金属SrTiO3超导性与铁电量子临界性强耦合理论

IF 6.2 1区 物理与天体物理 Q2 MATERIALS SCIENCE, MULTIDISCIPLINARY
Sudip Kumar Saha, M. N. Gastiasoro, Jonathan Ruhman, Avraham Klein
{"title":"金属SrTiO3超导性与铁电量子临界性强耦合理论","authors":"Sudip Kumar Saha, M. N. Gastiasoro, Jonathan Ruhman, Avraham Klein","doi":"10.1038/s41535-025-00798-9","DOIUrl":null,"url":null,"abstract":"<p>Superconductivity in doped SrTiO<sub>3</sub> has remained an enduring mystery for over 50 years. The material’s status as a “quantum\" ferroelectric metal, characterized by a soft polar mode, suggests that quantum criticality could play a pivotal role in the emergence of its superconducting state. We show that the system is amenable to a strong coupling (Eliashberg) pairing analysis, with the dominant coupling to the soft mode being a “dynamical” Rashba coupling. We compute the expected <i>T</i><sub><i>c</i></sub> for the entire phase diagram, all the way to the quantum critical point and beyond. We demonstrate that the linear coupling is sufficient to obtain a rough approximation of the experimentally measured phase diagram, but that nonlinear coupling terms are crucial in reproducing the finer features in the ordered phase. The primary role of nonlinear terms at the peak of the superconducting dome is to enhance the effective linear coupling induced by the broken order, shifting the dome’s maximum into the ordered phase. Our theory quantitatively reproduces the three-dimensional experimental phase diagram in the space of carrier density, distance from the quantum critical point and temperature, and allows us to estimate microscopic parameters from the experimental data.</p>","PeriodicalId":19283,"journal":{"name":"npj Quantum Materials","volume":"110 1","pages":""},"PeriodicalIF":6.2000,"publicationDate":"2025-07-23","publicationTypes":"Journal Article","fieldsOfStudy":null,"isOpenAccess":false,"openAccessPdf":"","citationCount":"0","resultStr":"{\"title\":\"Strong coupling theory of superconductivity and ferroelectric quantum criticality in metallic SrTiO3\",\"authors\":\"Sudip Kumar Saha, M. N. Gastiasoro, Jonathan Ruhman, Avraham Klein\",\"doi\":\"10.1038/s41535-025-00798-9\",\"DOIUrl\":null,\"url\":null,\"abstract\":\"<p>Superconductivity in doped SrTiO<sub>3</sub> has remained an enduring mystery for over 50 years. The material’s status as a “quantum\\\" ferroelectric metal, characterized by a soft polar mode, suggests that quantum criticality could play a pivotal role in the emergence of its superconducting state. We show that the system is amenable to a strong coupling (Eliashberg) pairing analysis, with the dominant coupling to the soft mode being a “dynamical” Rashba coupling. We compute the expected <i>T</i><sub><i>c</i></sub> for the entire phase diagram, all the way to the quantum critical point and beyond. We demonstrate that the linear coupling is sufficient to obtain a rough approximation of the experimentally measured phase diagram, but that nonlinear coupling terms are crucial in reproducing the finer features in the ordered phase. The primary role of nonlinear terms at the peak of the superconducting dome is to enhance the effective linear coupling induced by the broken order, shifting the dome’s maximum into the ordered phase. Our theory quantitatively reproduces the three-dimensional experimental phase diagram in the space of carrier density, distance from the quantum critical point and temperature, and allows us to estimate microscopic parameters from the experimental data.</p>\",\"PeriodicalId\":19283,\"journal\":{\"name\":\"npj Quantum Materials\",\"volume\":\"110 1\",\"pages\":\"\"},\"PeriodicalIF\":6.2000,\"publicationDate\":\"2025-07-23\",\"publicationTypes\":\"Journal Article\",\"fieldsOfStudy\":null,\"isOpenAccess\":false,\"openAccessPdf\":\"\",\"citationCount\":\"0\",\"resultStr\":null,\"platform\":\"Semanticscholar\",\"paperid\":null,\"PeriodicalName\":\"npj Quantum Materials\",\"FirstCategoryId\":\"88\",\"ListUrlMain\":\"https://doi.org/10.1038/s41535-025-00798-9\",\"RegionNum\":1,\"RegionCategory\":\"物理与天体物理\",\"ArticlePicture\":[],\"TitleCN\":null,\"AbstractTextCN\":null,\"PMCID\":null,\"EPubDate\":\"\",\"PubModel\":\"\",\"JCR\":\"Q2\",\"JCRName\":\"MATERIALS SCIENCE, MULTIDISCIPLINARY\",\"Score\":null,\"Total\":0}","platform":"Semanticscholar","paperid":null,"PeriodicalName":"npj Quantum Materials","FirstCategoryId":"88","ListUrlMain":"https://doi.org/10.1038/s41535-025-00798-9","RegionNum":1,"RegionCategory":"物理与天体物理","ArticlePicture":[],"TitleCN":null,"AbstractTextCN":null,"PMCID":null,"EPubDate":"","PubModel":"","JCR":"Q2","JCRName":"MATERIALS SCIENCE, MULTIDISCIPLINARY","Score":null,"Total":0}
引用次数: 0

