阿拉伯语版患者健康问卷-2 (PHQ-2):智力残疾儿童母亲的心理测量评估。

IF 2.3 Q1 NURSING
Nursing Research and Practice Pub Date : 2025-07-10 eCollection Date: 2025-01-01 DOI:10.1155/nrp/9934710
Amira Mohammed Ali, Saeed A Al-Dossary, Musheer A Aljaberi, Heba Emad El-Gazar, Carlos Laranjeira, Haitham Khatatbeh, Mohamed Ali Zoromba, Rasmieh Alamer, Faten Amer, Annamaria Pakai, Feten Fekih-Romdhane
{"title":"阿拉伯语版患者健康问卷-2 (PHQ-2):智力残疾儿童母亲的心理测量评估。","authors":"Amira Mohammed Ali, Saeed A Al-Dossary, Musheer A Aljaberi, Heba Emad El-Gazar, Carlos Laranjeira, Haitham Khatatbeh, Mohamed Ali Zoromba, Rasmieh Alamer, Faten Amer, Annamaria Pakai, Feten Fekih-Romdhane","doi":"10.1155/nrp/9934710","DOIUrl":null,"url":null,"abstract":"<p><p><b>Aim:</b> Mothers of children with intellectual disabilities are particularly vulnerable to mental distress due to demanding and exhausting caregiving. However, in the Arab world, they are seldom screened for depression because of limited diagnostic resources. Addressing the urgent need for brief and reliable screening tools, this study evaluated the psychometric properties of the Arabic version of the Patient Health Questionnaire-2 (PHQ-2) among 85 Saudi mothers. <b>Design:</b> A cross-sectional study. <b>Methods:</b> The construct, convergent, and divergent validity of the PHQ-2 was examined through a latent variable model (LVM), while its cutoff score was examined through receiver-operating characteristic (ROC) curve analysis. <b>Results:</b> The unidimensional PHQ-2 (item loadings > 0.7) was positively predicted by stress and negatively predicted by high mood and happiness, supporting its convergent and divergent validity. The PHQ-2 effectively predicted low mood, poor sleep quality, nightmares, high stress, low general physical health, and willingness to join a psychological support program (area under the curve [AUC] range = 0.72-0.84, <i>p</i> values < 0.001). The best balance between sensitivity and specificity was achieved at the PHQ-2 threshold ≥ 2.5, while the cutoff ≥ 3.5 demonstrated a higher positive predictive value (PPV) for all outcomes (range = 30.0-78.8 vs. 23.0-70.8). <b>Conclusions:</b> The PHQ-2 is a brief, valid tool, which at cutoffs ≥ 2.5 and ≥ 3.5 can reliably detect clinically significant depression and related psychological and physical adverse effects. Mothers scoring ≥ 3.5 may require a clinician-based examination for depression, and they may benefit from specific mental health literacy interventions. However, the results should be interpreted with caution given convenience sampling, a small sample size, and elevated distress levels in the current population. These limitations highlight the need to replicate the study with larger, randomly selected samples from more diverse populations. <b>Implications for Practice:</b> Nurses can efficiently screen for depression and its mental/physical sequelae, as well as monitor response to treatment using only two items. The study provided two well-interpreted cutoffs of the PHQ-2, with real-world implications for mental health screening in under-resourced settings. <b>Reporting Method:</b> The study adhered to STROBE guidelines. <b>Patient or Public Contribution:</b> No patient or public contribution.</p>","PeriodicalId":46917,"journal":{"name":"Nursing Research and Practice","volume":"2025 ","pages":"9934710"},"PeriodicalIF":2.3000,"publicationDate":"2025-07-10","publicationTypes":"Journal Article","fieldsOfStudy":null,"isOpenAccess":false,"openAccessPdf":"https://www.ncbi.nlm.nih.gov/pmc/articles/PMC12271688/pdf/","citationCount":"0","resultStr":"{\"title\":\"The Arabic Version of the Patient Health Questionnaire-2 (PHQ-2): Psychometric Evaluation Among Mothers of Children With Intellectual Disabilities.