鞘内培美曲塞治疗新诊断的脑膜转移:一项多中心、开放标签、I/II期研究

IF 3.1 2区 医学 Q2 CLINICAL NEUROLOGY
Journal of Neuro-Oncology Pub Date : 2025-11-01 Epub Date: 2025-07-23 DOI:10.1007/s11060-025-05160-4
Zhenyu Pan, Xiaojun Ye, Yushan Huang, Panpan Tai, Miaomiao Liu, Xingru Sun, Ran Tang, Anyan Gu, Zhuo Wang, Longhai Shen, Xiaochuan Pang, Tingting Yuan, Guozi Yang
{"title":"鞘内培美曲塞治疗新诊断的脑膜转移:一项多中心、开放标签、I/II期研究","authors":"Zhenyu Pan, Xiaojun Ye, Yushan Huang, Panpan Tai, Miaomiao Liu, Xingru Sun, Ran Tang, Anyan Gu, Zhuo Wang, Longhai Shen, Xiaochuan Pang, Tingting Yuan, Guozi Yang","doi":"10.1007/s11060-025-05160-4","DOIUrl":null,"url":null,"abstract":"<p><strong>Purpose: </strong>This phase I/II study aimed to determine the maximum-tolerated dose (MTD) of intrathecal pemetrexed (IP) with vitamin supplementation, and to evaluate its safety, feasibility and therapeutic activity for newly diagnosed leptomeningeal metastasis (LM) from solid tumors.</p><p><strong>Methods: </strong>The phase I study followed the classic 3 + 3 design, with IP dose escalating from 15 mg. The recommended dose was applied in the phase II study. IP was administered first as induction therapy twice weekly for 2 weeks, followed by consolidation therapy, once weekly for 4 weeks, then maintenance therapy once monthly. Vitamin supplementation was initiated prior to the first IP dose. The MTD, adverse events (AEs), overall survival (OS), clinical response rate (CRR) and disease control rate (DCR) were evaluated.</p><p><strong>Results: </strong>A total of 34 patients were enrolled. In the phase I study, 2 patients in the 20 mg group experienced dose-limiting toxicity, including grade 4 leukopenia and grade 5 chemical arachnoiditis. The MTD was established as 15 mg. Among 28 patients in the MTD group, 24 completed induction therapy, 19 completed consolidation therapy and 11 proceeded to maintenance therapy. The overall AEs rate was 74% (25/34), and severe AEs rate (> grade 3) was 15% (5/34). In the MTD group, the CRR, DCR and median OS were 46% (13/28), 75% (21/28) and 8.1 months (95% CI, 6.5-11.9).</p><p><strong>Conclusion: </strong>IP at 15 mg, with folic acid and vitamin B12 supplementation initiated before the first IP dose, demonstrated feasibility and exhibited controllable toxicity. This regimen offers a new treatment option with therapeutic activity for newly diagnosed LM patients with solid tumors.</p><p><strong>Trial registration: </strong>ClinicalTrials.gov Identifier NCT05289908.</p>","PeriodicalId":16425,"journal":{"name":"Journal of Neuro-Oncology","volume":" ","pages":"857-868"},"PeriodicalIF":3.1000,"publicationDate":"2025-11-01","publicationTypes":"Journal Article","fieldsOfStudy":null,"isOpenAccess":false,"openAccessPdf":"https://www.ncbi.nlm.nih.gov/pmc/articles/PMC12420751/pdf/","citationCount":"0","resultStr":"{\"title\":\"Intrathecal pemetrexed for newly diagnosed leptomeningeal metastases: a multicenter, open-label, phase I/II study.\",\"authors\":\"Zhenyu Pan, Xiaojun Ye, Yushan Huang, Panpan Tai, Miaomiao Liu, Xingru Sun, Ran Tang, Anyan Gu, Zhuo Wang, Longhai Shen, Xiaochuan Pang, Tingting Yuan, Guozi Yang\",\"doi\":\"10.1007/s11060-025-05160-4\",\"DOIUrl\":null,\"url\":null,\"abstract\":\"<p><strong>Purpose: </strong>This phase I/II study aimed to determine the maximum-tolerated dose (MTD) of intrathecal pemetrexed (IP) with vitamin supplementation, and to evaluate its safety, feasibility and therapeutic activity for newly diagnosed leptomeningeal metastasis (LM) from solid tumors.</p><p><strong>Methods: </strong>The phase I study followed the classic 3 + 3 design, with IP dose escalating from 15 mg. The recommended dose was applied in the phase II study. IP was administered first as induction therapy twice weekly for 2 weeks, followed by consolidation therapy, once weekly for 4 weeks, then maintenance therapy once monthly. Vitamin supplementation was initiated prior to the first IP dose. The MTD, adverse events (AEs), overall survival (OS), clinical response rate (CRR) and disease control rate (DCR) were evaluated.</p><p><strong>Results: </strong>A total of 34 patients were enrolled. In the phase I study, 2 patients in the 20 mg group experienced dose-limiting toxicity, including grade 4 leukopenia and grade 5 chemical arachnoiditis. The MTD was established as 15 mg. Among 28 patients in the MTD group, 24 completed induction therapy, 19 completed consolidation therapy and 11 proceeded to maintenance therapy. The overall AEs rate was 74% (25/34), and severe AEs rate (> grade 3) was 15% (5/34). In the MTD group, the CRR, DCR and median OS were 46% (13/28), 75% (21/28) and 8.1 months (95% CI, 6.5-11.9).</p><p><strong>Conclusion: </strong>IP at 15 mg, with folic acid and vitamin B12 supplementation initiated before the first IP dose, demonstrated feasibility and exhibited controllable toxicity. This regimen offers a new treatment option with therapeutic activity for newly diagnosed LM patients with solid tumors.</p><p><strong>Trial registration: </strong>ClinicalTrials.gov Identifier NCT05289908.</p>\",\"PeriodicalId\":16425,\"journal\":{\"name\":\"Journal of Neuro-Oncology\",\"volume\":\" \",\"pages\":\"857-868\"},\"PeriodicalIF\":3.1000,\"publicationDate\":\"2025-11-01\",\"publicationTypes\":\"Journal Article\",\"fieldsOfStudy\":null,\"isOpenAccess\":false,\"openAccessPdf\":\"https://www.ncbi.nlm.nih.gov/pmc/articles/PMC12420751/pdf/\",\"citationCount\":\"0\",\"resultStr\":null,\"platform\":\"Semanticscholar\",\"paperid\":null,\"PeriodicalName\":\"Journal of Neuro-Oncology\",\"FirstCategoryId\":\"3\",\"ListUrlMain\":\"https://doi.org/10.1007/s11060-025-05160-4\",\"RegionNum\":2,\"RegionCategory\":\"医学\",\"ArticlePicture\":[],\"TitleCN\":null,\"AbstractTextCN\":null,\"PMCID\":null,\"EPubDate\":\"2025/7/23 0:00:00\",\"PubModel\":\"Epub\",\"JCR\":\"Q2\",\"JCRName\":\"CLINICAL NEUROLOGY\",\"Score\":null,\"Total\":0}","platform":"Semanticscholar","paperid":null,"PeriodicalName":"Journal of Neuro-Oncology","FirstCategoryId":"3","ListUrlMain":"https://doi.org/10.1007/s11060-025-05160-4","RegionNum":2,"RegionCategory":"医学","ArticlePicture":[],"TitleCN":null,"AbstractTextCN":null,"PMCID":null,"EPubDate":"2025/7/23 0:00:00","PubModel":"Epub","JCR":"Q2","JCRName":"CLINICAL NEUROLOGY","Score":null,"Total":0}
引用次数: 0

