Pbunavirus LS1和bruynogevirus LUZ24噬菌体对浮游和固定性铜绿假单胞菌PAO1衍生物的互补杀伤活性

IF 4.5 2区 医学 Q2 MICROBIOLOGY
Antimicrobial Agents and Chemotherapy Pub Date : 2025-09-03 Epub Date: 2025-07-23 DOI:10.1128/aac.00579-25
Maud Billaud, Clarisse Plantady, Benoît Lerouge, Emma Ollivier, Julien Lossouarn, Elisabeth Moncaut, Julien Deschamps, Romain Briandet, Aurore Cleret, Cindy Fevre, Gaëlle Demarre, Marie-Agnès Petit
{"title":"Pbunavirus LS1和bruynogevirus LUZ24噬菌体对浮游和固定性铜绿假单胞菌PAO1衍生物的互补杀伤活性","authors":"Maud Billaud, Clarisse Plantady, Benoît Lerouge, Emma Ollivier, Julien Lossouarn, Elisabeth Moncaut, Julien Deschamps, Romain Briandet, Aurore Cleret, Cindy Fevre, Gaëlle Demarre, Marie-Agnès Petit","doi":"10.1128/aac.00579-25","DOIUrl":null,"url":null,"abstract":"<p><p>Four phages active against a representative panel of <i>Pseudomonas aeruginosa</i> strains were chosen with the goal of using them for phage therapy. Two were belonging to the <i>Pbunavirus LS1</i> species, and two to the <i>Bruynoghevirus LUZ24</i> species. The receptor of the <i>P. LS1</i> phage Ab27 had already been characterized as the O-antigen chain of the lipopolysaccharides, whereas no information was available at the onset of this work on the receptor used by the <i>B. LUZ24</i> phages. We show that this receptor is the surface polysaccharide Psl, an important component of the biofilm matrix. Remarkably, the <i>B. LUZ24</i> phages were more active against PAO1 in minimal medium compared to rich medium. This was correlated with larger amounts of Psl bound at the bacterial surface during exponential growth in minimal medium, compared to the rich medium. Phages prevented biofilm growth when applied early after biofilm formation on a medical endotracheal tube, as well as in 96-well plates, and acted more slowly on mature biofilms. No biofilm overgrowth was observed when applying the two phage species combination, over a 48 h period of imaging by confocal microscopy. Genetic mutants resistant to each phage arose at a frequency of 10<sup>-5</sup> to 10<sup>-6</sup> per generation, and most <i>P. LS1</i>-resistant mutants were sensitized to the <i>B. LUZ24</i> phage. The combination of the selected phages has promising properties that are relevant in the framework of phage therapy.</p>","PeriodicalId":8152,"journal":{"name":"Antimicrobial Agents and Chemotherapy","volume":" ","pages":"e0057925"},"PeriodicalIF":4.5000,"publicationDate":"2025-09-03","publicationTypes":"Journal Article","fieldsOfStudy":null,"isOpenAccess":false,"openAccessPdf":"https://www.ncbi.nlm.nih.gov/pmc/articles/PMC12406683/pdf/","citationCount":"0","resultStr":"{\"title\":\"Complementary killing activities of <i>Pbunavirus LS1</i> and <i>Bruynoghevirus LUZ24</i> phages on planktonic and sessile <i>Pseudomonas aeruginosa</i> PAO1 derivatives.\",\"authors\":\"Maud Billaud, Clarisse Plantady, Benoît Lerouge, Emma Ollivier, Julien Lossouarn, Elisabeth Moncaut, Julien Deschamps, Romain Briandet, Aurore Cleret, Cindy Fevre, Gaëlle Demarre, Marie-Agnès Petit\",\"doi\":\"10.1128/aac.00579-25\",\"DOIUrl\":null,\"url\":null,\"abstract\":\"<p><p>Four phages active against a representative panel of <i>Pseudomonas aeruginosa</i> strains were chosen with the goal of using them for phage therapy. Two were belonging to the <i>Pbunavirus LS1</i> species, and two to the <i>Bruynoghevirus LUZ24</i> species. The receptor of the <i>P. LS1</i> phage Ab27 had already been characterized as the O-antigen chain of the lipopolysaccharides, whereas no information was available at the onset of this work on the receptor used by the <i>B. LUZ24</i> phages. We show that this receptor is the surface polysaccharide Psl, an important component of the biofilm matrix. Remarkably, the <i>B. LUZ24</i> phages were more active against PAO1 in minimal medium compared to rich medium. This was correlated with larger amounts of Psl bound at the bacterial surface during exponential growth in minimal medium, compared to the rich medium. Phages prevented biofilm growth when applied early after biofilm formation on a medical endotracheal tube, as well as in 96-well plates, and acted more slowly on mature biofilms. No biofilm overgrowth was observed when applying the two phage species combination, over a 48 h period of imaging by confocal microscopy. Genetic mutants resistant to each phage arose at a frequency of 10<sup>-5</sup> to 10<sup>-6</sup> per generation, and most <i>P. LS1</i>-resistant mutants were sensitized to the <i>B. LUZ24</i> phage. The combination of the selected phages has promising properties that are relevant in the framework of phage therapy.</p>\",\"PeriodicalId\":8152,\"journal\":{\"name\":\"Antimicrobial Agents and Chemotherapy\",\"volume\":\" \",\"pages\":\"e0057925\"},\"PeriodicalIF\":4.5000,\"publicationDate\":\"2025-09-03\",\"publicationTypes\":\"Journal Article\",\"fieldsOfStudy\":null,\"isOpenAccess\":false,\"openAccessPdf\":\"https://www.ncbi.nlm.nih.gov/pmc/articles/PMC12406683/pdf/\",\"citationCount\":\"0\",\"resultStr\":null,\"platform\":\"Semanticscholar\",\"paperid\":null,\"PeriodicalName\":\"Antimicrobial Agents and Chemotherapy\",\"FirstCategoryId\":\"3\",\"ListUrlMain\":\"https://doi.org/10.1128/aac.00579-25\",\"RegionNum\":2,\"RegionCategory\":\"医学\",\"ArticlePicture\":[],\"TitleCN\":null,\"AbstractTextCN\":null,\"PMCID\":null,\"EPubDate\":\"2025/7/23 0:00:00\",\"PubModel\":\"Epub\",\"JCR\":\"Q2\",\"JCRName\":\"MICROBIOLOGY\",\"Score\":null,\"Total\":0}","platform":"Semanticscholar","paperid":null,"PeriodicalName":"Antimicrobial Agents and Chemotherapy","FirstCategoryId":"3","ListUrlMain":"https://doi.org/10.1128/aac.00579-25","RegionNum":2,"RegionCategory":"医学","ArticlePicture":[],"TitleCN":null,"AbstractTextCN":null,"PMCID":null,"EPubDate":"2025/7/23 0:00:00","PubModel":"Epub","JCR":"Q2","JCRName":"MICROBIOLOGY","Score":null,"Total":0}
引用次数: 0

