药物引起的过敏性休克中的循环炎症蛋白:来自多变量孟德尔随机化和多组学整合的证据。

IF 2.9 3区 医学 Q2 CRITICAL CARE MEDICINE
SHOCK Pub Date : 2025-10-01 Epub Date: 2025-07-10 DOI:10.1097/SHK.0000000000002644
Jinwei Dai, Nianzhe Sun, Wenye Xu, Zhihong Zuo, Xiaoyang Pang, Zhaoxin Qian
{"title":"药物引起的过敏性休克中的循环炎症蛋白:来自多变量孟德尔随机化和多组学整合的证据。","authors":"Jinwei Dai, Nianzhe Sun, Wenye Xu, Zhihong Zuo, Xiaoyang Pang, Zhaoxin Qian","doi":"10.1097/SHK.0000000000002644","DOIUrl":null,"url":null,"abstract":"<p><strong>Abstract: </strong>Background : Drug-induced anaphylactic shock (DIAS) remained a critical clinical challenge due to increased drug use and novel hypersensitivity mechanisms. The role of circulating inflammatory proteins in DIAS remained unclear. Methods: We applied multivariable Mendelian randomization (MR) to explore the associations between specific inflammatory proteins and DIAS, drawing on recent findings from genome-wide association studies. Circulating inflammatory protein data were obtained from a cohort of European ancestry comprising 14,824 samples, while data on DIAS were sourced from the FinnGen consortium, including 20,806 cases and 411,845 controls. To strengthen our findings, we conducted complementary analyses such as colocalization (COLOC), enrichment studies, drug screening, and molecular docking. Results: MR analysis identified significant associations between inflammatory proteins and DIAS. CD40L exhibited a protective effect (OR = 0.69, 95% CI: 0.4951-0.9578, P = 0.027) and high colocalization probability (58%). CXCL10 (OR = 1.51, 95% CI: 1.0075-2.2549, P = 0.046) and CCL3 (OR = 2.08, 95% CI: 1.0079-4.3072, P = 0.048) significantly increased risk. Drug screening and enrichment analyses further elucidated underlying molecular mechanisms. Conclusions : This study identified novel associations between inflammatory proteins and the risk of anaphylaxis, providing insights for targeted prediction and therapeutic strategies.</p>","PeriodicalId":21667,"journal":{"name":"SHOCK","volume":" ","pages":"380-385"},"PeriodicalIF":2.9000,"publicationDate":"2025-10-01","publicationTypes":"Journal Article","fieldsOfStudy":null,"isOpenAccess":false,"openAccessPdf":"https://www.ncbi.nlm.nih.gov/pmc/articles/PMC12435250/pdf/","citationCount":"0","resultStr":"{\"title\":\"CIRCULATING INFLAMMATORY PROTEINS IN DRUG-INDUCED ANAPHYLACTIC SHOCK: EVIDENCE FROM MULTIVARIABLE MENDELIAN RANDOMIZATION AND MULTIOMICS INTEGRATION.\",\"authors\":\"Jinwei Dai, Nianzhe Sun, Wenye Xu, Zhihong Zuo, Xiaoyang Pang, Zhaoxin Qian\",\"doi\":\"10.1097/SHK.0000000000002644\",\"DOIUrl\":null,\"url\":null,\"abstract\":\"<p><strong>Abstract: </strong>Background : Drug-induced anaphylactic shock (DIAS) remained a critical clinical challenge due to increased drug use and novel hypersensitivity mechanisms. The role of circulating inflammatory proteins in DIAS remained unclear. Methods: We applied multivariable Mendelian randomization (MR) to explore the associations between specific inflammatory proteins and DIAS, drawing on recent findings from genome-wide association studies. Circulating inflammatory protein data were obtained from a cohort of European ancestry comprising 14,824 samples, while data on DIAS were sourced from the FinnGen consortium, including 20,806 cases and 411,845 controls. To strengthen our findings, we conducted complementary analyses such as colocalization (COLOC), enrichment studies, drug screening, and molecular docking. Results: MR analysis identified significant associations between inflammatory proteins and DIAS. CD40L exhibited a protective effect (OR = 0.69, 95% CI: 0.4951-0.9578, P = 0.027) and high colocalization probability (58%). CXCL10 (OR = 1.51, 95% CI: 1.0075-2.2549, P = 0.046) and CCL3 (OR = 2.08, 95% CI: 1.0079-4.3072, P = 0.048) significantly increased risk. Drug screening and enrichment analyses further elucidated underlying molecular mechanisms. Conclusions : This study identified novel associations between inflammatory proteins and the risk of anaphylaxis, providing insights for targeted prediction and therapeutic strategies.</p>\",\"PeriodicalId\":21667,\"journal\":{\"name\":\"SHOCK\",\"volume\":\" \",\"pages\":\"380-385\"},\"PeriodicalIF\":2.9000,\"publicationDate\":\"2025-10-01\",\"publicationTypes\":\"Journal Article\",\"fieldsOfStudy\":null,\"isOpenAccess\":false,\"openAccessPdf\":\"https://www.ncbi.nlm.nih.gov/pmc/articles/PMC12435250/pdf/\",\"citationCount\":\"0\",\"resultStr\":null,\"platform\":\"Semanticscholar\",\"paperid\":null,\"PeriodicalName\":\"SHOCK\",\"FirstCategoryId\":\"3\",\"ListUrlMain\":\"https://doi.org/10.1097/SHK.0000000000002644\",\"RegionNum\":3,\"RegionCategory\":\"医学\",\"ArticlePicture\":[],\"TitleCN\":null,\"AbstractTextCN\":null,\"PMCID\":null,\"EPubDate\":\"2025/7/10 0:00:00\",\"PubModel\":\"Epub\",\"JCR\":\"Q2\",\"JCRName\":\"CRITICAL CARE MEDICINE\",\"Score\":null,\"Total\":0}","platform":"Semanticscholar","paperid":null,"PeriodicalName":"SHOCK","FirstCategoryId":"3","ListUrlMain":"https://doi.org/10.1097/SHK.0000000000002644","RegionNum":3,"RegionCategory":"医学","ArticlePicture":[],"TitleCN":null,"AbstractTextCN":null,"PMCID":null,"EPubDate":"2025/7/10 0:00:00","PubModel":"Epub","JCR":"Q2","JCRName":"CRITICAL CARE MEDICINE","Score":null,"Total":0}
引用次数: 0

