farkhad Manapov, Claus Belka, Chukwuka Eze","doi":"10.2340/1651-226X.2025.43496","DOIUrl":null,"url":null,"abstract":"<p><strong>Purpose: </strong>Investigating real-world outcomes of moderately hypofractionated radiotherapy (hypoRT) in elderly and multimorbid stage IIB-IIIC non-small-cell lung cancer (NSCLC) patients ineligible for concurrent chemoradiation.</p><p><strong>Methods: </strong>We retrospectively analysed 70 patients with primary or recurrent stage IIB-IIIC NSCLC (TNM, 8th edition). HypoRT was administered to a total dose of 38-56 Gy in 10-17 fractions (2.5-3.8 Gy/fraction). Patterns of recurrence, survival outcome, and toxicity were assessed.</p><p><strong>Results: </strong>Seventy patients, with a median age of 76.4 years (range: 51.6-88.2 years), who received hypoRT between August 2015 and September 2022, were reviewed. At baseline, the median Charlson Comorbidity Index (CCI) with oncological diagnosis was 8 (range: 3-13). With a median follow-up post-radiotherapy of 63.9 months (95% Confidence Interval [CI]: 34.8-93.1 months), median progression-free survival (PFS) was 7.6 months (95% CI 6.0-11.0 months), and the median overall survival (OS) was 20.7 months (95% CI 16.7-30.7 months). Competing risk analysis revealed 12-month cumulative incidences of locoregional and distant failure in 41% (95% CI 30-53%) and 14% (95% CI 6-23%) of patients, respectively. Following disease progression, 45 patients received subsequent therapy: 25 underwent additional radiotherapy, 22 received systemic treatment (including immunotherapy), and 19 were referred for best supportive care. Treatment was well tolerated; only 3 patients (4%) developed grade 3 pneumonitis. No adverse events of grade > 3 were reported.</p><p><strong>Interpretation: </strong>Moderately hypoRT is a safe, feasible, and effective treatment option for elderly and multimorbid patients with stage IIB-IIIC NSCLC, offering encouraging survival outcomes and low toxicity rates. Future prospective studies are needed to validate these findings and optimise treatment strategies for this high-risk population.</p>","PeriodicalId":7110,"journal":{"name":"Acta Oncologica","volume":"64 ","pages":"957-965"},"PeriodicalIF":2.7000,"publicationDate":"2025-07-25","publicationTypes":"Journal Article","fieldsOfStudy":null,"isOpenAccess":false,"openAccessPdf":"https://www.ncbi.nlm.nih.gov/pmc/articles/PMC12308537/pdf/","citationCount":"0","resultStr":"{\"title\":\"Real-world insights into moderately hypofractionated thoracic radiotherapy in elderly and multimorbid patients with stage II/III NSCLC: a retrospective study.\",\"authors\":\"Helene Kravutske, Sina Mansoorian, Lukas Käsmann, Janina Lehmann, Cedric Richlitzki, Diego Kauffmann-Guerrero, Nina-Sophie Schmidt-Hegemann, Niels Reinmuth, Amanda Tufman, Julien Dinkel, Richard Gaus, Farkhad Manapov, Claus Belka, Chukwuka Eze\",\"doi\":\"10.2340/1651-226X.2025.43496\",\"DOIUrl\":null,\"url\":null,\"abstract\":\"<p><strong>Purpose: </strong>Investigating real-world outcomes of moderately hypofractionated radiotherapy (hypoRT) in elderly and multimorbid stage IIB-IIIC non-small-cell lung cancer (NSCLC) patients ineligible for concurrent chemoradiation.</p><p><strong>Methods: </strong>We retrospectively analysed 70 patients with primary or recurrent stage IIB-IIIC NSCLC (TNM, 8th edition). HypoRT was administered to a total dose of 38-56 Gy in 10-17 fractions (2.5-3.8 Gy/fraction). Patterns of recurrence, survival outcome, and toxicity were assessed.</p><p><strong>Results: </strong>Seventy patients, with a median age of 76.4 years (range: 51.6-88.2 years), who received hypoRT between August 2015 and September 2022, were reviewed. At baseline, the median Charlson Comorbidity Index (CCI) with oncological diagnosis was 8 (range: 3-13). With a median follow-up post-radiotherapy of 63.9 months (95% Confidence Interval [CI]: 34.8-93.1 months), median progression-free survival (PFS) was 7.6 months (95% CI 6.0-11.0 months), and the median overall survival (OS) was 20.7 months (95% CI 16.7-30.7 months). Competing risk analysis revealed 12-month cumulative incidences of locoregional and distant failure in 41% (95% CI 30-53%) and 14% (95% CI 6-23%) of patients, respectively. Following disease progression, 45 patients received subsequent therapy: 25 underwent additional radiotherapy, 22 received systemic treatment (including immunotherapy), and 19 were referred for best supportive care. Treatment was well tolerated; only 3 patients (4%) developed grade 3 pneumonitis. No adverse events of grade > 3 were reported.</p><p><strong>Interpretation: </strong>Moderately hypoRT is a safe, feasible, and effective treatment option for elderly and multimorbid patients with stage IIB-IIIC NSCLC, offering encouraging survival outcomes and low toxicity rates. Future prospective studies are needed to validate these findings and optimise treatment strategies for this high-risk population.</p>\",\"PeriodicalId\":7110,\"journal\":{\"name\":\"Acta Oncologica\",\"volume\":\"64 \",\"pages\":\"957-965\"},\"PeriodicalIF\":2.7000,\"publicationDate\":\"2025-07-25\",\"publicationTypes\":\"Journal Article\",\"fieldsOfStudy\":null,\"isOpenAccess\":false,\"openAccessPdf\":\"https://www.ncbi.nlm.nih.gov/pmc/articles/PMC12308537/pdf/\",\"citationCount\":\"0\",\"resultStr\":null,\"platform\":\"Semanticscholar\",\"paperid\":null,\"PeriodicalName\":\"Acta Oncologica\",\"FirstCategoryId\":\"3\",\"ListUrlMain\":\"https://doi.org/10.2340/1651-226X.2025.43496\",\"RegionNum\":3,\"RegionCategory\":\"医学\",\"ArticlePicture\":[],\"TitleCN\":null,\"AbstractTextCN\":null,\"PMCID\":null,\"EPubDate\":\"\",\"PubModel\":\"\",\"JCR\":\"Q3\",\"JCRName\":\"ONCOLOGY\",\"Score\":null,\"Total\":0}","platform":"Semanticscholar","paperid":null,"PeriodicalName":"Acta Oncologica","FirstCategoryId":"3","ListUrlMain":"https://doi.org/10.2340/1651-226X.2025.43496","RegionNum":3,"RegionCategory":"医学","ArticlePicture":[],"TitleCN":null,"AbstractTextCN":null,"PMCID":null,"EPubDate":"","PubModel":"","JCR":"Q3","JCRName":"ONCOLOGY","Score":null,"Total":0}
引用次数: 0

