基于亚组的模型选择改进万古霉素浓度的预测。

IF 4.5 2区 医学 Q2 MICROBIOLOGY
Antimicrobial Agents and Chemotherapy Pub Date : 2025-09-03 Epub Date: 2025-07-23 DOI:10.1128/aac.00174-25
Hanna Kadri Laas, Tuuli Metsvaht, Kadri Tamme, Juri Karjagin, Kristiina Naber, Artjom Afanasjev, Carmen Tiivel, Irja Lutsar, Hiie Soeorg
{"title":"基于亚组的模型选择改进万古霉素浓度的预测。","authors":"Hanna Kadri Laas, Tuuli Metsvaht, Kadri Tamme, Juri Karjagin, Kristiina Naber, Artjom Afanasjev, Carmen Tiivel, Irja Lutsar, Hiie Soeorg","doi":"10.1128/aac.00174-25","DOIUrl":null,"url":null,"abstract":"<p><p>Individualized dosing of vancomycin is recommended, model-informed precision dosing (MIPD) being the preferred method to improve efficacy and limit toxicity. However, its implementation poses challenges, including model selection and initiation dose determination. We developed a model selection tool (MST) and evaluated its potential to improve concentration prediction precision and reduce bias. Retrospective data from adult intensive care unit patients receiving intravenous vancomycin were collected and divided into training and validation data sets. Population predictions from published one-compartment models were computed, and the universally best-performing model (UBM) was selected. A genetic algorithm was used to create an MST. The ability to forecast the third concentration based on previous concentrations was evaluated. A total of 148 vancomycin treatment episodes were included in training and 67 in the validation data set. The MST showed 12% and 6% improved precision compared to the UBM in training and validation data sets, respectively (mean absolute percentage prediction error [mean PAPE] 22.8% vs 26.0% and 28.4% vs 30.2%). The UBM exhibited lower bias in both training and validation data sets (mean percentage prediction error [mean PPE] 5.8% vs 4.7% and -2.8% vs -1.5%, respectively). The MST showed improved performance in predicting the third concentration based on previous concentrations. In both data sets, accuracy was the best/highest when two prior measured concentrations were used (mean PAPE and PPE 17.0% and -3.0% in training and 18.9% and -1.0% in validation data set). Overall, the MST has the potential to enhance vancomycin dosing accuracy from the first dose and simplify model selection, facilitating the utilization of MIPD in clinical practice.</p>","PeriodicalId":8152,"journal":{"name":"Antimicrobial Agents and Chemotherapy","volume":" ","pages":"e0017425"},"PeriodicalIF":4.5000,"publicationDate":"2025-09-03","publicationTypes":"Journal Article","fieldsOfStudy":null,"isOpenAccess":false,"openAccessPdf":"https://www.ncbi.nlm.nih.gov/pmc/articles/PMC12406661/pdf/","citationCount":"0","resultStr":"{\"title\":\"Subgroup-based model selection to improve the prediction of vancomycin concentrations.\",\"authors\":\"Hanna Kadri Laas, Tuuli Metsvaht, Kadri Tamme, Juri Karjagin, Kristiina Naber, Artjom Afanasjev, Carmen Tiivel, Irja Lutsar, Hiie Soeorg\",\"doi\":\"10.1128/aac.00174-25\",\"DOIUrl\":null,\"url\":null,\"abstract\":\"<p><p>Individualized dosing of vancomycin is recommended, model-informed precision dosing (MIPD) being the preferred method to improve efficacy and limit toxicity. However, its implementation poses challenges, including model selection and initiation dose determination. We developed a model selection tool (MST) and evaluated its potential to improve concentration prediction precision and reduce bias. Retrospective data from adult intensive care unit patients receiving intravenous vancomycin were collected and divided into training and validation data sets. Population predictions from published one-compartment models were computed, and the universally best-performing model (UBM) was selected. A genetic algorithm was used to create an MST. The ability to forecast the third concentration based on previous concentrations was evaluated. A total of 148 vancomycin treatment episodes were included in training and 67 in the validation data set. The MST showed 12% and 6% improved precision compared to the UBM in training and validation data sets, respectively (mean absolute percentage prediction error [mean PAPE] 22.8% vs 26.0% and 28.4% vs 30.2%). The UBM exhibited lower bias in both training and validation data sets (mean percentage prediction error [mean PPE] 5.8% vs 4.7% and -2.8% vs -1.5%, respectively). The MST showed improved performance in predicting the third concentration based on previous concentrations. In both data sets, accuracy was the best/highest when two prior measured concentrations were used (mean PAPE and PPE 17.0% and -3.0% in training and 18.9% and -1.0% in validation data set). Overall, the MST has the potential to enhance vancomycin dosing accuracy from the first dose and simplify model selection, facilitating the utilization of MIPD in clinical practice.</p>\",\"PeriodicalId\":8152,\"journal\":{\"name\":\"Antimicrobial Agents and Chemotherapy\",\"volume\":\" \",\"pages\":\"e0017425\"},\"PeriodicalIF\":4.5000,\"publicationDate\":\"2025-09-03\",\"publicationTypes\":\"Journal Article\",\"fieldsOfStudy\":null,\"isOpenAccess\":false,\"openAccessPdf\":\"https://www.ncbi.nlm.nih.gov/pmc/articles/PMC12406661/pdf/\",\"citationCount\":\"0\",\"resultStr\":null,\"platform\":\"Semanticscholar\",\"paperid\":null,\"PeriodicalName\":\"Antimicrobial Agents and Chemotherapy\",\"FirstCategoryId\":\"3\",\"ListUrlMain\":\"https://doi.org/10.1128/aac.00174-25\",\"RegionNum\":2,\"RegionCategory\":\"医学\",\"ArticlePicture\":[],\"TitleCN\":null,\"AbstractTextCN\":null,\"PMCID\":null,\"EPubDate\":\"2025/7/23 0:00:00\",\"PubModel\":\"Epub\",\"JCR\":\"Q2\",\"JCRName\":\"MICROBIOLOGY\",\"Score\":null,\"Total\":0}","platform":"Semanticscholar","paperid":null,"PeriodicalName":"Antimicrobial Agents and Chemotherapy","FirstCategoryId":"3","ListUrlMain":"https://doi.org/10.1128/aac.00174-25","RegionNum":2,"RegionCategory":"医学","ArticlePicture":[],"TitleCN":null,"AbstractTextCN":null,"PMCID":null,"EPubDate":"2025/7/23 0:00:00","PubModel":"Epub","JCR":"Q2","JCRName":"MICROBIOLOGY","Score":null,"Total":0}
引用次数: 0

