钽与钛髋臼假体用于假体周围关节感染的单期髋关节翻修:假体存活的比较分析。

IF 3.7 2区 医学 Q1 ORTHOPEDICS
Zhaoxi Xue, Wentao Guo, Wenbo Mu, Boyong Xu, Li Cao
{"title":"钽与钛髋臼假体用于假体周围关节感染的单期髋关节翻修:假体存活的比较分析。","authors":"Zhaoxi Xue, Wentao Guo, Wenbo Mu, Boyong Xu, Li Cao","doi":"10.1186/s10195-025-00867-6","DOIUrl":null,"url":null,"abstract":"<p><strong>Background: </strong>The impact of tantalum (Ta) versus titanium (Ti) acetabular components on reinfection risk in periprosthetic joint infection (PJI) remains controversial. While prior studies have focused on two-stage revisions, this is the first comparative analysis of Ta versus Ti in single-stage revisions. This study aimed to compare all-cause rerevision and infection recurrence rates between Ta and Ti acetabular components in single-stage revision for chronic PJI.</p><p><strong>Materials and methods: </strong>In this study, all patients underwent single-stage revision combined with intra-articular (IA) antibiotic infusion, with 56 receiving Ta acetabular components and 79 receiving Ti components. Both the Ta and Ti groups utilized acetabular reconstruction methods (including cups with and without augments) and cementless prostheses for all femoral components. We compared implant survivorship between the two groups, using implant survivorship free from reinfection and all-cause revision as the endpoints. Multivariate logistic regression (MVLR) was used to determine the independent predictive factors for septic failure.</p><p><strong>Results: </strong>The implant survivorship free from reinfection of the Ta group (92.9%; 95% confidence interval (CI) 85.7~98.2%) was comparable to that of the Ti group (88.6%; 95% CI 81.0~94.9%; P = 0.391; log-rank test). The implant survivorship free from all-cause rerevision of the Ta group (91.1%; 95% CI 84.1~100%) was comparable to that of the Ti group (87.3%; 95% CI 78.9~94.4%; P = 0.323; log-rank test). MVLR did not identify the Ta acetabular component (P = 0.414) as a protective factor against septic failure in acetabular reconstruction. However, previous revision (P = 0.048) was identified as a risk factor.</p><p><strong>Conclusions: </strong>Ta acetabular components exhibited a risk of all-cause rerevision comparable to Ti components in single-stage revision, with no significant protective effect against reinfection. These findings suggest that the notion of Ta components preventing infections should be viewed with caution.</p>","PeriodicalId":48603,"journal":{"name":"Journal of Orthopaedics and Traumatology","volume":"26 1","pages":"49"},"PeriodicalIF":3.7000,"publicationDate":"2025-07-23","publicationTypes":"Journal Article","fieldsOfStudy":null,"isOpenAccess":false,"openAccessPdf":"https://www.ncbi.nlm.nih.gov/pmc/articles/PMC12287478/pdf/","citationCount":"0","resultStr":"{\"title\":\"Tantalum versus titanium acetabular component in single-stage hip revision for periprosthetic joint infection: a comparative analysis of implant survivorship.\",\"authors\":\"Zhaoxi Xue, Wentao Guo, Wenbo Mu, Boyong Xu, Li Cao\",\"doi\":\"10.1186/s10195-025-00867-6\",\"DOIUrl\":null,\"url\":null,\"abstract\":\"<p><strong>Background: </strong>The impact of tantalum (Ta) versus titanium (Ti) acetabular components on reinfection risk in periprosthetic joint infection (PJI) remains controversial. While prior studies have focused on two-stage revisions, this is the first comparative analysis of Ta versus Ti in single-stage revisions. This study aimed to compare all-cause rerevision and infection recurrence rates between Ta and Ti acetabular components in single-stage revision for chronic PJI.</p><p><strong>Materials and methods: </strong>In this study, all patients underwent single-stage revision combined with intra-articular (IA) antibiotic infusion, with 56 receiving Ta acetabular components and 79 receiving Ti components. Both the Ta and Ti groups utilized acetabular reconstruction methods (including cups with and without augments) and cementless prostheses for all femoral components. We compared implant survivorship between the two groups, using implant survivorship free from reinfection and all-cause revision as the endpoints. Multivariate logistic regression (MVLR) was used to determine the independent predictive factors for septic failure.</p><p><strong>Results: </strong>The implant survivorship free from reinfection of the Ta group (92.9%; 95% confidence interval (CI) 85.7~98.2%) was comparable to that of the Ti group (88.6%; 95% CI 81.0~94.9%; P = 0.391; log-rank test). The implant survivorship free from all-cause rerevision of the Ta group (91.1%; 95% CI 84.1~100%) was comparable to that of the Ti group (87.3%; 95% CI 78.9~94.4%; P = 0.323; log-rank test). MVLR did not identify the Ta acetabular component (P = 0.414) as a protective factor against septic failure in acetabular reconstruction. However, previous revision (P = 0.048) was identified as a risk factor.</p><p><strong>Conclusions: </strong>Ta acetabular components exhibited a risk of all-cause rerevision comparable to Ti components in single-stage revision, with no significant protective effect against reinfection. These findings suggest that the notion of Ta components preventing infections should be viewed with caution.</p>\",\"PeriodicalId\":48603,\"journal\":{\"name\":\"Journal of Orthopaedics and Traumatology\",\"volume\":\"26 1\",\"pages\":\"49\"},\"PeriodicalIF\":3.7000,\"publicationDate\":\"2025-07-23\",\"publicationTypes\":\"Journal Article\",\"fieldsOfStudy\":null,\"isOpenAccess\":false,\"openAccessPdf\":\"https://www.ncbi.nlm.nih.gov/pmc/articles/PMC12287478/pdf/\",\"citationCount\":\"0\",\"resultStr\":null,\"platform\":\"Semanticscholar\",\"paperid\":null,\"PeriodicalName\":\"Journal of Orthopaedics and Traumatology\",\"FirstCategoryId\":\"3\",\"ListUrlMain\":\"https://doi.org/10.1186/s10195-025-00867-6\",\"RegionNum\":2,\"RegionCategory\":\"医学\",\"ArticlePicture\":[],\"TitleCN\":null,\"AbstractTextCN\":null,\"PMCID\":null,\"EPubDate\":\"\",\"PubModel\":\"\",\"JCR\":\"Q1\",\"JCRName\":\"ORTHOPEDICS\",\"Score\":null,\"Total\":0}","platform":"Semanticscholar","paperid":null,"PeriodicalName":"Journal of Orthopaedics and Traumatology","FirstCategoryId":"3","ListUrlMain":"https://doi.org/10.1186/s10195-025-00867-6","RegionNum":2,"RegionCategory":"医学","ArticlePicture":[],"TitleCN":null,"AbstractTextCN":null,"PMCID":null,"EPubDate":"","PubModel":"","JCR":"Q1","JCRName":"ORTHOPEDICS","Score":null,"Total":0}
引用次数: 0

