心外膜脂肪厚度预测st段抬高型心肌梗死患者的严重冠状动脉疾病和高死亡风险。

IF 2.4 Q2 CARDIAC & CARDIOVASCULAR SYSTEMS
Heba M El-Naggar, Jacqueline G Abdel-Maseh, Hosam Hasan-Ali, Shimaa S Khidr
{"title":"心外膜脂肪厚度预测st段抬高型心肌梗死患者的严重冠状动脉疾病和高死亡风险。","authors":"Heba M El-Naggar, Jacqueline G Abdel-Maseh, Hosam Hasan-Ali, Shimaa S Khidr","doi":"10.1186/s44156-025-00087-y","DOIUrl":null,"url":null,"abstract":"<p><strong>Background: </strong>Epicardial adipose tissue has been identified as a significant marker in the assessment of coronary artery disease (CAD), with a possible impact on the development of acute coronary events including ST-elevation myocardial infarction (STEMI).</p><p><strong>Aim: </strong>To assess the association and predictability of echocardiographic-measured epicardial fat thickness (EFT) for the severity of CAD and mortality risk among STEMI patients.</p><p><strong>Methods: </strong>This study included 159 STEMI patients who underwent primary percutaneous coronary intervention (PPCI) and survived the in-hospital duration. Anthropometric measurements, lipid profiles, and angiographic data were recorded. The correlations between echo-measured EFT and CAD severity indicated by the syntax score (SS) were assessed. In-hospital and 6-month major adverse cardiovascular events (MACE) were reported, and mortality risk was evaluated using the Grace score.</p><p><strong>Results: </strong>Among the study population, 104 patients (65.4%) had low SS, 45 patients (28.3%) had moderate SS, and 10 patients (6.3%) had high SS. STEMI patients with moderate/high SS had significantly larger EFT. EFT showed a significant correlation with BMI (r = 0.57), fat mass (kg) (r = 0.44), LDL (r = 0.40), the syntax score (r = 0.74), and the Grace score (r = 0.68), (p < 0.001 for all). Our ROC-derived cutoff value of EFT ≥ 5.45 mm significantly discriminated STEMI patients with moderate/high-SS, high coronary thrombus burden, 6-months high mortality risk, and 6-months MACE with reasonable respective sensitivity and specificity. Increased EFT independently predicted moderate/high-SS and high mortality risk on multivariable regression analysis.</p><p><strong>Conclusion: </strong>Echo-measured EFT ≥ 5.45 mm might be a reliable non-invasive marker for predicting CAD severity, high coronary thrombus burden, 6-months high mortality risk, and 6-months MACE among STEMI patients.</p>","PeriodicalId":45749,"journal":{"name":"Echo Research and Practice","volume":"12 1","pages":"17"},"PeriodicalIF":2.4000,"publicationDate":"2025-07-21","publicationTypes":"Journal Article","fieldsOfStudy":null,"isOpenAccess":false,"openAccessPdf":"https://www.ncbi.nlm.nih.gov/pmc/articles/PMC12278483/pdf/","citationCount":"0","resultStr":"{\"title\":\"Epicardial fat thickness predicts severe coronary artery disease and high mortality risk among ST-elevation myocardial infarction patients.\",\"authors\":\"Heba M El-Naggar, Jacqueline G Abdel-Maseh, Hosam Hasan-Ali, Shimaa S Khidr\",\"doi\":\"10.1186/s44156-025-00087-y\",\"DOIUrl\":null,\"url\":null,\"abstract\":\"<p><strong>Background: </strong>Epicardial adipose tissue has been identified as a significant marker in the assessment of coronary artery disease (CAD), with a possible impact on the development of acute coronary events including ST-elevation myocardial infarction (STEMI).</p><p><strong>Aim: </strong>To assess the association and predictability of echocardiographic-measured epicardial fat thickness (EFT) for the severity of CAD and mortality risk among STEMI patients.</p><p><strong>Methods: </strong>This study included 159 STEMI patients who underwent primary percutaneous coronary intervention (PPCI) and survived the in-hospital duration. Anthropometric measurements, lipid profiles, and angiographic data were recorded. The correlations between echo-measured EFT and CAD severity indicated by the syntax score (SS) were assessed. In-hospital and 6-month major adverse cardiovascular events (MACE) were reported, and mortality risk was evaluated using the Grace score.</p><p><strong>Results: </strong>Among the study population, 104 patients (65.4%) had low SS, 45 patients (28.3%) had moderate SS, and 10 patients (6.3%) had high SS. STEMI patients with moderate/high SS had significantly larger EFT. EFT showed a significant correlation with BMI (r = 0.57), fat mass (kg) (r = 0.44), LDL (r = 0.40), the syntax score (r = 0.74), and the Grace score (r = 0.68), (p < 0.001 for all). Our ROC-derived cutoff value of EFT ≥ 5.45 mm significantly discriminated STEMI patients with moderate/high-SS, high coronary thrombus burden, 6-months high mortality risk, and 6-months MACE with reasonable respective sensitivity and specificity. Increased EFT independently predicted moderate/high-SS and high mortality risk on multivariable regression analysis.</p><p><strong>Conclusion: </strong>Echo-measured EFT ≥ 5.45 mm might be a reliable non-invasive marker for predicting CAD severity, high coronary thrombus burden, 6-months high mortality risk, and 6-months MACE among STEMI patients.</p>\",\"PeriodicalId\":45749,\"journal\":{\"name\":\"Echo Research and Practice\",\"volume\":\"12 1\",\"pages\":\"17\"},\"PeriodicalIF\":2.4000,\"publicationDate\":\"2025-07-21\",\"publicationTypes\":\"Journal Article\",\"fieldsOfStudy\":null,\"isOpenAccess\":false,\"openAccessPdf\":\"https://www.ncbi.nlm.nih.gov/pmc/articles/PMC12278483/pdf/\",\"citationCount\":\"0\",\"resultStr\":null,\"platform\":\"Semanticscholar\",\"paperid\":null,\"PeriodicalName\":\"Echo Research and Practice\",\"FirstCategoryId\":\"1085\",\"ListUrlMain\":\"https://doi.org/10.1186/s44156-025-00087-y\",\"RegionNum\":0,\"RegionCategory\":null,\"ArticlePicture\":[],\"TitleCN\":null,\"AbstractTextCN\":null,\"PMCID\":null,\"EPubDate\":\"\",\"PubModel\":\"\",\"JCR\":\"Q2\",\"JCRName\":\"CARDIAC & CARDIOVASCULAR SYSTEMS\",\"Score\":null,\"Total\":0}","platform":"Semanticscholar","paperid":null,"PeriodicalName":"Echo Research and Practice","FirstCategoryId":"1085","ListUrlMain":"https://doi.org/10.1186/s44156-025-00087-y","RegionNum":0,"RegionCategory":null,"ArticlePicture":[],"TitleCN":null,"AbstractTextCN":null,"PMCID":null,"EPubDate":"","PubModel":"","JCR":"Q2","JCRName":"CARDIAC & CARDIOVASCULAR SYSTEMS","Score":null,"Total":0}
引用次数: 0