摘要

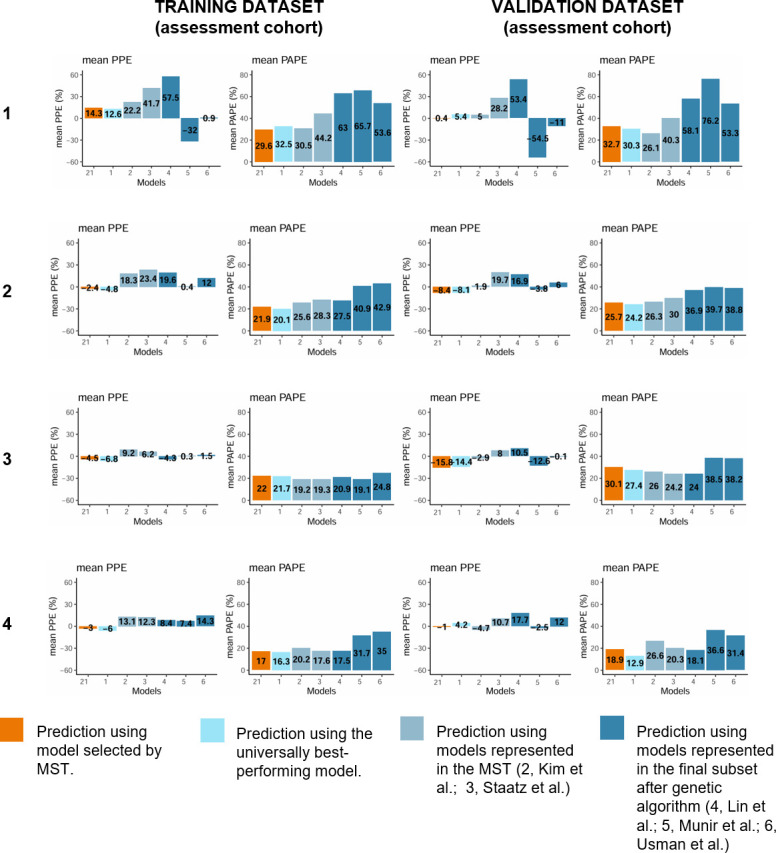
推荐个体化给药万古霉素,模型信息精确给药(MIPD)是提高疗效和限制毒性的首选方法。然而,它的实施带来了挑战,包括模型选择和起始剂量的确定。我们开发了一种模型选择工具(MST),并评估了其提高浓度预测精度和减少偏差的潜力。收集成人重症监护病房接受静脉注射万古霉素患者的回顾性数据,并将其分为训练数据集和验证数据集。从已发表的单室模型中计算种群预测,并选择普遍表现最佳的模型(UBM)。使用遗传算法创建MST。评估了基于先前浓度预测第三种浓度的能力。总共148个万古霉素治疗事件被纳入训练,67个被纳入验证数据集。与训练和验证数据集的UBM相比,MST的精度分别提高了12%和6%(平均绝对百分比预测误差[mean PAPE] 22.8%对26.0%和28.4%对30.2%)。UBM在训练和验证数据集上均表现出较低的偏差(平均百分比预测误差[平均PPE]分别为5.8%对4.7%和-2.8%对-1.5%)。MST在基于前一次浓度预测第三次浓度方面表现出更好的性能。在这两个数据集中,当使用两个先前测量浓度时,准确性最好/最高(训练数据集中的平均PAPE和PPE分别为17.0%和-3.0%,验证数据集中的平均PAPE和PPE为18.9%和-1.0%)。总的来说,MST有可能从首次给药开始提高万古霉素给药的准确性,简化模型选择,促进MIPD在临床实践中的应用。
本文章由计算机程序翻译,如有差异,请以英文原文为准。

