经皮卵圆孔未闭封闭术治疗小儿卵圆孔未闭合并重度偏头痛的初步研究。

IF 1.7 4区 医学 Q2 PEDIATRICS
Translational pediatrics Pub Date : 2025-06-27 Epub Date: 2025-06-25 DOI:10.21037/tp-2025-95
Lianfu Ji, Yuqi Wang, Ye Chen, Jie Yin, Jinlong Chen, Fan Yang, Shiwei Yang
{"title":"经皮卵圆孔未闭封闭术治疗小儿卵圆孔未闭合并重度偏头痛的初步研究。","authors":"Lianfu Ji, Yuqi Wang, Ye Chen, Jie Yin, Jinlong Chen, Fan Yang, Shiwei Yang","doi":"10.21037/tp-2025-95","DOIUrl":null,"url":null,"abstract":"<p><strong>Background: </strong>Numerous studies have shown that patent foramen ovale (PFO) is closely associated with migraine and PFO closure can significantly relieve migraine in adults. However, there are limited data on children. Therefore, this study aims to investigate the role of percutaneous PFO closure in children with PFO and severe migraine, thereby providing theoretical evidence for performing this procedure in the pediatric population.</p><p><strong>Methods: </strong>In this study, we conducted a retrospective analysis of the clinical data from 46 children with PFO and severe migraine admitted to our hospital between September 2021 and October 2023 and assessed the relief of migraine after percutaneous PFO closure.</p><p><strong>Results: </strong>All 46 children with PFO had severe migraine preoperatively. The PFO was determined by transthoracic echocardiography (TTE) and right heart contrast echocardiography suggested the presence of a significant right-to-left shunt (RLS). No residual shunt and complications were observed in all the children after intervention. Before PFO closure, every child experienced repeated migraines. Follow-up data for all patients were obtained by telephone, WeChat, or outpatient visits at 1, 6, 12, and 24 months after PFO closure. The migraine was significantly alleviated in 43 children, while three others experienced no change. There was a significant reduction in the frequency, duration, Visual Analogue Scale (VAS) score and Headache Impact Test-6 (HIT-6) score after PFO closure.</p><p><strong>Conclusions: </strong>Percutaneous PFO closure may be considered for children with PFO and severe migraine who have not responded to other treatments, after excluding other headache causes. In some children, this procedure may significantly improve headache symptoms.</p>","PeriodicalId":23294,"journal":{"name":"Translational pediatrics","volume":"14 6","pages":"1181-1187"},"PeriodicalIF":1.7000,"publicationDate":"2025-06-27","publicationTypes":"Journal Article","fieldsOfStudy":null,"isOpenAccess":false,"openAccessPdf":"https://www.ncbi.nlm.nih.gov/pmc/articles/PMC12268698/pdf/","citationCount":"0","resultStr":"{\"title\":\"Preliminary study on the application of percutaneous patent foramen ovale (PFO) closure in the treatment of children with PFO and severe migraine.\",\"authors\":\"Lianfu Ji, Yuqi Wang, Ye Chen, Jie Yin, Jinlong Chen, Fan Yang, Shiwei Yang\",\"doi\":\"10.21037/tp-2025-95\",\"DOIUrl\":null,\"url\":null,\"abstract\":\"<p><strong>Background: </strong>Numerous studies have shown that patent foramen ovale (PFO) is closely associated with migraine and PFO closure can significantly relieve migraine in adults. However, there are limited data on children. Therefore, this study aims to investigate the role of percutaneous PFO closure in children with PFO and severe migraine, thereby providing theoretical evidence for performing this procedure in the pediatric population.</p><p><strong>Methods: </strong>In this study, we conducted a retrospective analysis of the clinical data from 46 children with PFO and severe migraine admitted to our hospital between September 2021 and October 2023 and assessed the relief of migraine after percutaneous PFO closure.</p><p><strong>Results: </strong>All 46 children with PFO had severe migraine preoperatively. The PFO was determined by transthoracic echocardiography (TTE) and right heart contrast echocardiography suggested the presence of a significant right-to-left shunt (RLS). No residual shunt and complications were observed in all the children after intervention. Before PFO closure, every child experienced repeated migraines. Follow-up data for all patients were obtained by telephone, WeChat, or outpatient visits at 1, 6, 12, and 24 months after PFO closure. The migraine was significantly alleviated in 43 children, while three others experienced no change. There was a significant reduction in the frequency, duration, Visual Analogue Scale (VAS) score and Headache Impact Test-6 (HIT-6) score after PFO closure.</p><p><strong>Conclusions: </strong>Percutaneous PFO closure may be considered for children with PFO and severe migraine who have not responded to other treatments, after excluding other headache causes. In some children, this procedure may significantly improve headache symptoms.</p>\",\"PeriodicalId\":23294,\"journal\":{\"name\":\"Translational pediatrics\",\"volume\":\"14 6\",\"pages\":\"1181-1187\"},\"PeriodicalIF\":1.7000,\"publicationDate\":\"2025-06-27\",\"publicationTypes\":\"Journal Article\",\"fieldsOfStudy\":null,\"isOpenAccess\":false,\"openAccessPdf\":\"https://www.ncbi.nlm.nih.gov/pmc/articles/PMC12268698/pdf/\",\"citationCount\":\"0\",\"resultStr\":null,\"platform\":\"Semanticscholar\",\"paperid\":null,\"PeriodicalName\":\"Translational pediatrics\",\"FirstCategoryId\":\"3\",\"ListUrlMain\":\"https://doi.org/10.21037/tp-2025-95\",\"RegionNum\":4,\"RegionCategory\":\"医学\",\"ArticlePicture\":[],\"TitleCN\":null,\"AbstractTextCN\":null,\"PMCID\":null,\"EPubDate\":\"2025/6/25 0:00:00\",\"PubModel\":\"Epub\",\"JCR\":\"Q2\",\"JCRName\":\"PEDIATRICS\",\"Score\":null,\"Total\":0}","platform":"Semanticscholar","paperid":null,"PeriodicalName":"Translational pediatrics","FirstCategoryId":"3","ListUrlMain":"https://doi.org/10.21037/tp-2025-95","RegionNum":4,"RegionCategory":"医学","ArticlePicture":[],"TitleCN":null,"AbstractTextCN":null,"PMCID":null,"EPubDate":"2025/6/25 0:00:00","PubModel":"Epub","JCR":"Q2","JCRName":"PEDIATRICS","Score":null,"Total":0}
引用次数: 0