摘要

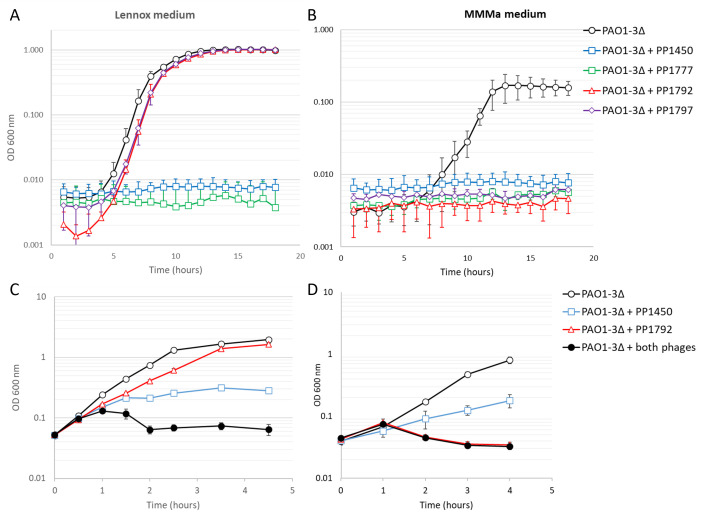
四种噬菌体对铜绿假单胞菌菌株的代表性小组有活性,被选择用于噬菌体治疗的目标。2例属Pbunavirus LS1种,2例属Bruynoghevirus LUZ24种。P. LS1噬菌体Ab27的受体已经被表征为脂多糖的o抗原链,而B. LUZ24噬菌体使用的受体在这项工作开始时没有信息。我们发现这种受体是表面多糖Psl,是生物膜基质的重要组成部分。值得注意的是,B. LUZ24噬菌体在低浓度培养基中比在高浓度培养基中对PAO1更有活性。与富培养基相比,这与在最小培养基中指数生长期间细菌表面结合的Psl量较大有关。在医用气管内管和96孔板上形成生物膜后早期应用噬菌体可阻止生物膜的生长,并且对成熟的生物膜作用较慢。在共聚焦显微镜成像的48小时内,应用两种噬菌体组合时未观察到生物膜过度生长。对每个噬菌体产生抗性的基因突变体每代出现10-5至10-6个,大多数P. ls1抗性突变体对B. LUZ24噬菌体敏感。所选噬菌体的组合具有与噬菌体治疗框架相关的有前途的特性。
本文章由计算机程序翻译,如有差异,请以英文原文为准。