\",\"authors\":\"Amira Mohammed Ali, Saeed A Al-Dossary, Musheer A Aljaberi, Heba Emad El-Gazar, Carlos Laranjeira, Haitham Khatatbeh, Mohamed Ali Zoromba, Rasmieh Alamer, Faten Amer, Annamaria Pakai, Feten Fekih-Romdhane\",\"doi\":\"10.1155/nrp/9934710\",\"DOIUrl\":null,\"url\":null,\"abstract\":\"<p><p><b>Aim:</b> Mothers of children with intellectual disabilities are particularly vulnerable to mental distress due to demanding and exhausting caregiving. However, in the Arab world, they are seldom screened for depression because of limited diagnostic resources. Addressing the urgent need for brief and reliable screening tools, this study evaluated the psychometric properties of the Arabic version of the Patient Health Questionnaire-2 (PHQ-2) among 85 Saudi mothers. <b>Design:</b> A cross-sectional study. <b>Methods:</b> The construct, convergent, and divergent validity of the PHQ-2 was examined through a latent variable model (LVM), while its cutoff score was examined through receiver-operating characteristic (ROC) curve analysis. <b>Results:</b> The unidimensional PHQ-2 (item loadings > 0.7) was positively predicted by stress and negatively predicted by high mood and happiness, supporting its convergent and divergent validity. The PHQ-2 effectively predicted low mood, poor sleep quality, nightmares, high stress, low general physical health, and willingness to join a psychological support program (area under the curve [AUC] range = 0.72-0.84, <i>p</i> values < 0.001). The best balance between sensitivity and specificity was achieved at the PHQ-2 threshold ≥ 2.5, while the cutoff ≥ 3.5 demonstrated a higher positive predictive value (PPV) for all outcomes (range = 30.0-78.8 vs. 23.0-70.8). <b>Conclusions:</b> The PHQ-2 is a brief, valid tool, which at cutoffs ≥ 2.5 and ≥ 3.5 can reliably detect clinically significant depression and related psychological and physical adverse effects. Mothers scoring ≥ 3.5 may require a clinician-based examination for depression, and they may benefit from specific mental health literacy interventions. However, the results should be interpreted with caution given convenience sampling, a small sample size, and elevated distress levels in the current population. These limitations highlight the need to replicate the study with larger, randomly selected samples from more diverse populations. <b>Implications for Practice:</b> Nurses can efficiently screen for depression and its mental/physical sequelae, as well as monitor response to treatment using only two items. The study provided two well-interpreted cutoffs of the PHQ-2, with real-world implications for mental health screening in under-resourced settings. <b>Reporting Method:</b> The study adhered to STROBE guidelines. <b>Patient or Public Contribution:</b> No patient or public contribution.</p>\",\"PeriodicalId\":46917,\"journal\":{\"name\":\"Nursing Research and Practice\",\"volume\":\"2025 \",\"pages\":\"9934710\"},\"PeriodicalIF\":2.3000,\"publicationDate\":\"2025-07-10\",\"publicationTypes\":\"Journal Article\",\"fieldsOfStudy\":null,\"isOpenAccess\":false,\"openAccessPdf\":\"https://www.ncbi.nlm.nih.gov/pmc/articles/PMC12271688/pdf/\",\"citationCount\":\"0\",\"resultStr\":null,\"platform\":\"Semanticscholar\",\"paperid\":null,\"PeriodicalName\":\"Nursing Research and Practice\",\"FirstCategoryId\":\"1085\",\"ListUrlMain\":\"https://doi.org/10.1155/nrp/9934710\",\"RegionNum\":0,\"RegionCategory\":null,\"ArticlePicture\":[],\"TitleCN\":null,\"AbstractTextCN\":null,\"PMCID\":null,\"EPubDate\":\"2025/1/1 0:00:00\",\"PubModel\":\"eCollection\",\"JCR\":\"Q1\",\"JCRName\":\"NURSING\",\"Score\":null,\"Total\":0}","platform":"Semanticscholar","paperid":null,"PeriodicalName":"Nursing Research and Practice","FirstCategoryId":"1085","ListUrlMain":"https://doi.org/10.1155/nrp/9934710","RegionNum":0,"RegionCategory":null,"ArticlePicture":[],"TitleCN":null,"AbstractTextCN":null,"PMCID":null,"EPubDate":"2025/1/1 0:00:00","PubModel":"eCollection","JCR":"Q1","JCRName":"NURSING","Score":null,"Total":0}
引用次数: 0

