多层因素驱动早期乳腺癌老年妇女前哨淋巴结活检的使用。

IF 3 3区 医学 Q2 ONCOLOGY
Breast Cancer Research and Treatment Pub Date : 2025-11-01 Epub Date: 2025-07-22 DOI:10.1007/s10549-025-07789-1
Madeline B Thomas, Sumaya Abdul Ghaffar, Haaris Kadri, Christopher M Quinn, Laura D Leonard, Nicole M Mott, Salvador Rodriguez Franco, Lia R Assumpção, Gretchen Ahrendt, Sarah E A Tevis, Nicole Christian, Jodi Widner, Alicia A Heelan, Ana L Gleisner
{"title":"多层因素驱动早期乳腺癌老年妇女前哨淋巴结活检的使用。","authors":"Madeline B Thomas, Sumaya Abdul Ghaffar, Haaris Kadri, Christopher M Quinn, Laura D Leonard, Nicole M Mott, Salvador Rodriguez Franco, Lia R Assumpção, Gretchen Ahrendt, Sarah E A Tevis, Nicole Christian, Jodi Widner, Alicia A Heelan, Ana L Gleisner","doi":"10.1007/s10549-025-07789-1","DOIUrl":null,"url":null,"abstract":"<p><strong>Purpose: </strong>In 2016, the Society of Surgical Oncology and Choosing Wisely Campaign recommended against sentinel lymph node biopsy (SLNB) in women > 70 years with early-stage, hormone receptor-positive (ER/PR +) breast cancer, citing limited clinical benefit. Despite earlier evidence supporting de-implementation, SLNB rates remained high. We aimed to evaluate patient, tumor, facility, and unmeasured contextual factors associated with SLNB de-implementation using a national cohort.</p><p><strong>Methods: </strong>We queried the National Cancer Database (NCDB) for women > 70 years diagnosed with early-stage ER/PR + and HER2-negative breast cancer between 2012 and 2019. A mixed effects logistic regression model assessed associations between SLNB non-utilization and patient, tumor, and facility-level characteristics. Interaction terms between year and facility breast surgery volume quartiles were included to examine trends over time. Reference Effect Measures (REM) were used to estimate the contribution of unmeasured contextual effects relative to measured covariates.</p><p><strong>Results: </strong>Among eligible patients, SLNB use declined from 86.7% in 2012 to 81.0% in 2019. SLNB use was significantly associated with age, insurance, urbanization, distance to facility, education, income, tumor size, lymphovascular invasion, treatment type, facility region, program type, and surgical volume. Academic programs had the highest adjusted odds of SLNB non-utilization (AOR 1.62; 95%CI: 1.29-2.02), while facilities in the South had the lowest (AOR 0.53; 95%CI: 0.45-0.63). High-volume centers de-implemented more rapidly post-2016, with 24% higher odds of SLNB non-utilization per year. REM analysis identified patient age and unmeasured contextual effects as the predominant drivers of de-implementation.</p><p><strong>Conclusion: </strong>SLNB use in older women is influenced by multi-level factors, with patient age and unmeasured contextual effects driving de-implementation-though progress remain slow and limited in the United States.</p>","PeriodicalId":9133,"journal":{"name":"Breast Cancer Research and Treatment","volume":" ","pages":"37-48"},"PeriodicalIF":3.0000,"publicationDate":"2025-11-01","publicationTypes":"Journal Article","fieldsOfStudy":null,"isOpenAccess":false,"openAccessPdf":"https://www.ncbi.nlm.nih.gov/pmc/articles/PMC12398473/pdf/","citationCount":"0","resultStr":"{\"title\":\"Multi-level factors drive use of sentinel lymph node biopsy in older women with early-stage breast cancer.\",\"authors\":\"Madeline B Thomas, Sumaya Abdul Ghaffar, Haaris Kadri, Christopher M Quinn, Laura D Leonard, Nicole M Mott, Salvador Rodriguez Franco, Lia R Assumpção, Gretchen Ahrendt, Sarah E A Tevis, Nicole Christian, Jodi Widner, Alicia A Heelan, Ana L Gleisner\",\"doi\":\"10.1007/s10549-025-07789-1\",\"DOIUrl\":null,\"url\":null,\"abstract\":\"<p><strong>Purpose: </strong>In 2016, the Society of Surgical Oncology and Choosing Wisely Campaign recommended against sentinel lymph node biopsy (SLNB) in women > 70 years with early-stage, hormone receptor-positive (ER/PR +) breast cancer, citing limited clinical benefit. Despite earlier evidence supporting de-implementation, SLNB rates remained high. We aimed to evaluate patient, tumor, facility, and unmeasured contextual factors associated with SLNB de-implementation using a national cohort.</p><p><strong>Methods: </strong>We queried the National Cancer Database (NCDB) for women > 70 years diagnosed with early-stage ER/PR + and HER2-negative breast cancer between 2012 and 2019. A mixed effects logistic regression model assessed associations between SLNB non-utilization and patient, tumor, and facility-level characteristics. Interaction terms between year and facility breast surgery volume quartiles were included to examine trends over time. Reference Effect Measures (REM) were used to estimate the contribution of unmeasured contextual effects relative to measured covariates.</p><p><strong>Results: </strong>Among eligible patients, SLNB use declined from 86.7% in 2012 to 81.0% in 2019. SLNB use was significantly associated with age, insurance, urbanization, distance to facility, education, income, tumor size, lymphovascular invasion, treatment type, facility region, program type, and surgical volume. Academic programs had the highest adjusted odds of SLNB non-utilization (AOR 1.62; 95%CI: 1.29-2.02), while facilities in the South had the lowest (AOR 0.53; 95%CI: 0.45-0.63). High-volume centers de-implemented more rapidly post-2016, with 24% higher odds of SLNB non-utilization per year. REM analysis identified patient age and unmeasured contextual effects as the predominant drivers of de-implementation.</p><p><strong>Conclusion: </strong>SLNB use in older women is influenced by multi-level factors, with patient age and unmeasured contextual effects driving de-implementation-though progress remain slow and limited in the United States.</p>\",\"PeriodicalId\":9133,\"journal\":{\"name\":\"Breast Cancer Research and Treatment\",\"volume\":\" \",\"pages\":\"37-48\"},\"PeriodicalIF\":3.0000,\"publicationDate\":\"2025-11-01\",\"publicationTypes\":\"Journal Article\",\"fieldsOfStudy\":null,\"isOpenAccess\":false,\"openAccessPdf\":\"https://www.ncbi.nlm.nih.gov/pmc/articles/PMC12398473/pdf/\",\"citationCount\":\"0\",\"resultStr\":null,\"platform\":\"Semanticscholar\",\"paperid\":null,\"PeriodicalName\":\"Breast Cancer Research and Treatment\",\"FirstCategoryId\":\"3\",\"ListUrlMain\":\"https://doi.org/10.1007/s10549-025-07789-1\",\"RegionNum\":3,\"RegionCategory\":\"医学\",\"ArticlePicture\":[],\"TitleCN\":null,\"AbstractTextCN\":null,\"PMCID\":null,\"EPubDate\":\"2025/7/22 0:00:00\",\"PubModel\":\"Epub\",\"JCR\":\"Q2\",\"JCRName\":\"ONCOLOGY\",\"Score\":null,\"Total\":0}","platform":"Semanticscholar","paperid":null,"PeriodicalName":"Breast Cancer Research and Treatment","FirstCategoryId":"3","ListUrlMain":"https://doi.org/10.1007/s10549-025-07789-1","RegionNum":3,"RegionCategory":"医学","ArticlePicture":[],"TitleCN":null,"AbstractTextCN":null,"PMCID":null,"EPubDate":"2025/7/22 0:00:00","PubModel":"Epub","JCR":"Q2","JCRName":"ONCOLOGY","Score":null,"Total":0}
引用次数: 0