Complementary killing activities of <i>Pbunavirus LS1</i> and <i>Bruynoghevirus LUZ24</i> phages on planktonic and sessile <i>Pseudomonas aeruginosa</i> PAO1 derivatives.

Complementary killing activities of <i>Pbunavirus LS1</i> and <i>Bruynoghevirus LUZ24</i> phages on planktonic and sessile <i>Pseudomonas aeruginosa</i> PAO1 derivatives.

Complementary killing activities of <i>Pbunavirus LS1</i> and <i>Bruynoghevirus LUZ24</i> phages on planktonic and sessile <i>Pseudomonas aeruginosa</i> PAO1 derivatives.

Complementary killing activities of Pbunavirus LS1 and Bruynoghevirus LUZ24 phages on planktonic and sessile Pseudomonas aeruginosa PAO1 derivatives.

Four phages active against a representative panel of Pseudomonas aeruginosa strains were chosen with the goal of using them for phage therapy. Two were belonging to the Pbunavirus LS1 species, and two to the Bruynoghevirus LUZ24 species. The receptor of the P. LS1 phage Ab27 had already been characterized as the O-antigen chain of the lipopolysaccharides, whereas no information was available at the onset of this work on the receptor used by the B. LUZ24 phages. We show that this receptor is the surface polysaccharide Psl, an important component of the biofilm matrix. Remarkably, the B. LUZ24 phages were more active against PAO1 in minimal medium compared to rich medium. This was correlated with larger amounts of Psl bound at the bacterial surface during exponential growth in minimal medium, compared to the rich medium. Phages prevented biofilm growth when applied early after biofilm formation on a medical endotracheal tube, as well as in 96-well plates, and acted more slowly on mature biofilms. No biofilm overgrowth was observed when applying the two phage species combination, over a 48 h period of imaging by confocal microscopy. Genetic mutants resistant to each phage arose at a frequency of 10-5 to 10-6 per generation, and most P. LS1-resistant mutants were sensitized to the B. LUZ24 phage. The combination of the selected phages has promising properties that are relevant in the framework of phage therapy.

求助全文
通过发布文献求助,成功后即可免费获取论文全文。 去求助
来源期刊
CiteScore
10.00
自引率
8.20%
发文量
762
审稿时长
3 months
期刊介绍: Antimicrobial Agents and Chemotherapy (AAC) features interdisciplinary studies that build our understanding of the underlying mechanisms and therapeutic applications of antimicrobial and antiparasitic agents and chemotherapy.
×
引用
GB/T 7714-2015
复制
MLA
复制
APA
复制
导出至
BibTeX EndNote RefMan NoteFirst NoteExpress
×
提示
您的信息不完整,为了账户安全,请先补充。
现在去补充
×
提示
您因"违规操作"
具体请查看互助需知
我知道了
×
提示
确定
请完成安全验证×
copy
已复制链接
快去分享给好友吧!
我知道了
右上角分享
点击右上角分享
0
联系我们:info@booksci.cn Book学术提供免费学术资源搜索服务,方便国内外学者检索中英文文献。致力于提供最便捷和优质的服务体验。 Copyright © 2023 布克学术 All rights reserved.
京ICP备2023020795号-1
ghs 京公网安备 11010802042870号
Book学术文献互助
Book学术文献互助群
群 号:604180095
Book学术官方微信