关节镜治疗膝关节滑膜软骨瘤病的疗效分析:一项超过五年的回顾性研究。

IF 2.1 2区 医学 Q2 ORTHOPEDICS
Orthopaedic Surgery Pub Date : 2025-09-01 Epub Date: 2025-07-21 DOI:10.1111/os.70132
Yang Xu, Tao Li, Wenjing Ma, Lei Yao, Jian Li
{"title":"关节镜治疗膝关节滑膜软骨瘤病的疗效分析:一项超过五年的回顾性研究。","authors":"Yang Xu, Tao Li, Wenjing Ma, Lei Yao, Jian Li","doi":"10.1111/os.70132","DOIUrl":null,"url":null,"abstract":"<p><strong>Objective: </strong>The synovial chondromatosis is an exceptionally rare benign condition, predominantly found in the knee joint, and can result in pain, restricted mobility, and potential irreversible damage to the joint and cartilage. Despite the utilization of arthroscopic techniques in the surgical management of synovial chondromatosis, there remains a paucity of long-term assessment regarding its efficacy. The main objectives of this study include: (i) investigating the long-term efficacy of arthroscopic surgery in patients with knee synovial chondromatosis;(ii) identifying factors influencing functional improvement in patients post-surgery function.</p><p><strong>Methods: </strong>We conducted a retrospective analysis of all patients with synovial chondromatosis of the knee who underwent arthroscopic synovectomy and loose body removal at our institution between June 2009 and January 2020. The follow-up period for all cases exceeded 5 years. Data collection included demographic details, clinical efficacy indicators(VAS, KOOS, WOMAC, etc.), imaging findings, and subjective satisfaction of patients with surgical outcomes. Data analysis selected t-tests, ANOVA, non-parametric tests, and correlation methods based on normality test results.</p><p><strong>Results: </strong>We enrolled a total of 13 patients, including 4 men and 9 women, with a mean follow-up of 113.15 ± 30.45 months (range 61-145). There were no postoperative complications, recurrence, or malignant transformation in all patients, and the VAS scores, KOOS scores, WOMAC scores, and Lysholm scores of all patients were significantly improved at 3 months, 6 months, 1 year, 5 years, and the last follow-up (p < 0.05). However, one patient experienced osteoarthritis progression, necessitating arthroplasty.</p><p><strong>Conclusion: </strong>This retrospective study demonstrated that arthroscopic treatment for knee synovial chondromatosis is effective and safe. It leads to immediate post-intervention improvement in symptoms and function, with sustained long-term benefits.</p>","PeriodicalId":19566,"journal":{"name":"Orthopaedic Surgery","volume":" ","pages":"2608-2616"},"PeriodicalIF":2.1000,"publicationDate":"2025-09-01","publicationTypes":"Journal Article","fieldsOfStudy":null,"isOpenAccess":false,"openAccessPdf":"https://www.ncbi.nlm.nih.gov/pmc/articles/PMC12404863/pdf/","citationCount":"0","resultStr":"{\"title\":\"Efficacy Analysis of Arthroscopic Treatment of Synovial Chondromatosis of the Knee: A Retrospective Study of More Than Five Years.\",\"authors\":\"Yang Xu, Tao Li, Wenjing Ma, Lei Yao, Jian Li\",\"doi\":\"10.1111/os.70132\",\"DOIUrl\":null,\"url\":null,\"abstract\":\"<p><strong>Objective: </strong>The synovial chondromatosis is an exceptionally rare benign condition, predominantly found in the knee joint, and can result in pain, restricted mobility, and potential irreversible damage to the joint and cartilage. Despite the utilization of arthroscopic techniques in the surgical management of synovial chondromatosis, there remains a paucity of long-term assessment regarding its efficacy. The main objectives of this study include: (i) investigating the long-term efficacy of arthroscopic surgery in patients with knee synovial chondromatosis;(ii) identifying factors influencing functional improvement in patients post-surgery function.</p><p><strong>Methods: </strong>We conducted a retrospective analysis of all patients with synovial chondromatosis of the knee who underwent arthroscopic synovectomy and loose body removal at our institution between June 2009 and January 2020. The follow-up period for all cases exceeded 5 years. Data collection included demographic details, clinical efficacy indicators(VAS, KOOS, WOMAC, etc.), imaging findings, and subjective satisfaction of patients with surgical outcomes. Data analysis selected t-tests, ANOVA, non-parametric tests, and correlation methods based on normality test results.</p><p><strong>Results: </strong>We enrolled a total of 13 patients, including 4 men and 9 women, with a mean follow-up of 113.15 ± 30.45 months (range 61-145). There were no postoperative complications, recurrence, or malignant transformation in all patients, and the VAS scores, KOOS scores, WOMAC scores, and Lysholm scores of all patients were significantly improved at 3 months, 6 months, 1 year, 5 years, and the last follow-up (p < 0.05). However, one patient experienced osteoarthritis progression, necessitating arthroplasty.</p><p><strong>Conclusion: </strong>This retrospective study demonstrated that arthroscopic treatment for knee synovial chondromatosis is effective and safe. It leads to immediate post-intervention improvement in symptoms and function, with sustained long-term benefits.</p>\",\"PeriodicalId\":19566,\"journal\":{\"name\":\"Orthopaedic Surgery\",\"volume\":\" \",\"pages\":\"2608-2616\"},\"PeriodicalIF\":2.1000,\"publicationDate\":\"2025-09-01\",\"publicationTypes\":\"Journal Article\",\"fieldsOfStudy\":null,\"isOpenAccess\":false,\"openAccessPdf\":\"https://www.ncbi.nlm.nih.gov/pmc/articles/PMC12404863/pdf/\",\"citationCount\":\"0\",\"resultStr\":null,\"platform\":\"Semanticscholar\",\"paperid\":null,\"PeriodicalName\":\"Orthopaedic Surgery\",\"FirstCategoryId\":\"3\",\"ListUrlMain\":\"https://doi.org/10.1111/os.70132\",\"RegionNum\":2,\"RegionCategory\":\"医学\",\"ArticlePicture\":[],\"TitleCN\":null,\"AbstractTextCN\":null,\"PMCID\":null,\"EPubDate\":\"2025/7/21 0:00:00\",\"PubModel\":\"Epub\",\"JCR\":\"Q2\",\"JCRName\":\"ORTHOPEDICS\",\"Score\":null,\"Total\":0}","platform":"Semanticscholar","paperid":null,"PeriodicalName":"Orthopaedic Surgery","FirstCategoryId":"3","ListUrlMain":"https://doi.org/10.1111/os.70132","RegionNum":2,"RegionCategory":"医学","ArticlePicture":[],"TitleCN":null,"AbstractTextCN":null,"PMCID":null,"EPubDate":"2025/7/21 0:00:00","PubModel":"Epub","JCR":"Q2","JCRName":"ORTHOPEDICS","Score":null,"Total":0}
引用次数: 0

