面包小麦(Triticum aestivum L.) 2D染色体渗渗系光合器官的耐旱性

IF 1 Q3 AGRICULTURE, MULTIDISCIPLINARY
S V Osipova, A V Permyakov, A V Rudikovskii, E G Rudikovskaya, T A Pshenichnikova
{"title":"面包小麦(Triticum aestivum L.) 2D染色体渗渗系光合器官的耐旱性","authors":"S V Osipova, A V Permyakov, A V Rudikovskii, E G Rudikovskaya, T A Pshenichnikova","doi":"10.18699/vjgb-25-56","DOIUrl":null,"url":null,"abstract":"<p><p>One of the ways to increase yield stability of bread wheat under changing climatic conditions is through improving the photosynthesis efficiency. For this purpose, various genetic strategies are used. They include marker-assisted selection and the use of the genetic potential of wild wheat relatives. Previously, using introgression wheat lines carrying different segments of chromosome 2D from Aegilops tauschii in the genetic background of the wheat (Triticum aestivum) variety Chinese Spring (CS), we mapped QTLs associated with variability in shoot biomass and gas exchange under contrasting water supply conditions. In this work, by \"splitting\" the primary introgressions, we obtained secondary introgression CS lines with reduced segments of Ae. tauschii introgressions in the short and long arms of chromosomes 2D. The aim of this study was to investigate the tolerance of the photosynthetic apparatus to soil water deficit in these lines. We estimated the size of drought effect on shoot biomass, gas exchange parameters, photosynthetic pigment content, slow and fast chlorophyll fluorescence parameters, and fast light curve parameters. The results showed that line 1004 with an introgression in chromosome 2DS limited by microsatellite loci Xgwm296 and Xgwm261 was little affected by drought in respect of the chlorophyll (a+b)/carotenoid ratio and primary photosynthetic processes. In line 1005 with a single introgression in the region of the Xgwm261 marker, the chlorophyll (a+b)/carotenoid ratio and indicators of the functional activity of photosystems significantly decreased under water deficiency. The chlorophyll (a+b)/carotenoid ratio, CO2 assimilation rate, and chlorophyll fluorescence parameters remained stable in line 1034 with an introgression in chromosome 2DL near the Xgwm1419 and Xgwm157 loci. In line 1021 with an introgression in the region of the Xgwm539 marker on the same chromosome, we observed a strong negative effect of drought on the rate of CO2 assimilation and indicators of the functional activity of photosystems. The Xgwm1419 and Xgwm296 markers can be recommended for use in marker-assisted breeding for drought tolerance of bread wheat in the cases where Ae. tauschii acts as a donor of genetic material.</p>","PeriodicalId":44339,"journal":{"name":"Vavilovskii Zhurnal Genetiki i Selektsii","volume":"29 4","pages":"530-538"},"PeriodicalIF":1.0000,"publicationDate":"2025-07-01","publicationTypes":"Journal Article","fieldsOfStudy":null,"isOpenAccess":false,"openAccessPdf":"https://www.ncbi.nlm.nih.gov/pmc/articles/PMC12277585/pdf/","citationCount":"0","resultStr":"{\"title\":\"Drought tolerance of the photosynthetic apparatus of bread wheat (Triticum aestivum L.) lines with introgressions in chromosome 2D from Aegilops tauschii Coss.\",\"authors\":\"S V Osipova, A V Permyakov, A V Rudikovskii, E G Rudikovskaya, T A Pshenichnikova\",\"doi\":\"10.18699/vjgb-25-56\",\"DOIUrl\":null,\"url\":null,\"abstract\":\"<p><p>One of the ways to increase yield stability of bread wheat under changing climatic conditions is through improving the photosynthesis efficiency. For this purpose, various genetic strategies are used. They include marker-assisted selection and the use of the genetic potential of wild wheat relatives. Previously, using introgression wheat lines carrying different segments of chromosome 2D from Aegilops tauschii in the genetic background of the wheat (Triticum aestivum) variety Chinese Spring (CS), we mapped QTLs associated with variability in shoot biomass and gas exchange under contrasting water supply conditions. In this work, by \\\"splitting\\\" the primary introgressions, we obtained secondary introgression CS lines with reduced segments of Ae. tauschii introgressions in the short and long arms of chromosomes 2D. The aim of this study was to investigate the tolerance of the photosynthetic apparatus to soil water deficit in these lines. We estimated the size of drought effect on shoot biomass, gas exchange parameters, photosynthetic pigment content, slow and fast chlorophyll fluorescence parameters, and fast light curve parameters. The results showed that line 1004 with an introgression in chromosome 2DS limited by microsatellite loci Xgwm296 and Xgwm261 was little affected by drought in respect of the chlorophyll (a+b)/carotenoid ratio and primary photosynthetic processes. In line 1005 with a single introgression in the region of the Xgwm261 marker, the chlorophyll (a+b)/carotenoid ratio and indicators of the functional activity of photosystems significantly decreased under water deficiency. The chlorophyll (a+b)/carotenoid ratio, CO2 assimilation rate, and chlorophyll fluorescence parameters remained stable in line 1034 with an introgression in chromosome 2DL near the Xgwm1419 and Xgwm157 loci. In line 1021 with an introgression in the region of the Xgwm539 marker on the same chromosome, we observed a strong negative effect of drought on the rate of CO2 assimilation and indicators of the functional activity of photosystems. The Xgwm1419 and Xgwm296 markers can be recommended for use in marker-assisted breeding for drought tolerance of bread wheat in the cases where Ae. tauschii acts as a donor of genetic material.</p>\",\"PeriodicalId\":44339,\"journal\":{\"name\":\"Vavilovskii Zhurnal Genetiki i Selektsii\",\"volume\":\"29 4\",\"pages\":\"530-538\"},\"PeriodicalIF\":1.0000,\"publicationDate\":\"2025-07-01\",\"publicationTypes\":\"Journal Article\",\"fieldsOfStudy\":null,\"isOpenAccess\":false,\"openAccessPdf\":\"https://www.ncbi.nlm.nih.gov/pmc/articles/PMC12277585/pdf/\",\"citationCount\":\"0\",\"resultStr\":null,\"platform\":\"Semanticscholar\",\"paperid\":null,\"PeriodicalName\":\"Vavilovskii Zhurnal Genetiki i Selektsii\",\"FirstCategoryId\":\"1085\",\"ListUrlMain\":\"https://doi.org/10.18699/vjgb-25-56\",\"RegionNum\":0,\"RegionCategory\":null,\"ArticlePicture\":[],\"TitleCN\":null,\"AbstractTextCN\":null,\"PMCID\":null,\"EPubDate\":\"\",\"PubModel\":\"\",\"JCR\":\"Q3\",\"JCRName\":\"AGRICULTURE, MULTIDISCIPLINARY\",\"Score\":null,\"Total\":0}","platform":"Semanticscholar","paperid":null,"PeriodicalName":"Vavilovskii Zhurnal Genetiki i Selektsii","FirstCategoryId":"1085","ListUrlMain":"https://doi.org/10.18699/vjgb-25-56","RegionNum":0,"RegionCategory":null,"ArticlePicture":[],"TitleCN":null,"AbstractTextCN":null,"PMCID":null,"EPubDate":"","PubModel":"","JCR":"Q3","JCRName":"AGRICULTURE, MULTIDISCIPLINARY","Score":null,"Total":0}
引用次数: 0