摘要

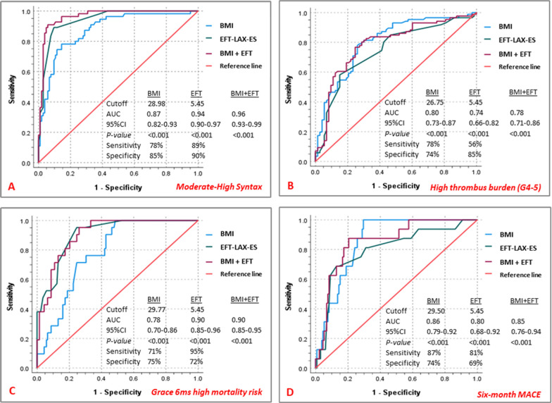
背景:心外膜脂肪组织已被确定为评估冠状动脉疾病(CAD)的重要标志物,可能影响包括st段抬高心肌梗死(STEMI)在内的急性冠状动脉事件的发展。目的:评估超声心动图测量的心外膜脂肪厚度(EFT)与STEMI患者冠心病严重程度和死亡风险的相关性和可预测性。方法:本研究纳入159例经皮冠状动脉介入治疗(PPCI)并在住院期间存活的STEMI患者。记录人体测量、脂质谱和血管造影数据。评估回声测量EFT与语法评分(SS)表示的CAD严重程度之间的相关性。报告住院和6个月主要不良心血管事件(MACE),并使用Grace评分评估死亡风险。结果:在研究人群中,低SS 104例(65.4%),中度SS 45例(28.3%),高SS 10例(6.3%),中高SS STEMI患者EFT显著增高。EFT与BMI (r = 0.57)、脂肪质量(kg) (r = 0.44)、LDL (r = 0.40)、句法评分(r = 0.74)和Grace评分(r = 0.68)有显著相关性(p)。结论:超声测量EFT≥5.45 mm可能是预测STEMI患者冠心病严重程度、高冠状动脉血栓负担、6个月高死亡率风险和6个月MACE的可靠无创指标。
本文章由计算机程序翻译,如有差异,请以英文原文为准。

Epicardial fat thickness predicts severe coronary artery disease and high mortality risk among ST-elevation myocardial infarction patients.