摘要

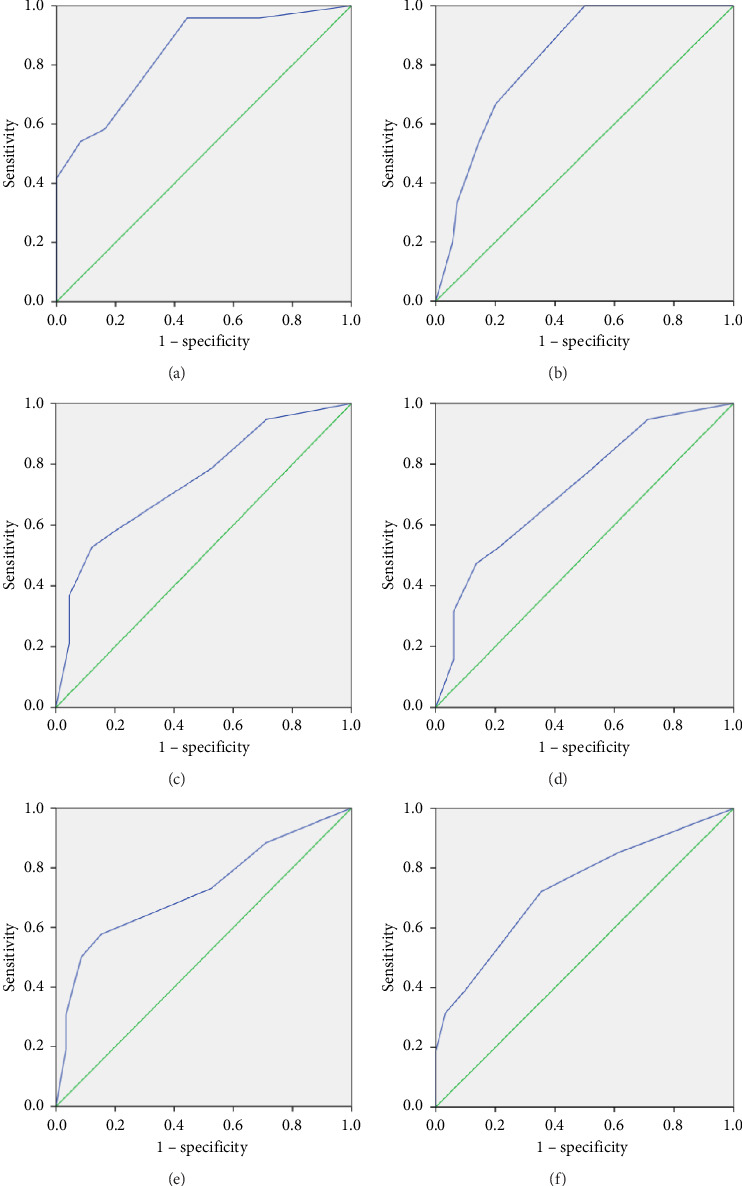
目的:智力残疾儿童的母亲特别容易受到精神痛苦的影响,因为照顾孩子需要付出艰苦的努力。然而,在阿拉伯世界,由于诊断资源有限,他们很少接受抑郁症筛查。为了解决对简短可靠的筛查工具的迫切需求,本研究评估了85名沙特母亲的阿拉伯版患者健康问卷-2 (PHQ-2)的心理测量特性。设计:横断面研究。方法:采用潜变量模型(LVM)检验PHQ-2的结构效度、收敛效度和发散效度,采用受试者工作特征(ROC)曲线分析检验其截止评分。结果:单维度PHQ-2(项目负荷> 0.7)被应激正向预测,高情绪和快乐负向预测,支持其收敛效度和发散效度。PHQ-2可有效预测情绪低落、睡眠质量差、噩梦、高压力、总体身体健康状况不佳和加入心理支持计划的意愿(曲线下面积[AUC]范围= 0.72-0.84,p值)。结论:PHQ-2是一种简单有效的工具,在临界值≥2.5和≥3.5时,可可靠地检测出临床显著的抑郁及相关的心理和生理不良反应。得分≥3.5分的母亲可能需要进行基于临床的抑郁症检查,她们可能从特定的心理健康素养干预措施中受益。然而,考虑到方便的抽样、小样本量和当前人群中较高的痛苦水平,应该谨慎地解释结果。这些局限性突出表明,需要从更多样化的人群中随机选择更大的样本来重复这项研究。对实践的启示:护士可以有效地筛查抑郁症及其精神/身体后遗症,以及监测对治疗的反应,只需使用两个项目。该研究提供了两个很好的解释PHQ-2的截断值,对资源不足地区的精神健康筛查具有现实意义。报告方法:本研究遵循STROBE指南。患者或公众贡献:无患者或公众贡献。
本文章由计算机程序翻译,如有差异,请以英文原文为准。