摘要

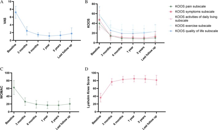
目的:滑膜软骨瘤病是一种非常罕见的良性疾病,主要发生在膝关节,可导致疼痛,活动受限,并可能对关节和软骨造成不可逆的损伤。尽管关节镜技术在滑膜软骨瘤病的手术治疗中得到了应用,但对其疗效的长期评估仍然缺乏。本研究的主要目的包括:(i)调查膝关节滑膜软骨瘤病患者关节镜手术的长期疗效;(ii)确定影响患者术后功能改善的因素。方法:我们对2009年6月至2020年1月在我院接受关节镜滑膜切除术和松体切除术的所有膝关节滑膜软骨瘤病患者进行了回顾性分析。所有病例随访时间均超过5年。资料收集包括人口学资料、临床疗效指标(VAS、oos、WOMAC等)、影像学表现、患者对手术结果的主观满意度。数据分析选择基于正态性检验结果的t检验、方差分析、非参数检验和相关方法。结果:共入组13例患者,男4例,女9例,平均随访时间113.15±30.45个月(61 ~ 145个月)。所有患者均无术后并发症、复发、恶性转化,且所有患者在随访3个月、6个月、1年、5年及末次随访时VAS评分、oos评分、WOMAC评分、Lysholm评分均有显著改善(p)。结论:本回顾性研究表明关节镜下治疗膝关节滑膜软骨瘤病是有效、安全的。它可导致干预后症状和功能的立即改善,并具有持续的长期益处。
本文章由计算机程序翻译,如有差异,请以英文原文为准。

Efficacy Analysis of Arthroscopic Treatment of Synovial Chondromatosis of the Knee: A Retrospective Study of More Than Five Years.