摘要

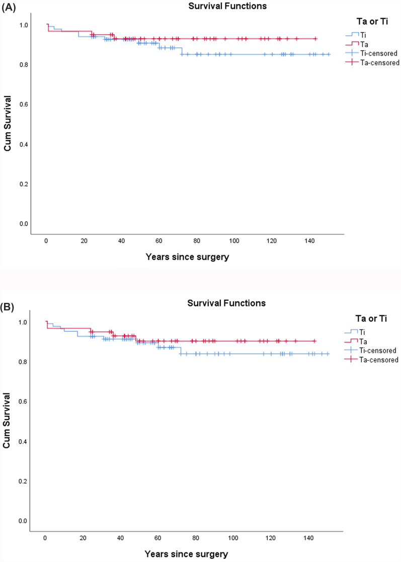
背景:钽(Ta)与钛(Ti)髋臼假体对假体周围关节感染(PJI)再感染风险的影响仍有争议。虽然之前的研究主要集中在两阶段的修订,但这是第一次在单阶段修订中比较分析Ta和Ti。本研究旨在比较Ta和Ti髋臼组件在慢性PJI单期翻修中的全因翻修和感染复发率。材料与方法:本研究中,所有患者均行单期翻修联合关节内(IA)抗生素输注,56例患者接受Ta髋臼组件,79例患者接受Ti组件。Ta组和Ti组均采用髋臼重建方法(包括带和不带增强物的髋臼杯)和无骨水泥假体修复所有股骨假体。我们比较了两组的种植体存活率,以无再感染的种植体存活率和全因修复作为终点。采用多变量logistic回归(MVLR)确定脓毒症失败的独立预测因素。结果:Ta组种植体成活率为92.9%;95%可信区间(CI) 85.7~98.2%)与Ti组(88.6%;95% ci 81.0~94.9%;p = 0.391;生存率较)。Ta组无全因校正种植体成活率(91.1%;95% CI 84.1~100%)与Ti组(87.3%;95% ci 78.9~94.4%;p = 0.323;生存率较)。MVLR未发现Ta髋臼成分(P = 0.414)是髋臼重建术中防止脓毒性失败的保护因素。然而,先前的修订(P = 0.048)被确定为危险因素。结论:在单阶段翻修中,Ta髋臼假体与Ti假体相比具有全因翻修的风险,对再感染没有显著的保护作用。这些发现表明,应该谨慎看待Ta成分预防感染的概念。
本文章由计算机程序翻译,如有差异,请以英文原文为准。

Tantalum versus titanium acetabular component in single-stage hip revision for periprosthetic joint infection: a comparative analysis of implant survivorship.