The Arabic Version of the Patient Health Questionnaire-2 (PHQ-2): Psychometric Evaluation Among Mothers of Children With Intellectual Disabilities.

The Arabic Version of the Patient Health Questionnaire-2 (PHQ-2): Psychometric Evaluation Among Mothers of Children With Intellectual Disabilities.

The Arabic Version of the Patient Health Questionnaire-2 (PHQ-2): Psychometric Evaluation Among Mothers of Children With Intellectual Disabilities.

Aim: Mothers of children with intellectual disabilities are particularly vulnerable to mental distress due to demanding and exhausting caregiving. However, in the Arab world, they are seldom screened for depression because of limited diagnostic resources. Addressing the urgent need for brief and reliable screening tools, this study evaluated the psychometric properties of the Arabic version of the Patient Health Questionnaire-2 (PHQ-2) among 85 Saudi mothers. Design: A cross-sectional study. Methods: The construct, convergent, and divergent validity of the PHQ-2 was examined through a latent variable model (LVM), while its cutoff score was examined through receiver-operating characteristic (ROC) curve analysis. Results: The unidimensional PHQ-2 (item loadings > 0.7) was positively predicted by stress and negatively predicted by high mood and happiness, supporting its convergent and divergent validity. The PHQ-2 effectively predicted low mood, poor sleep quality, nightmares, high stress, low general physical health, and willingness to join a psychological support program (area under the curve [AUC] range = 0.72-0.84, p values < 0.001). The best balance between sensitivity and specificity was achieved at the PHQ-2 threshold ≥ 2.5, while the cutoff ≥ 3.5 demonstrated a higher positive predictive value (PPV) for all outcomes (range = 30.0-78.8 vs. 23.0-70.8). Conclusions: The PHQ-2 is a brief, valid tool, which at cutoffs ≥ 2.5 and ≥ 3.5 can reliably detect clinically significant depression and related psychological and physical adverse effects. Mothers scoring ≥ 3.5 may require a clinician-based examination for depression, and they may benefit from specific mental health literacy interventions. However, the results should be interpreted with caution given convenience sampling, a small sample size, and elevated distress levels in the current population. These limitations highlight the need to replicate the study with larger, randomly selected samples from more diverse populations. Implications for Practice: Nurses can efficiently screen for depression and its mental/physical sequelae, as well as monitor response to treatment using only two items. The study provided two well-interpreted cutoffs of the PHQ-2, with real-world implications for mental health screening in under-resourced settings. Reporting Method: The study adhered to STROBE guidelines. Patient or Public Contribution: No patient or public contribution.

求助全文
通过发布文献求助,成功后即可免费获取论文全文。 去求助
来源期刊
CiteScore
2.90
自引率
0.00%
发文量
21
审稿时长
19 weeks
×
引用
GB/T 7714-2015
复制
MLA
复制
APA
复制
导出至
BibTeX EndNote RefMan NoteFirst NoteExpress
×
提示
您的信息不完整,为了账户安全,请先补充。
现在去补充
×
提示
您因"违规操作"
具体请查看互助需知
我知道了
×
提示
确定
请完成安全验证×
copy
已复制链接
快去分享给好友吧!
我知道了
右上角分享
点击右上角分享
0
联系我们:info@booksci.cn Book学术提供免费学术资源搜索服务,方便国内外学者检索中英文文献。致力于提供最便捷和优质的服务体验。 Copyright © 2023 布克学术 All rights reserved.
京ICP备2023020795号-1
ghs 京公网安备 11010802042870号
Book学术文献互助
Book学术文献互助群
群 号:604180095
Book学术官方微信