Efficacy Analysis of Arthroscopic Treatment of Synovial Chondromatosis of the Knee: A Retrospective Study of More Than Five Years.

Efficacy Analysis of Arthroscopic Treatment of Synovial Chondromatosis of the Knee: A Retrospective Study of More Than Five Years.

Efficacy Analysis of Arthroscopic Treatment of Synovial Chondromatosis of the Knee: A Retrospective Study of More Than Five Years.

Objective: The synovial chondromatosis is an exceptionally rare benign condition, predominantly found in the knee joint, and can result in pain, restricted mobility, and potential irreversible damage to the joint and cartilage. Despite the utilization of arthroscopic techniques in the surgical management of synovial chondromatosis, there remains a paucity of long-term assessment regarding its efficacy. The main objectives of this study include: (i) investigating the long-term efficacy of arthroscopic surgery in patients with knee synovial chondromatosis;(ii) identifying factors influencing functional improvement in patients post-surgery function.

Methods: We conducted a retrospective analysis of all patients with synovial chondromatosis of the knee who underwent arthroscopic synovectomy and loose body removal at our institution between June 2009 and January 2020. The follow-up period for all cases exceeded 5 years. Data collection included demographic details, clinical efficacy indicators(VAS, KOOS, WOMAC, etc.), imaging findings, and subjective satisfaction of patients with surgical outcomes. Data analysis selected t-tests, ANOVA, non-parametric tests, and correlation methods based on normality test results.

Results: We enrolled a total of 13 patients, including 4 men and 9 women, with a mean follow-up of 113.15 ± 30.45 months (range 61-145). There were no postoperative complications, recurrence, or malignant transformation in all patients, and the VAS scores, KOOS scores, WOMAC scores, and Lysholm scores of all patients were significantly improved at 3 months, 6 months, 1 year, 5 years, and the last follow-up (p < 0.05). However, one patient experienced osteoarthritis progression, necessitating arthroplasty.

Conclusion: This retrospective study demonstrated that arthroscopic treatment for knee synovial chondromatosis is effective and safe. It leads to immediate post-intervention improvement in symptoms and function, with sustained long-term benefits.

求助全文
通过发布文献求助,成功后即可免费获取论文全文。 去求助
来源期刊
Orthopaedic Surgery
Orthopaedic Surgery ORTHOPEDICS-
CiteScore
3.40
自引率
14.30%
发文量
374
审稿时长
20 weeks
期刊介绍: Orthopaedic Surgery (OS) is the official journal of the Chinese Orthopaedic Association, focusing on all aspects of orthopaedic technique and surgery. The journal publishes peer-reviewed articles in the following categories: Original Articles, Clinical Articles, Review Articles, Guidelines, Editorials, Commentaries, Surgical Techniques, Case Reports and Meeting Reports.
×
引用
GB/T 7714-2015
复制
MLA
复制
APA
复制
导出至
BibTeX EndNote RefMan NoteFirst NoteExpress
×
提示
您的信息不完整,为了账户安全,请先补充。
现在去补充
×
提示
您因"违规操作"
具体请查看互助需知
我知道了
×
提示
确定
请完成安全验证×
copy
已复制链接
快去分享给好友吧!
我知道了
右上角分享
点击右上角分享
0
联系我们:info@booksci.cn Book学术提供免费学术资源搜索服务,方便国内外学者检索中英文文献。致力于提供最便捷和优质的服务体验。 Copyright © 2023 布克学术 All rights reserved.
京ICP备2023020795号-1
ghs 京公网安备 11010802042870号
Book学术文献互助
Book学术文献互助群
群 号:604180095
Book学术官方微信