摘要

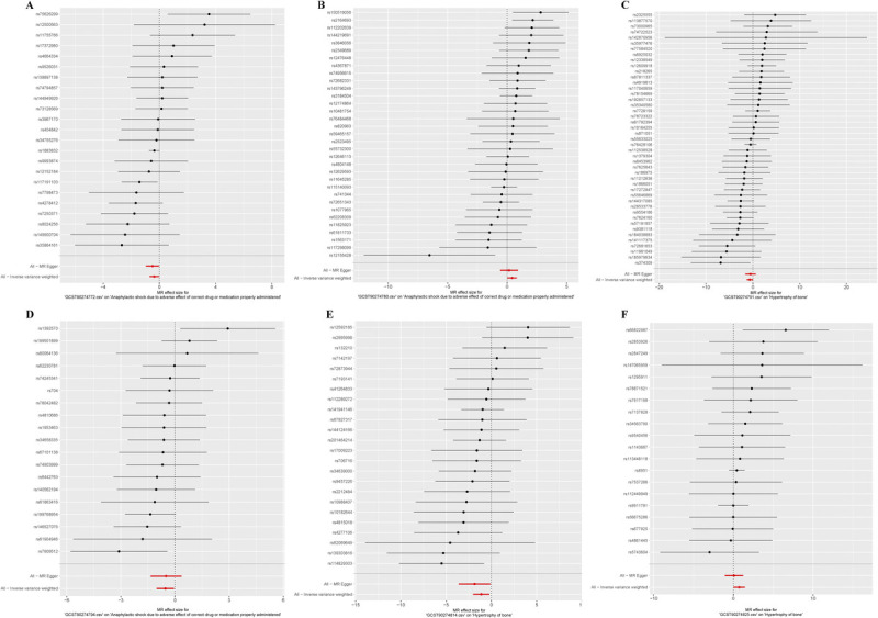
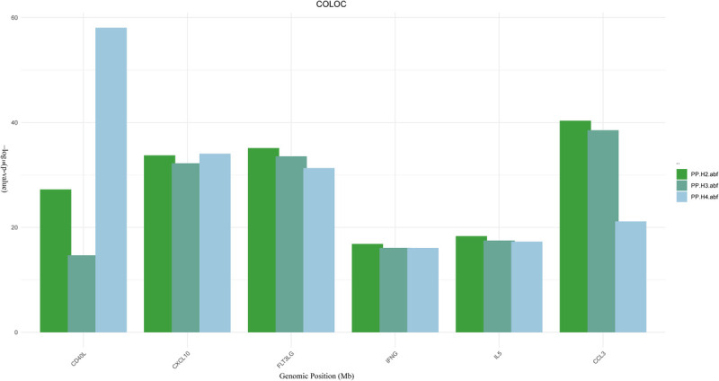
背景:药物致过敏性休克(DIAS)仍然是一个关键的临床挑战,由于增加的药物使用和新的超敏机制。循环炎症蛋白在DIAS中的作用尚不清楚。方法:我们利用多变量孟德尔随机化(MR)来探索特定炎症蛋白与DIAS之间的关联,并借鉴了全基因组关联研究的最新发现。循环炎症蛋白数据来自包括14,824个样本的欧洲血统队列,而DIAS数据来自FinnGen联盟,包括20,806例和411,845例对照。为了加强我们的发现,我们进行了互补分析,如共定位(COLOC)、富集研究、药物筛选和分子对接。结果:磁共振分析发现炎症蛋白与DIAS之间存在显著关联。CD40L具有保护作用(OR = 0.69, 95% CI: 0.4951 ~ 0.9578, p = 0.027)和高共定位概率(58%)。CXCL10 (OR: 1.51, 95% CI: 1.0075-2.2549, p = 0.046)和CCL3 (OR = 2.08, 95% CI: 1.0079-4.3072, p = 0.048)显著增加了风险。药物筛选和富集分析进一步阐明了潜在的分子机制。结论:本研究确定了炎症蛋白与过敏反应风险之间的新关联,为有针对性的预测和治疗策略提供了见解。
本文章由计算机程序翻译,如有差异,请以英文原文为准。