摘要

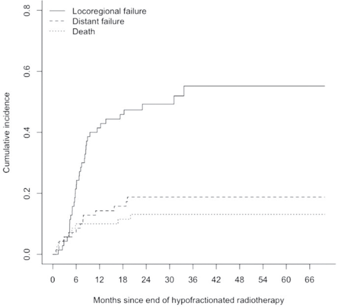
目的:研究中度低分割放疗(hypoRT)对老年和多病期IIB-IIIC非小细胞肺癌(NSCLC)患者的实际结果,这些患者不适合同步放化疗。方法:我们回顾性分析了70例原发性或复发期IIB-IIIC期NSCLC (TNM,第8版)。HypoRT的总剂量为38-56 Gy,分10-17次(2.5-3.8 Gy/次)。评估复发模式、生存结果和毒性。结果:回顾了2015年8月至2022年9月期间接受hypoRT治疗的70例患者,中位年龄76.4岁(范围:51.6-88.2岁)。在基线时,肿瘤诊断的Charlson合并症指数(CCI)中位数为8(范围:3-13)。放疗后中位随访时间为63.9个月(95%可信区间[CI]: 34.8-93.1个月),中位无进展生存期(PFS)为7.6个月(95% CI 6.0-11.0个月),中位总生存期(OS)为20.7个月(95% CI 16.7-30.7个月)。竞争风险分析显示,12个月累积的局部和远处衰竭发生率分别为41% (95% CI 30-53%)和14% (95% CI 6-23%)的患者。随着疾病进展,45名患者接受了后续治疗:25名患者接受了额外的放疗,22名患者接受了全身治疗(包括免疫治疗),19名患者接受了最佳支持治疗。治疗耐受性良好;只有3名患者(4%)发展为3级肺炎。无> ~ 3级不良事件报道。结论:中度hport对于老年和多病IIB-IIIC期NSCLC患者是一种安全、可行和有效的治疗选择,具有令人鼓舞的生存结果和低毒副作用。未来的前瞻性研究需要验证这些发现,并优化这一高危人群的治疗策略。
本文章由计算机程序翻译,如有差异,请以英文原文为准。

Real-world insights into moderately hypofractionated thoracic radiotherapy in elderly and multimorbid patients with stage II/III NSCLC: a retrospective study.

