较高的诊断前血清syndecan-4水平与乳腺癌风险增加相关:一项病例队列研究

IF 3 3区 医学 Q2 ONCOLOGY
Breast Cancer Research and Treatment Pub Date : 2025-10-01 Epub Date: 2025-07-22 DOI:10.1007/s10549-025-07786-4
Endre Gabrielsen, Tom Wilsgaard, Hanne Frydenberg, Trygve Lofterød, Stig Manfred Dalen, Elin Mortensen, Marit D Solbu, Hawa Nalwoga, Lars A Akslen, Egil S Blix, Hege S Haugnes
{"title":"较高的诊断前血清syndecan-4水平与乳腺癌风险增加相关:一项病例队列研究","authors":"Endre Gabrielsen, Tom Wilsgaard, Hanne Frydenberg, Trygve Lofterød, Stig Manfred Dalen, Elin Mortensen, Marit D Solbu, Hawa Nalwoga, Lars A Akslen, Egil S Blix, Hege S Haugnes","doi":"10.1007/s10549-025-07786-4","DOIUrl":null,"url":null,"abstract":"<p><strong>Purpose: </strong>Syndecans are transmembrane proteins involved in inflammation and signaling pathways. Their potential role as pre-diagnostic biomarkers for breast cancer risk remains unexplored. This study aimed to investigate whether pre-diagnostic serum syndecan levels are associated with breast cancer risk in a population-based cohort.</p><p><strong>Methods: </strong>We conducted a case-cohort study nested within the Tromsø Study (Norway), including women who participated in the fifth survey (2001). Women with incident breast cancer (cases, n = 158) through 2022 were identified, with a random sub-cohort of 708 women. Serum levels of syndecan-1 (SDC1) and syndecan-4 (SDC4) were measured using ELISA on frozen serum samples obtained in 2001. All participants were stratified into quartiles (Q1-Q4) based on pre-diagnostic levels. Cox proportional hazards regression models assessed associations between serum syndecan levels and breast cancer risk.</p><p><strong>Results: </strong>The median age at diagnosis was 69 years for cases, and 83.3% of tumors were hormone receptor-positive (HR +). Women with higher serum SDC4 (Q2-Q4) levels had approximately a twofold increased risk of breast cancer compared to women in Q1. We observed a nearly threefold increased risk for the HR + subtype. In postmenopausal women, HRs for HR + breast cancer in Q2, Q3, and Q4 were 3.81 (95% CI: 1.57-9.23), 3.43 (95% CI: 1.41-8.40), and 3.54 (95% CI: 1.45-8.65), respectively, all relative to Q1 of SDC4. No associations were observed between SDC1 levels and breast cancer risk.</p><p><strong>Conclusions: </strong>Our results suggest that SDC4 may play a role in the initiation and early progression of breast cancer.</p>","PeriodicalId":9133,"journal":{"name":"Breast Cancer Research and Treatment","volume":" ","pages":"365-375"},"PeriodicalIF":3.0000,"publicationDate":"2025-10-01","publicationTypes":"Journal Article","fieldsOfStudy":null,"isOpenAccess":false,"openAccessPdf":"https://www.ncbi.nlm.nih.gov/pmc/articles/PMC12397127/pdf/","citationCount":"0","resultStr":"{\"title\":\"Higher pre-diagnostic serum syndecan-4 levels are associated with increased breast cancer risk: a case-cohort study.\",\"authors\":\"Endre Gabrielsen, Tom Wilsgaard, Hanne Frydenberg, Trygve Lofterød, Stig Manfred Dalen, Elin Mortensen, Marit D Solbu, Hawa Nalwoga, Lars A Akslen, Egil S Blix, Hege S Haugnes\",\"doi\":\"10.1007/s10549-025-07786-4\",\"DOIUrl\":null,\"url\":null,\"abstract\":\"<p><strong>Purpose: </strong>Syndecans are transmembrane proteins involved in inflammation and signaling pathways. Their potential role as pre-diagnostic biomarkers for breast cancer risk remains unexplored. This study aimed to investigate whether pre-diagnostic serum syndecan levels are associated with breast cancer risk in a population-based cohort.</p><p><strong>Methods: </strong>We conducted a case-cohort study nested within the Tromsø Study (Norway), including women who participated in the fifth survey (2001). Women with incident breast cancer (cases, n = 158) through 2022 were identified, with a random sub-cohort of 708 women. Serum levels of syndecan-1 (SDC1) and syndecan-4 (SDC4) were measured using ELISA on frozen serum samples obtained in 2001. All participants were stratified into quartiles (Q1-Q4) based on pre-diagnostic levels. Cox proportional hazards regression models assessed associations between serum syndecan levels and breast cancer risk.</p><p><strong>Results: </strong>The median age at diagnosis was 69 years for cases, and 83.3% of tumors were hormone receptor-positive (HR +). Women with higher serum SDC4 (Q2-Q4) levels had approximately a twofold increased risk of breast cancer compared to women in Q1. We observed a nearly threefold increased risk for the HR + subtype. In postmenopausal women, HRs for HR + breast cancer in Q2, Q3, and Q4 were 3.81 (95% CI: 1.57-9.23), 3.43 (95% CI: 1.41-8.40), and 3.54 (95% CI: 1.45-8.65), respectively, all relative to Q1 of SDC4. No associations were observed between SDC1 levels and breast cancer risk.</p><p><strong>Conclusions: </strong>Our results suggest that SDC4 may play a role in the initiation and early progression of breast cancer.</p>\",\"PeriodicalId\":9133,\"journal\":{\"name\":\"Breast Cancer Research and Treatment\",\"volume\":\" \",\"pages\":\"365-375\"},\"PeriodicalIF\":3.0000,\"publicationDate\":\"2025-10-01\",\"publicationTypes\":\"Journal Article\",\"fieldsOfStudy\":null,\"isOpenAccess\":false,\"openAccessPdf\":\"https://www.ncbi.nlm.nih.gov/pmc/articles/PMC12397127/pdf/\",\"citationCount\":\"0\",\"resultStr\":null,\"platform\":\"Semanticscholar\",\"paperid\":null,\"PeriodicalName\":\"Breast Cancer Research and Treatment\",\"FirstCategoryId\":\"3\",\"ListUrlMain\":\"https://doi.org/10.1007/s10549-025-07786-4\",\"RegionNum\":3,\"RegionCategory\":\"医学\",\"ArticlePicture\":[],\"TitleCN\":null,\"AbstractTextCN\":null,\"PMCID\":null,\"EPubDate\":\"2025/7/22 0:00:00\",\"PubModel\":\"Epub\",\"JCR\":\"Q2\",\"JCRName\":\"ONCOLOGY\",\"Score\":null,\"Total\":0}","platform":"Semanticscholar","paperid":null,"PeriodicalName":"Breast Cancer Research and Treatment","FirstCategoryId":"3","ListUrlMain":"https://doi.org/10.1007/s10549-025-07786-4","RegionNum":3,"RegionCategory":"医学","ArticlePicture":[],"TitleCN":null,"AbstractTextCN":null,"PMCID":null,"EPubDate":"2025/7/22 0:00:00","PubModel":"Epub","JCR":"Q2","JCRName":"ONCOLOGY","Score":null,"Total":0}
引用次数: 0