Epicardial fat thickness predicts severe coronary artery disease and high mortality risk among ST-elevation myocardial infarction patients.

Epicardial fat thickness predicts severe coronary artery disease and high mortality risk among ST-elevation myocardial infarction patients.

Epicardial fat thickness predicts severe coronary artery disease and high mortality risk among ST-elevation myocardial infarction patients.

Background: Epicardial adipose tissue has been identified as a significant marker in the assessment of coronary artery disease (CAD), with a possible impact on the development of acute coronary events including ST-elevation myocardial infarction (STEMI).

Aim: To assess the association and predictability of echocardiographic-measured epicardial fat thickness (EFT) for the severity of CAD and mortality risk among STEMI patients.

Methods: This study included 159 STEMI patients who underwent primary percutaneous coronary intervention (PPCI) and survived the in-hospital duration. Anthropometric measurements, lipid profiles, and angiographic data were recorded. The correlations between echo-measured EFT and CAD severity indicated by the syntax score (SS) were assessed. In-hospital and 6-month major adverse cardiovascular events (MACE) were reported, and mortality risk was evaluated using the Grace score.

Results: Among the study population, 104 patients (65.4%) had low SS, 45 patients (28.3%) had moderate SS, and 10 patients (6.3%) had high SS. STEMI patients with moderate/high SS had significantly larger EFT. EFT showed a significant correlation with BMI (r = 0.57), fat mass (kg) (r = 0.44), LDL (r = 0.40), the syntax score (r = 0.74), and the Grace score (r = 0.68), (p < 0.001 for all). Our ROC-derived cutoff value of EFT ≥ 5.45 mm significantly discriminated STEMI patients with moderate/high-SS, high coronary thrombus burden, 6-months high mortality risk, and 6-months MACE with reasonable respective sensitivity and specificity. Increased EFT independently predicted moderate/high-SS and high mortality risk on multivariable regression analysis.

Conclusion: Echo-measured EFT ≥ 5.45 mm might be a reliable non-invasive marker for predicting CAD severity, high coronary thrombus burden, 6-months high mortality risk, and 6-months MACE among STEMI patients.

求助全文
通过发布文献求助,成功后即可免费获取论文全文。 去求助
来源期刊
Echo Research and Practice
Echo Research and Practice CARDIAC & CARDIOVASCULAR SYSTEMS-
CiteScore
6.70
自引率
12.70%
发文量
11
审稿时长
8 weeks
期刊介绍: Echo Research and Practice aims to be the premier international journal for physicians, sonographers, nurses and other allied health professionals practising echocardiography and other cardiac imaging modalities. This open-access journal publishes quality clinical and basic research, reviews, videos, education materials and selected high-interest case reports and videos across all echocardiography modalities and disciplines, including paediatrics, anaesthetics, general practice, acute medicine and intensive care. Multi-modality studies primarily featuring the use of cardiac ultrasound in clinical practice, in association with Cardiac Computed Tomography, Cardiovascular Magnetic Resonance or Nuclear Cardiology are of interest. Topics include, but are not limited to: 2D echocardiography 3D echocardiography Comparative imaging techniques – CCT, CMR and Nuclear Cardiology Congenital heart disease, including foetal echocardiography Contrast echocardiography Critical care echocardiography Deformation imaging Doppler echocardiography Interventional echocardiography Intracardiac echocardiography Intraoperative echocardiography Prosthetic valves Stress echocardiography Technical innovations Transoesophageal echocardiography Valve disease.
×
引用
GB/T 7714-2015
复制
MLA
复制
APA
复制
导出至
BibTeX EndNote RefMan NoteFirst NoteExpress
×
提示
您的信息不完整,为了账户安全,请先补充。
现在去补充
×
提示
您因"违规操作"
具体请查看互助需知
我知道了
×
提示
确定
请完成安全验证×
copy
已复制链接
快去分享给好友吧!
我知道了
右上角分享
点击右上角分享
0
联系我们:info@booksci.cn Book学术提供免费学术资源搜索服务,方便国内外学者检索中英文文献。致力于提供最便捷和优质的服务体验。 Copyright © 2023 布克学术 All rights reserved.
京ICP备2023020795号-1
ghs 京公网安备 11010802042870号
Book学术文献互助
Book学术文献互助群
群 号:604180095
Book学术官方微信