摘要

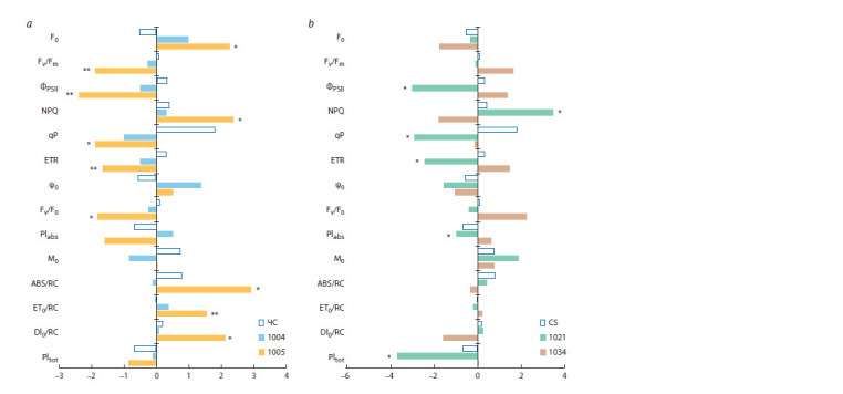
在气候变化条件下提高面包小麦产量稳定性的途径之一是提高光合作用效率。为此,使用了各种遗传策略。它们包括标记辅助选择和利用野生小麦近缘种的遗传潜力。在此之前,我们利用中国春季小麦品种(Triticum aestivum)遗传背景中携带tauschii Aegilops 2D染色体不同片段的渗透小麦品系,绘制了与不同供水条件下茎部生物量和气体交换变异相关的qtl图谱。在这项工作中,通过“分裂”初级基因渗入,我们获得了含有减少片段的Ae的次级基因渗入CS。二维染色体短臂和长臂上的陶氏基因渗入。本研究的目的是研究这些品种的光合机构对土壤水分亏缺的耐受能力。估算了干旱对茎部生物量、气体交换参数、光合色素含量、快、慢叶绿素荧光参数和快光曲线参数的影响大小。结果表明,在2DS染色体上有微卫星位点Xgwm296和Xgwm261限制的基因渗入的1004在叶绿素(a+b)/类胡萝卜素比和初级光合过程方面受干旱影响较小。在Xgwm261标记区域有单一渗入的1005系,在缺水条件下叶绿素(a+b)/类胡萝卜素比和光系统功能活性指标显著降低。叶绿素(a+b)/类胡萝卜素比、CO2同化率和叶绿素荧光参数保持稳定,在2DL染色体Xgwm1419和Xgwm157位点附近有渗入。在同一染色体上Xgwm539标记区域出现渗入的1021系中,我们观察到干旱对CO2同化速率和光系统功能活性指标的强烈负面影响。推荐Xgwm1419和Xgwm296标记用于面包小麦抗旱性的标记辅助育种。Tauschii作为遗传物质的供体。
本文章由计算机程序翻译,如有差异,请以英文原文为准。