CIRCULATING INFLAMMATORY PROTEINS IN DRUG-INDUCED ANAPHYLACTIC SHOCK: EVIDENCE FROM MULTIVARIABLE MENDELIAN RANDOMIZATION AND MULTIOMICS INTEGRATION.

CIRCULATING INFLAMMATORY PROTEINS IN DRUG-INDUCED ANAPHYLACTIC SHOCK: EVIDENCE FROM MULTIVARIABLE MENDELIAN RANDOMIZATION AND MULTIOMICS INTEGRATION.

CIRCULATING INFLAMMATORY PROTEINS IN DRUG-INDUCED ANAPHYLACTIC SHOCK: EVIDENCE FROM MULTIVARIABLE MENDELIAN RANDOMIZATION AND MULTIOMICS INTEGRATION.

CIRCULATING INFLAMMATORY PROTEINS IN DRUG-INDUCED ANAPHYLACTIC SHOCK: EVIDENCE FROM MULTIVARIABLE MENDELIAN RANDOMIZATION AND MULTIOMICS INTEGRATION.

Abstract: Background : Drug-induced anaphylactic shock (DIAS) remained a critical clinical challenge due to increased drug use and novel hypersensitivity mechanisms. The role of circulating inflammatory proteins in DIAS remained unclear. Methods: We applied multivariable Mendelian randomization (MR) to explore the associations between specific inflammatory proteins and DIAS, drawing on recent findings from genome-wide association studies. Circulating inflammatory protein data were obtained from a cohort of European ancestry comprising 14,824 samples, while data on DIAS were sourced from the FinnGen consortium, including 20,806 cases and 411,845 controls. To strengthen our findings, we conducted complementary analyses such as colocalization (COLOC), enrichment studies, drug screening, and molecular docking. Results: MR analysis identified significant associations between inflammatory proteins and DIAS. CD40L exhibited a protective effect (OR = 0.69, 95% CI: 0.4951-0.9578, P = 0.027) and high colocalization probability (58%). CXCL10 (OR = 1.51, 95% CI: 1.0075-2.2549, P = 0.046) and CCL3 (OR = 2.08, 95% CI: 1.0079-4.3072, P = 0.048) significantly increased risk. Drug screening and enrichment analyses further elucidated underlying molecular mechanisms. Conclusions : This study identified novel associations between inflammatory proteins and the risk of anaphylaxis, providing insights for targeted prediction and therapeutic strategies.

求助全文
通过发布文献求助,成功后即可免费获取论文全文。 去求助
来源期刊
SHOCK
SHOCK 医学-外科
CiteScore
6.20
自引率
3.20%
发文量
199
审稿时长
1 months
期刊介绍: SHOCK®: Injury, Inflammation, and Sepsis: Laboratory and Clinical Approaches includes studies of novel therapeutic approaches, such as immunomodulation, gene therapy, nutrition, and others. The mission of the Journal is to foster and promote multidisciplinary studies, both experimental and clinical in nature, that critically examine the etiology, mechanisms and novel therapeutics of shock-related pathophysiological conditions. Its purpose is to excel as a vehicle for timely publication in the areas of basic and clinical studies of shock, trauma, sepsis, inflammation, ischemia, and related pathobiological states, with particular emphasis on the biologic mechanisms that determine the response to such injury. Making such information available will ultimately facilitate improved care of the traumatized or septic individual.
×
引用
GB/T 7714-2015
复制
MLA
复制
APA
复制
导出至
BibTeX EndNote RefMan NoteFirst NoteExpress
×
提示
您的信息不完整,为了账户安全,请先补充。
现在去补充
×
提示
您因"违规操作"
具体请查看互助需知
我知道了
×
提示
确定
请完成安全验证×
copy
已复制链接
快去分享给好友吧!
我知道了
右上角分享
点击右上角分享
0
联系我们:info@booksci.cn Book学术提供免费学术资源搜索服务,方便国内外学者检索中英文文献。致力于提供最便捷和优质的服务体验。 Copyright © 2023 布克学术 All rights reserved.
京ICP备2023020795号-1
ghs 京公网安备 11010802042870号
Book学术文献互助
Book学术文献互助群
群 号:604180095
Book学术官方微信