Real-world insights into moderately hypofractionated thoracic radiotherapy in elderly and multimorbid patients with stage II/III NSCLC: a retrospective study.

Real-world insights into moderately hypofractionated thoracic radiotherapy in elderly and multimorbid patients with stage II/III NSCLC: a retrospective study.

Purpose: Investigating real-world outcomes of moderately hypofractionated radiotherapy (hypoRT) in elderly and multimorbid stage IIB-IIIC non-small-cell lung cancer (NSCLC) patients ineligible for concurrent chemoradiation.

Methods: We retrospectively analysed 70 patients with primary or recurrent stage IIB-IIIC NSCLC (TNM, 8th edition). HypoRT was administered to a total dose of 38-56 Gy in 10-17 fractions (2.5-3.8 Gy/fraction). Patterns of recurrence, survival outcome, and toxicity were assessed.

Results: Seventy patients, with a median age of 76.4 years (range: 51.6-88.2 years), who received hypoRT between August 2015 and September 2022, were reviewed. At baseline, the median Charlson Comorbidity Index (CCI) with oncological diagnosis was 8 (range: 3-13). With a median follow-up post-radiotherapy of 63.9 months (95% Confidence Interval [CI]: 34.8-93.1 months), median progression-free survival (PFS) was 7.6 months (95% CI 6.0-11.0 months), and the median overall survival (OS) was 20.7 months (95% CI 16.7-30.7 months). Competing risk analysis revealed 12-month cumulative incidences of locoregional and distant failure in 41% (95% CI 30-53%) and 14% (95% CI 6-23%) of patients, respectively. Following disease progression, 45 patients received subsequent therapy: 25 underwent additional radiotherapy, 22 received systemic treatment (including immunotherapy), and 19 were referred for best supportive care. Treatment was well tolerated; only 3 patients (4%) developed grade 3 pneumonitis. No adverse events of grade > 3 were reported.

Interpretation: Moderately hypoRT is a safe, feasible, and effective treatment option for elderly and multimorbid patients with stage IIB-IIIC NSCLC, offering encouraging survival outcomes and low toxicity rates. Future prospective studies are needed to validate these findings and optimise treatment strategies for this high-risk population.

求助全文
通过发布文献求助,成功后即可免费获取论文全文。 去求助
来源期刊
Acta Oncologica
Acta Oncologica 医学-肿瘤学
CiteScore
4.30
自引率
3.20%
发文量
301
审稿时长
3 months
期刊介绍: Acta Oncologica is a journal for the clinical oncologist and accepts articles within all fields of clinical cancer research. Articles on tumour pathology, experimental oncology, radiobiology, cancer epidemiology and medical radio physics are also welcome, especially if they have a clinical aim or interest. Scientific articles on cancer nursing and psychological or social aspects of cancer are also welcomed. Extensive material may be published as Supplements, for which special conditions apply.
×
引用
GB/T 7714-2015
复制
MLA
复制
APA
复制
导出至
BibTeX EndNote RefMan NoteFirst NoteExpress
×
提示
您的信息不完整,为了账户安全,请先补充。
现在去补充
×
提示
您因"违规操作"
具体请查看互助需知
我知道了
×
提示
确定
请完成安全验证×
copy
已复制链接
快去分享给好友吧!
我知道了
右上角分享
点击右上角分享
0
联系我们:info@booksci.cn Book学术提供免费学术资源搜索服务,方便国内外学者检索中英文文献。致力于提供最便捷和优质的服务体验。 Copyright © 2023 布克学术 All rights reserved.
京ICP备2023020795号-1
ghs 京公网安备 11010802042870号
Book学术文献互助
Book学术文献互助群
群 号:604180095
Book学术官方微信