Tantalum versus titanium acetabular component in single-stage hip revision for periprosthetic joint infection: a comparative analysis of implant survivorship.

Tantalum versus titanium acetabular component in single-stage hip revision for periprosthetic joint infection: a comparative analysis of implant survivorship.

Tantalum versus titanium acetabular component in single-stage hip revision for periprosthetic joint infection: a comparative analysis of implant survivorship.

Background: The impact of tantalum (Ta) versus titanium (Ti) acetabular components on reinfection risk in periprosthetic joint infection (PJI) remains controversial. While prior studies have focused on two-stage revisions, this is the first comparative analysis of Ta versus Ti in single-stage revisions. This study aimed to compare all-cause rerevision and infection recurrence rates between Ta and Ti acetabular components in single-stage revision for chronic PJI.

Materials and methods: In this study, all patients underwent single-stage revision combined with intra-articular (IA) antibiotic infusion, with 56 receiving Ta acetabular components and 79 receiving Ti components. Both the Ta and Ti groups utilized acetabular reconstruction methods (including cups with and without augments) and cementless prostheses for all femoral components. We compared implant survivorship between the two groups, using implant survivorship free from reinfection and all-cause revision as the endpoints. Multivariate logistic regression (MVLR) was used to determine the independent predictive factors for septic failure.

Results: The implant survivorship free from reinfection of the Ta group (92.9%; 95% confidence interval (CI) 85.7~98.2%) was comparable to that of the Ti group (88.6%; 95% CI 81.0~94.9%; P = 0.391; log-rank test). The implant survivorship free from all-cause rerevision of the Ta group (91.1%; 95% CI 84.1~100%) was comparable to that of the Ti group (87.3%; 95% CI 78.9~94.4%; P = 0.323; log-rank test). MVLR did not identify the Ta acetabular component (P = 0.414) as a protective factor against septic failure in acetabular reconstruction. However, previous revision (P = 0.048) was identified as a risk factor.

Conclusions: Ta acetabular components exhibited a risk of all-cause rerevision comparable to Ti components in single-stage revision, with no significant protective effect against reinfection. These findings suggest that the notion of Ta components preventing infections should be viewed with caution.

求助全文
通过发布文献求助,成功后即可免费获取论文全文。 去求助
来源期刊
Journal of Orthopaedics and Traumatology
Journal of Orthopaedics and Traumatology Medicine-Orthopedics and Sports Medicine
CiteScore
4.30
自引率
0.00%
发文量
56
审稿时长
13 weeks
期刊介绍: The Journal of Orthopaedics and Traumatology, the official open access peer-reviewed journal of the Italian Society of Orthopaedics and Traumatology, publishes original papers reporting basic or clinical research in the field of orthopaedic and traumatologic surgery, as well as systematic reviews, brief communications, case reports and letters to the Editor. Narrative instructional reviews and commentaries to original articles may be commissioned by Editors from eminent colleagues. The Journal of Orthopaedics and Traumatology aims to be an international forum for the communication and exchange of ideas concerning the various aspects of orthopaedics and musculoskeletal trauma.
×
引用
GB/T 7714-2015
复制
MLA
复制
APA
复制
导出至
BibTeX EndNote RefMan NoteFirst NoteExpress
×
提示
您的信息不完整,为了账户安全,请先补充。
现在去补充
×
提示
您因"违规操作"
具体请查看互助需知
我知道了
×
提示
确定
请完成安全验证×
copy
已复制链接
快去分享给好友吧!
我知道了
右上角分享
点击右上角分享
0
联系我们:info@booksci.cn Book学术提供免费学术资源搜索服务,方便国内外学者检索中英文文献。致力于提供最便捷和优质的服务体验。 Copyright © 2023 布克学术 All rights reserved.
京ICP备2023020795号-1
ghs 京公网安备 11010802042870号
Book学术文献互助
Book学术文献互助群
群 号:604180095
Book学术官方微信