摘要

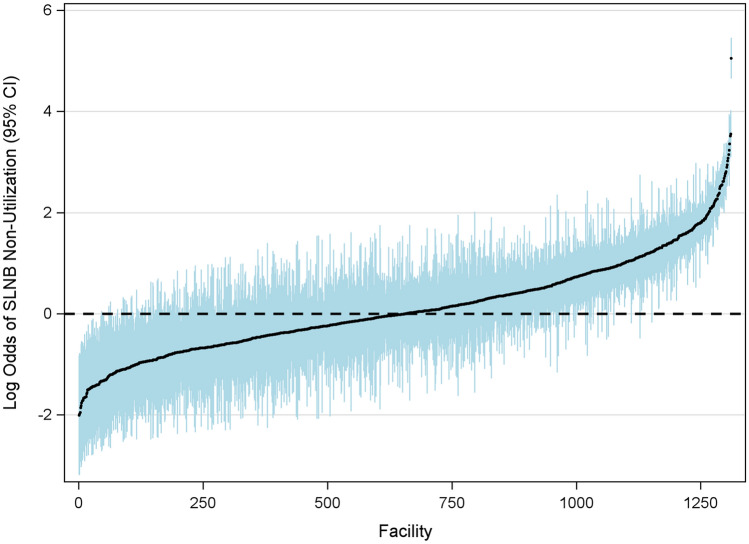
目的:2016年,美国外科肿瘤学会(Society of Surgical Oncology)和明智选择运动(Choosing Wisely Campaign)以临床获益有限为理由,建议70岁以下早期激素受体阳性(ER/PR +)乳腺癌患者不接受前哨淋巴结活检(SLNB)。尽管早先有证据支持取消SLNB的实施,但SLNB利率仍然很高。我们的目的是评估患者、肿瘤、设施和未测量的背景因素,这些因素与国家队列的SLNB去实施相关。方法:我们查询了国家癌症数据库(NCDB)中2012年至2019年期间诊断为早期ER/PR +和her2阴性乳腺癌的70岁至70岁女性。混合效应逻辑回归模型评估了SLNB不使用与患者、肿瘤和设施水平特征之间的关系。包括年度和设施乳房手术量四分位数之间的相互作用项,以检查随时间的趋势。参考效应测量(REM)用于估计相对于测量协变量的未测量上下文效应的贡献。结果:在符合条件的患者中,SLNB的使用率从2012年的86.7%下降到2019年的81.0%。SLNB的使用与年龄、保险、城市化、离医院的距离、教育程度、收入、肿瘤大小、淋巴血管侵犯、治疗类型、医院区域、方案类型和手术量显著相关。学术课程不使用SLNB的调整后几率最高(AOR 1.62;95%CI: 1.29-2.02),而南方的设施最低(AOR 0.53;95%置信区间:0.45—-0.63)。2016年后,大容量中心的弃用速度更快,每年SLNB未使用的几率高出24%。快速眼动分析确定患者年龄和未测量的环境影响是去实施的主要驱动因素。结论:SLNB在老年妇女中的使用受到多层因素的影响,患者年龄和未测量的背景效应推动了去实施,尽管在美国进展仍然缓慢和有限。
本文章由计算机程序翻译,如有差异,请以英文原文为准。