Subgroup-based model selection to improve the prediction of vancomycin concentrations.

Subgroup-based model selection to improve the prediction of vancomycin concentrations.

Subgroup-based model selection to improve the prediction of vancomycin concentrations.

Subgroup-based model selection to improve the prediction of vancomycin concentrations.

Individualized dosing of vancomycin is recommended, model-informed precision dosing (MIPD) being the preferred method to improve efficacy and limit toxicity. However, its implementation poses challenges, including model selection and initiation dose determination. We developed a model selection tool (MST) and evaluated its potential to improve concentration prediction precision and reduce bias. Retrospective data from adult intensive care unit patients receiving intravenous vancomycin were collected and divided into training and validation data sets. Population predictions from published one-compartment models were computed, and the universally best-performing model (UBM) was selected. A genetic algorithm was used to create an MST. The ability to forecast the third concentration based on previous concentrations was evaluated. A total of 148 vancomycin treatment episodes were included in training and 67 in the validation data set. The MST showed 12% and 6% improved precision compared to the UBM in training and validation data sets, respectively (mean absolute percentage prediction error [mean PAPE] 22.8% vs 26.0% and 28.4% vs 30.2%). The UBM exhibited lower bias in both training and validation data sets (mean percentage prediction error [mean PPE] 5.8% vs 4.7% and -2.8% vs -1.5%, respectively). The MST showed improved performance in predicting the third concentration based on previous concentrations. In both data sets, accuracy was the best/highest when two prior measured concentrations were used (mean PAPE and PPE 17.0% and -3.0% in training and 18.9% and -1.0% in validation data set). Overall, the MST has the potential to enhance vancomycin dosing accuracy from the first dose and simplify model selection, facilitating the utilization of MIPD in clinical practice.

求助全文
通过发布文献求助,成功后即可免费获取论文全文。 去求助
来源期刊
CiteScore
10.00
自引率
8.20%
发文量
762
审稿时长
3 months
期刊介绍: Antimicrobial Agents and Chemotherapy (AAC) features interdisciplinary studies that build our understanding of the underlying mechanisms and therapeutic applications of antimicrobial and antiparasitic agents and chemotherapy.
×
引用
GB/T 7714-2015
复制
MLA
复制
APA
复制
导出至
BibTeX EndNote RefMan NoteFirst NoteExpress
×
提示
您的信息不完整,为了账户安全,请先补充。
现在去补充
×
提示
您因"违规操作"
具体请查看互助需知
我知道了
×
提示
确定
请完成安全验证×
copy
已复制链接
快去分享给好友吧!
我知道了
右上角分享
点击右上角分享
0
联系我们:info@booksci.cn Book学术提供免费学术资源搜索服务,方便国内外学者检索中英文文献。致力于提供最便捷和优质的服务体验。 Copyright © 2023 布克学术 All rights reserved.
京ICP备2023020795号-1
ghs 京公网安备 11010802042870号
Book学术文献互助
Book学术文献互助群
群 号:604180095
Book学术官方微信