Drought tolerance of the photosynthetic apparatus of bread wheat (Triticum aestivum L.) lines with introgressions in chromosome 2D from Aegilops tauschii Coss.

Drought tolerance of the photosynthetic apparatus of bread wheat (Triticum aestivum L.) lines with introgressions in chromosome 2D from Aegilops tauschii Coss.

Drought tolerance of the photosynthetic apparatus of bread wheat (Triticum aestivum L.) lines with introgressions in chromosome 2D from Aegilops tauschii Coss.

Drought tolerance of the photosynthetic apparatus of bread wheat (Triticum aestivum L.) lines with introgressions in chromosome 2D from Aegilops tauschii Coss.

One of the ways to increase yield stability of bread wheat under changing climatic conditions is through improving the photosynthesis efficiency. For this purpose, various genetic strategies are used. They include marker-assisted selection and the use of the genetic potential of wild wheat relatives. Previously, using introgression wheat lines carrying different segments of chromosome 2D from Aegilops tauschii in the genetic background of the wheat (Triticum aestivum) variety Chinese Spring (CS), we mapped QTLs associated with variability in shoot biomass and gas exchange under contrasting water supply conditions. In this work, by "splitting" the primary introgressions, we obtained secondary introgression CS lines with reduced segments of Ae. tauschii introgressions in the short and long arms of chromosomes 2D. The aim of this study was to investigate the tolerance of the photosynthetic apparatus to soil water deficit in these lines. We estimated the size of drought effect on shoot biomass, gas exchange parameters, photosynthetic pigment content, slow and fast chlorophyll fluorescence parameters, and fast light curve parameters. The results showed that line 1004 with an introgression in chromosome 2DS limited by microsatellite loci Xgwm296 and Xgwm261 was little affected by drought in respect of the chlorophyll (a+b)/carotenoid ratio and primary photosynthetic processes. In line 1005 with a single introgression in the region of the Xgwm261 marker, the chlorophyll (a+b)/carotenoid ratio and indicators of the functional activity of photosystems significantly decreased under water deficiency. The chlorophyll (a+b)/carotenoid ratio, CO2 assimilation rate, and chlorophyll fluorescence parameters remained stable in line 1034 with an introgression in chromosome 2DL near the Xgwm1419 and Xgwm157 loci. In line 1021 with an introgression in the region of the Xgwm539 marker on the same chromosome, we observed a strong negative effect of drought on the rate of CO2 assimilation and indicators of the functional activity of photosystems. The Xgwm1419 and Xgwm296 markers can be recommended for use in marker-assisted breeding for drought tolerance of bread wheat in the cases where Ae. tauschii acts as a donor of genetic material.

求助全文
通过发布文献求助,成功后即可免费获取论文全文。 去求助
来源期刊
Vavilovskii Zhurnal Genetiki i Selektsii
Vavilovskii Zhurnal Genetiki i Selektsii AGRICULTURE, MULTIDISCIPLINARY-
CiteScore
1.90
自引率
0.00%
发文量
119
审稿时长
8 weeks
期刊介绍: The "Vavilov Journal of genetics and breeding" publishes original research and review articles in all key areas of modern plant, animal and human genetics, genomics, bioinformatics and biotechnology. One of the main objectives of the journal is integration of theoretical and applied research in the field of genetics. Special attention is paid to the most topical areas in modern genetics dealing with global concerns such as food security and human health.
×
引用
GB/T 7714-2015
复制
MLA
复制
APA
复制
导出至
BibTeX EndNote RefMan NoteFirst NoteExpress
×
提示
您的信息不完整,为了账户安全,请先补充。
现在去补充
×
提示
您因"违规操作"
具体请查看互助需知
我知道了
×
提示
确定
请完成安全验证×
copy
已复制链接
快去分享给好友吧!
我知道了
右上角分享
点击右上角分享
0
联系我们:info@booksci.cn Book学术提供免费学术资源搜索服务,方便国内外学者检索中英文文献。致力于提供最便捷和优质的服务体验。 Copyright © 2023 布克学术 All rights reserved.
京ICP备2023020795号-1
ghs 京公网安备 11010802042870号
Book学术文献互助
Book学术文献互助群
群 号:604180095
Book学术官方微信