摘要

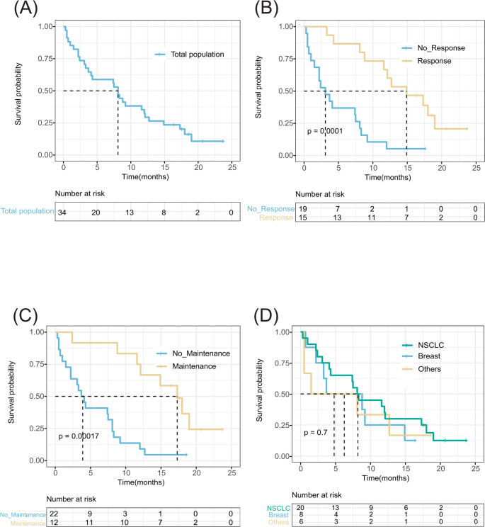
目的:本I/II期研究旨在确定鞘内培美曲塞(IP)联合维生素补充剂的最大耐受剂量(MTD),并评估其治疗新诊断的实体瘤轻脑膜转移(LM)的安全性、可行性和治疗活性。方法:I期研究采用经典的3 + 3设计,IP剂量从15mg开始递增。推荐剂量应用于II期研究。首先进行诱导治疗,每周2次,持续2周,然后进行巩固治疗,每周1次,持续4周,然后每月1次维持治疗。维生素补充是在第一次IP剂量之前开始的。评估MTD、不良事件(ae)、总生存期(OS)、临床缓解率(CRR)和疾病控制率(DCR)。结果:共纳入34例患者。在I期研究中,20mg组有2例患者出现剂量限制性毒性,包括4级白细胞减少症和5级化学蛛网膜炎。确定MTD为15 mg。MTD组28例患者中,24例完成诱导治疗,19例完成巩固治疗,11例进行维持治疗。总ae率为74%(25/34),严重ae率(> 3级)为15%(5/34)。MTD组的CRR、DCR和中位OS分别为46%(13/28)、75%(21/28)和8.1个月(95% CI, 6.5-11.9)。结论:15 mg的IP,在第一次IP之前开始补充叶酸和维生素B12,具有可行性和可控制的毒性。该方案为新诊断的LM合并实体瘤患者提供了一种新的治疗选择。试验注册:ClinicalTrials.gov标识符NCT05289908。
本文章由计算机程序翻译,如有差异,请以英文原文为准。