摘要

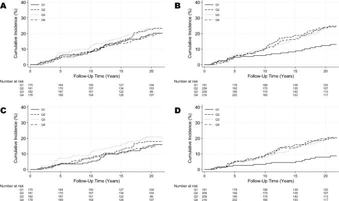
目的:Syndecans是一种参与炎症和信号通路的跨膜蛋白。它们作为乳腺癌风险的诊断前生物标志物的潜在作用仍未被探索。本研究旨在调查以人群为基础的队列中诊断前血清syndecan水平是否与乳腺癌风险相关。方法:我们在特罗姆瑟研究(挪威)中进行了一项病例队列研究,包括参加第五次调查(2001年)的妇女。研究确定了到2022年患有乳腺癌的女性(病例,n = 158),其中708名女性为随机亚队列。采用ELISA法对2001年获得的冷冻血清样品检测syndecan-1 (SDC1)和syndecan-4 (SDC4)的血清水平。根据诊断前水平将所有参与者分为四分位数(Q1-Q4)。Cox比例风险回归模型评估血清syndecan水平与乳腺癌风险之间的关系。结果:病例的中位诊断年龄为69岁,83.3%的肿瘤为激素受体阳性(HR +)。血清SDC4 (Q2-Q4)水平较高的女性患乳腺癌的风险大约是Q1水平的女性的两倍。我们观察到HR +亚型的风险增加了近三倍。在绝经后妇女中,Q2、Q3和Q4的HR +乳腺癌的HR分别为3.81 (95% CI: 1.57-9.23)、3.43 (95% CI: 1.41-8.40)和3.54 (95% CI: 1.45-8.65),均与SDC4的Q1相关。未观察到SDC1水平与乳腺癌风险之间的关联。结论:我们的研究结果表明,SDC4可能在乳腺癌的发生和早期进展中发挥作用。
本文章由计算机程序翻译,如有差异,请以英文原文为准。