摘要

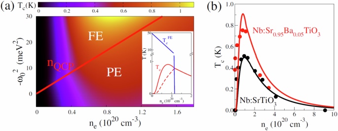
在过去的50多年里,SrTiO3的超导性一直是一个谜。该材料作为“量子”铁电金属的状态,以软极性模式为特征,表明量子临界性可能在其超导状态的出现中发挥关键作用。结果表明,该系统符合强耦合(Eliashberg)配对分析,软模式的主导耦合是“动态”Rashba耦合。我们计算整个相图的期望Tc,一直到量子临界点。我们证明了线性耦合足以获得实验测量相图的粗略近似值,但非线性耦合项对于再现有序相中的精细特征至关重要。超导圆顶峰值处非线性项的主要作用是增强由破序引起的有效线性耦合,将圆顶的最大值转移到有序相位。我们的理论定量再现了载流子密度、量子临界点距离和温度空间中的三维实验相图,并允许我们从实验数据中估计微观参数。
本文章由计算机程序翻译,如有差异,请以英文原文为准。

Strong coupling theory of superconductivity and ferroelectric quantum criticality in metallic SrTiO3

Strong coupling theory of superconductivity and ferroelectric quantum criticality in metallic SrTiO3

Superconductivity in doped SrTiO3 has remained an enduring mystery for over 50 years. The material’s status as a “quantum" ferroelectric metal, characterized by a soft polar mode, suggests that quantum criticality could play a pivotal role in the emergence of its superconducting state. We show that the system is amenable to a strong coupling (Eliashberg) pairing analysis, with the dominant coupling to the soft mode being a “dynamical” Rashba coupling. We compute the expected Tc for the entire phase diagram, all the way to the quantum critical point and beyond. We demonstrate that the linear coupling is sufficient to obtain a rough approximation of the experimentally measured phase diagram, but that nonlinear coupling terms are crucial in reproducing the finer features in the ordered phase. The primary role of nonlinear terms at the peak of the superconducting dome is to enhance the effective linear coupling induced by the broken order, shifting the dome’s maximum into the ordered phase. Our theory quantitatively reproduces the three-dimensional experimental phase diagram in the space of carrier density, distance from the quantum critical point and temperature, and allows us to estimate microscopic parameters from the experimental data.

求助全文
通过发布文献求助,成功后即可免费获取论文全文。 去求助
来源期刊
npj Quantum Materials
npj Quantum Materials Materials Science-Electronic, Optical and Magnetic Materials
CiteScore
10.60
自引率
3.50%
发文量
107
审稿时长
6 weeks
期刊介绍: npj Quantum Materials is an open access journal that publishes works that significantly advance the understanding of quantum materials, including their fundamental properties, fabrication and applications.
×
引用
GB/T 7714-2015
复制
MLA
复制
APA
复制
导出至
BibTeX EndNote RefMan NoteFirst NoteExpress
×
提示
您的信息不完整,为了账户安全,请先补充。
现在去补充
×
提示
您因"违规操作"
具体请查看互助需知
我知道了
×
提示
确定
请完成安全验证×
copy
已复制链接
快去分享给好友吧!
我知道了
右上角分享
点击右上角分享
0
联系我们:info@booksci.cn Book学术提供免费学术资源搜索服务,方便国内外学者检索中英文文献。致力于提供最便捷和优质的服务体验。 Copyright © 2023 布克学术 All rights reserved.
京ICP备2023020795号-1
ghs 京公网安备 11010802042870号
Book学术文献互助
Book学术文献互助群
群 号:604180095
Book学术官方微信