Intrathecal pemetrexed for newly diagnosed leptomeningeal metastases: a multicenter, open-label, phase I/II study.

Intrathecal pemetrexed for newly diagnosed leptomeningeal metastases: a multicenter, open-label, phase I/II study.

Intrathecal pemetrexed for newly diagnosed leptomeningeal metastases: a multicenter, open-label, phase I/II study.

Purpose: This phase I/II study aimed to determine the maximum-tolerated dose (MTD) of intrathecal pemetrexed (IP) with vitamin supplementation, and to evaluate its safety, feasibility and therapeutic activity for newly diagnosed leptomeningeal metastasis (LM) from solid tumors.

Methods: The phase I study followed the classic 3 + 3 design, with IP dose escalating from 15 mg. The recommended dose was applied in the phase II study. IP was administered first as induction therapy twice weekly for 2 weeks, followed by consolidation therapy, once weekly for 4 weeks, then maintenance therapy once monthly. Vitamin supplementation was initiated prior to the first IP dose. The MTD, adverse events (AEs), overall survival (OS), clinical response rate (CRR) and disease control rate (DCR) were evaluated.

Results: A total of 34 patients were enrolled. In the phase I study, 2 patients in the 20 mg group experienced dose-limiting toxicity, including grade 4 leukopenia and grade 5 chemical arachnoiditis. The MTD was established as 15 mg. Among 28 patients in the MTD group, 24 completed induction therapy, 19 completed consolidation therapy and 11 proceeded to maintenance therapy. The overall AEs rate was 74% (25/34), and severe AEs rate (> grade 3) was 15% (5/34). In the MTD group, the CRR, DCR and median OS were 46% (13/28), 75% (21/28) and 8.1 months (95% CI, 6.5-11.9).

Conclusion: IP at 15 mg, with folic acid and vitamin B12 supplementation initiated before the first IP dose, demonstrated feasibility and exhibited controllable toxicity. This regimen offers a new treatment option with therapeutic activity for newly diagnosed LM patients with solid tumors.

Trial registration: ClinicalTrials.gov Identifier NCT05289908.

求助全文
通过发布文献求助,成功后即可免费获取论文全文。 去求助
来源期刊
Journal of Neuro-Oncology
Journal of Neuro-Oncology 医学-临床神经学
CiteScore
6.60
自引率
7.70%
发文量
277
审稿时长
3.3 months
期刊介绍: The Journal of Neuro-Oncology is a multi-disciplinary journal encompassing basic, applied, and clinical investigations in all research areas as they relate to cancer and the central nervous system. It provides a single forum for communication among neurologists, neurosurgeons, radiotherapists, medical oncologists, neuropathologists, neurodiagnosticians, and laboratory-based oncologists conducting relevant research. The Journal of Neuro-Oncology does not seek to isolate the field, but rather to focus the efforts of many disciplines in one publication through a format which pulls together these diverse interests. More than any other field of oncology, cancer of the central nervous system requires multi-disciplinary approaches. To alleviate having to scan dozens of journals of cell biology, pathology, laboratory and clinical endeavours, JNO is a periodical in which current, high-quality, relevant research in all aspects of neuro-oncology may be found.
×
引用
GB/T 7714-2015
复制
MLA
复制
APA
复制
导出至
BibTeX EndNote RefMan NoteFirst NoteExpress
×
提示
您的信息不完整,为了账户安全,请先补充。
现在去补充
×
提示
您因"违规操作"
具体请查看互助需知
我知道了
×
提示
确定
请完成安全验证×
copy
已复制链接
快去分享给好友吧!
我知道了
右上角分享
点击右上角分享
0
联系我们:info@booksci.cn Book学术提供免费学术资源搜索服务,方便国内外学者检索中英文文献。致力于提供最便捷和优质的服务体验。 Copyright © 2023 布克学术 All rights reserved.
京ICP备2023020795号-1
ghs 京公网安备 11010802042870号
Book学术文献互助
Book学术文献互助群
群 号:604180095
Book学术官方微信