Higher pre-diagnostic serum syndecan-4 levels are associated with increased breast cancer risk: a case-cohort study.

Higher pre-diagnostic serum syndecan-4 levels are associated with increased breast cancer risk: a case-cohort study.

Higher pre-diagnostic serum syndecan-4 levels are associated with increased breast cancer risk: a case-cohort study.

Higher pre-diagnostic serum syndecan-4 levels are associated with increased breast cancer risk: a case-cohort study.

Purpose: Syndecans are transmembrane proteins involved in inflammation and signaling pathways. Their potential role as pre-diagnostic biomarkers for breast cancer risk remains unexplored. This study aimed to investigate whether pre-diagnostic serum syndecan levels are associated with breast cancer risk in a population-based cohort.

Methods: We conducted a case-cohort study nested within the Tromsø Study (Norway), including women who participated in the fifth survey (2001). Women with incident breast cancer (cases, n = 158) through 2022 were identified, with a random sub-cohort of 708 women. Serum levels of syndecan-1 (SDC1) and syndecan-4 (SDC4) were measured using ELISA on frozen serum samples obtained in 2001. All participants were stratified into quartiles (Q1-Q4) based on pre-diagnostic levels. Cox proportional hazards regression models assessed associations between serum syndecan levels and breast cancer risk.

Results: The median age at diagnosis was 69 years for cases, and 83.3% of tumors were hormone receptor-positive (HR +). Women with higher serum SDC4 (Q2-Q4) levels had approximately a twofold increased risk of breast cancer compared to women in Q1. We observed a nearly threefold increased risk for the HR + subtype. In postmenopausal women, HRs for HR + breast cancer in Q2, Q3, and Q4 were 3.81 (95% CI: 1.57-9.23), 3.43 (95% CI: 1.41-8.40), and 3.54 (95% CI: 1.45-8.65), respectively, all relative to Q1 of SDC4. No associations were observed between SDC1 levels and breast cancer risk.

Conclusions: Our results suggest that SDC4 may play a role in the initiation and early progression of breast cancer.

求助全文
通过发布文献求助,成功后即可免费获取论文全文。 去求助
来源期刊
CiteScore
6.80
自引率
2.60%
发文量
342
审稿时长
1 months
期刊介绍: Breast Cancer Research and Treatment provides the surgeon, radiotherapist, medical oncologist, endocrinologist, epidemiologist, immunologist or cell biologist investigating problems in breast cancer a single forum for communication. The journal creates a "market place" for breast cancer topics which cuts across all the usual lines of disciplines, providing a site for presenting pertinent investigations, and for discussing critical questions relevant to the entire field. It seeks to develop a new focus and new perspectives for all those concerned with breast cancer.
×
引用
GB/T 7714-2015
复制
MLA
复制
APA
复制
导出至
BibTeX EndNote RefMan NoteFirst NoteExpress
×
提示
您的信息不完整,为了账户安全,请先补充。
现在去补充
×
提示
您因"违规操作"
具体请查看互助需知
我知道了
×
提示
确定
请完成安全验证×
copy
已复制链接
快去分享给好友吧!
我知道了
右上角分享
点击右上角分享
0
联系我们:info@booksci.cn Book学术提供免费学术资源搜索服务,方便国内外学者检索中英文文献。致力于提供最便捷和优质的服务体验。 Copyright © 2023 布克学术 All rights reserved.
京ICP备2023020795号-1
ghs 京公网安备 11010802042870号
Book学术文献互助
Book学术文献互助群
群 号:604180095
Book学术官方微信