Multi-level factors drive use of sentinel lymph node biopsy in older women with early-stage breast cancer.

Multi-level factors drive use of sentinel lymph node biopsy in older women with early-stage breast cancer.

Multi-level factors drive use of sentinel lymph node biopsy in older women with early-stage breast cancer.

Multi-level factors drive use of sentinel lymph node biopsy in older women with early-stage breast cancer.

Purpose: In 2016, the Society of Surgical Oncology and Choosing Wisely Campaign recommended against sentinel lymph node biopsy (SLNB) in women > 70 years with early-stage, hormone receptor-positive (ER/PR +) breast cancer, citing limited clinical benefit. Despite earlier evidence supporting de-implementation, SLNB rates remained high. We aimed to evaluate patient, tumor, facility, and unmeasured contextual factors associated with SLNB de-implementation using a national cohort.

Methods: We queried the National Cancer Database (NCDB) for women > 70 years diagnosed with early-stage ER/PR + and HER2-negative breast cancer between 2012 and 2019. A mixed effects logistic regression model assessed associations between SLNB non-utilization and patient, tumor, and facility-level characteristics. Interaction terms between year and facility breast surgery volume quartiles were included to examine trends over time. Reference Effect Measures (REM) were used to estimate the contribution of unmeasured contextual effects relative to measured covariates.

Results: Among eligible patients, SLNB use declined from 86.7% in 2012 to 81.0% in 2019. SLNB use was significantly associated with age, insurance, urbanization, distance to facility, education, income, tumor size, lymphovascular invasion, treatment type, facility region, program type, and surgical volume. Academic programs had the highest adjusted odds of SLNB non-utilization (AOR 1.62; 95%CI: 1.29-2.02), while facilities in the South had the lowest (AOR 0.53; 95%CI: 0.45-0.63). High-volume centers de-implemented more rapidly post-2016, with 24% higher odds of SLNB non-utilization per year. REM analysis identified patient age and unmeasured contextual effects as the predominant drivers of de-implementation.

Conclusion: SLNB use in older women is influenced by multi-level factors, with patient age and unmeasured contextual effects driving de-implementation-though progress remain slow and limited in the United States.

求助全文
通过发布文献求助,成功后即可免费获取论文全文。 去求助
来源期刊
CiteScore
6.80
自引率
2.60%
发文量
342
审稿时长
1 months
期刊介绍: Breast Cancer Research and Treatment provides the surgeon, radiotherapist, medical oncologist, endocrinologist, epidemiologist, immunologist or cell biologist investigating problems in breast cancer a single forum for communication. The journal creates a "market place" for breast cancer topics which cuts across all the usual lines of disciplines, providing a site for presenting pertinent investigations, and for discussing critical questions relevant to the entire field. It seeks to develop a new focus and new perspectives for all those concerned with breast cancer.
×
引用
GB/T 7714-2015
复制
MLA
复制
APA
复制
导出至
BibTeX EndNote RefMan NoteFirst NoteExpress
×
提示
您的信息不完整,为了账户安全,请先补充。
现在去补充
×
提示
您因"违规操作"
具体请查看互助需知
我知道了
×
提示
确定
请完成安全验证×
copy
已复制链接
快去分享给好友吧!
我知道了
右上角分享
点击右上角分享
0
联系我们:info@booksci.cn Book学术提供免费学术资源搜索服务,方便国内外学者检索中英文文献。致力于提供最便捷和优质的服务体验。 Copyright © 2023 布克学术 All rights reserved.
京ICP备2023020795号-1
ghs 京公网安备 11010802042870号
Book学术文献互助
Book学术文献互助群
群 号:604180095
Book学术官方微信