摘要

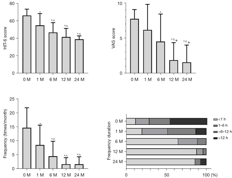
背景:大量研究表明,卵圆孔未闭(PFO)与偏头痛密切相关,关闭PFO可以显著缓解成人偏头痛。然而,关于儿童的数据有限。因此,本研究旨在探讨经皮PFO闭合术在PFO合并重度偏头痛患儿中的作用,从而为在儿科人群中实施该手术提供理论依据。方法:本研究回顾性分析我院2021年9月至2023年10月收治的46例PFO合并重度偏头痛患儿的临床资料,评估经皮PFO缝合术后偏头痛的缓解情况。结果:46例PFO患儿术前均有严重偏头痛。经胸超声心动图(TTE)确定PFO,右心造影超声心动图提示存在明显的右至左分流(RLS)。干预后所有患儿均未见分流残留及并发症。在PFO关闭之前,每个孩子都经历了反复的偏头痛。所有患者的随访数据均在PFO关闭后1、6、12和24个月通过电话、微信或门诊就诊获得。43名儿童的偏头痛明显减轻,而另外3名没有变化。PFO关闭后,频率、持续时间、视觉模拟量表(VAS)评分和头痛影响测试-6 (HIT-6)评分均显著降低。结论:在排除其他头痛原因后,经皮PFO闭合术可用于对其他治疗无反应的PFO和严重偏头痛患儿。在一些儿童中,这种手术可以显著改善头痛症状。
本文章由计算机程序翻译,如有差异,请以英文原文为准。

Preliminary study on the application of percutaneous patent foramen ovale (PFO) closure in the treatment of children with PFO and severe migraine.

Preliminary study on the application of percutaneous patent foramen ovale (PFO) closure in the treatment of children with PFO and severe migraine.

Preliminary study on the application of percutaneous patent foramen ovale (PFO) closure in the treatment of children with PFO and severe migraine.

Preliminary study on the application of percutaneous patent foramen ovale (PFO) closure in the treatment of children with PFO and severe migraine.

Background: Numerous studies have shown that patent foramen ovale (PFO) is closely associated with migraine and PFO closure can significantly relieve migraine in adults. However, there are limited data on children. Therefore, this study aims to investigate the role of percutaneous PFO closure in children with PFO and severe migraine, thereby providing theoretical evidence for performing this procedure in the pediatric population.

Methods: In this study, we conducted a retrospective analysis of the clinical data from 46 children with PFO and severe migraine admitted to our hospital between September 2021 and October 2023 and assessed the relief of migraine after percutaneous PFO closure.

Results: All 46 children with PFO had severe migraine preoperatively. The PFO was determined by transthoracic echocardiography (TTE) and right heart contrast echocardiography suggested the presence of a significant right-to-left shunt (RLS). No residual shunt and complications were observed in all the children after intervention. Before PFO closure, every child experienced repeated migraines. Follow-up data for all patients were obtained by telephone, WeChat, or outpatient visits at 1, 6, 12, and 24 months after PFO closure. The migraine was significantly alleviated in 43 children, while three others experienced no change. There was a significant reduction in the frequency, duration, Visual Analogue Scale (VAS) score and Headache Impact Test-6 (HIT-6) score after PFO closure.

Conclusions: Percutaneous PFO closure may be considered for children with PFO and severe migraine who have not responded to other treatments, after excluding other headache causes. In some children, this procedure may significantly improve headache symptoms.

求助全文
通过发布文献求助,成功后即可免费获取论文全文。 去求助
来源期刊
Translational pediatrics
Translational pediatrics Medicine-Pediatrics, Perinatology and Child Health
CiteScore
4.50
自引率
5.00%
发文量
108
期刊介绍: Information not localized
×
引用
GB/T 7714-2015
复制
MLA
复制
APA
复制
导出至
BibTeX EndNote RefMan NoteFirst NoteExpress
×
提示
您的信息不完整,为了账户安全,请先补充。
现在去补充
×
提示
您因"违规操作"
具体请查看互助需知
我知道了
×
提示
确定
请完成安全验证×
copy
已复制链接
快去分享给好友吧!
我知道了
右上角分享
点击右上角分享
0
联系我们:info@booksci.cn Book学术提供免费学术资源搜索服务,方便国内外学者检索中英文文献。致力于提供最便捷和优质的服务体验。 Copyright © 2023 布克学术 All rights reserved.
京ICP备2023020795号-1
ghs 京公网安备 11010802042870号
Book学术文献互助
Book学术文献互助群
群 号:604180095
Book学术官方微信