基于常规血清标志物的nomogram模型预测Kasai手术后胆道闭锁发生原发性胆管炎。

IF 1.7 4区 医学 Q2 PEDIATRICS
Translational pediatrics Pub Date : 2025-06-27 Epub Date: 2025-06-25 DOI:10.21037/tp-2025-170
Chunxiao Yang, Tengfei Li, Pu Yu, Jianghua Zhan
{"title":"基于常规血清标志物的nomogram模型预测Kasai手术后胆道闭锁发生原发性胆管炎。","authors":"Chunxiao Yang, Tengfei Li, Pu Yu, Jianghua Zhan","doi":"10.21037/tp-2025-170","DOIUrl":null,"url":null,"abstract":"<p><strong>Background: </strong>The Kasai procedure is still considered the optimal therapeutic approach for biliary atresia (BA). Nevertheless, the onset of postoperative cholangitis can impede the resolution of jaundice and significantly affect the overall prognosis of the disease. This study aims to develop a nomogram model that precisely forecasted the incidence of cholangitis after the Kasai procedure.</p><p><strong>Methods: </strong>This study retrospectively collected clinical, preoperative, and postoperative serological data from patients with BA who underwent the Kasai procedure at Tianjin Children's Hospital between January 2017 and November 2023. Utilizing multivariable analysis and logistic regression, a clinical nomogram model was developed to predict the occurrence of primary cholangitis postoperatively. To validate the model's accuracy, data from patients with BA at Xi'an Children's Hospital from January 2018 to November 2019 were employed.</p><p><strong>Results: </strong>We identified two independent predictors, neutrophil ratio post-operative to pre-operative ratio (NEU% PPR) and alkaline phosphatase post-operative to pre-operative ratio (ALP PPR), that were significantly associated with the occurrence of primary cholangitis following the Kasai procedure. These predictors were subsequently utilized to construct a nomogram model. The model exhibited an area under the curve (AUC) value of 0.829, surpassing the predictive capabilities of individual predictors. Additionally, through Kaplan-Meier (KM) analysis, we observed a significant correlation between ALP PPR and the occurrence of postoperative primary cholangitis, further supporting the reliability of our nomogram model.</p><p><strong>Conclusions: </strong>This study has successfully established a clinical prediction model that can effectively predict the occurrence of primary cholangitis following the Kasai procedure for BA.</p>","PeriodicalId":23294,"journal":{"name":"Translational pediatrics","volume":"14 6","pages":"1103-1116"},"PeriodicalIF":1.7000,"publicationDate":"2025-06-27","publicationTypes":"Journal Article","fieldsOfStudy":null,"isOpenAccess":false,"openAccessPdf":"https://www.ncbi.nlm.nih.gov/pmc/articles/PMC12268703/pdf/","citationCount":"0","resultStr":"{\"title\":\"A nomogram model based on routine serum markers for predicting the occurrence of primary cholangitis after Kasai operation for biliary atresia.\",\"authors\":\"Chunxiao Yang, Tengfei Li, Pu Yu, Jianghua Zhan\",\"doi\":\"10.21037/tp-2025-170\",\"DOIUrl\":null,\"url\":null,\"abstract\":\"<p><strong>Background: </strong>The Kasai procedure is still considered the optimal therapeutic approach for biliary atresia (BA). Nevertheless, the onset of postoperative cholangitis can impede the resolution of jaundice and significantly affect the overall prognosis of the disease. This study aims to develop a nomogram model that precisely forecasted the incidence of cholangitis after the Kasai procedure.</p><p><strong>Methods: </strong>This study retrospectively collected clinical, preoperative, and postoperative serological data from patients with BA who underwent the Kasai procedure at Tianjin Children's Hospital between January 2017 and November 2023. Utilizing multivariable analysis and logistic regression, a clinical nomogram model was developed to predict the occurrence of primary cholangitis postoperatively. To validate the model's accuracy, data from patients with BA at Xi'an Children's Hospital from January 2018 to November 2019 were employed.</p><p><strong>Results: </strong>We identified two independent predictors, neutrophil ratio post-operative to pre-operative ratio (NEU% PPR) and alkaline phosphatase post-operative to pre-operative ratio (ALP PPR), that were significantly associated with the occurrence of primary cholangitis following the Kasai procedure. These predictors were subsequently utilized to construct a nomogram model. The model exhibited an area under the curve (AUC) value of 0.829, surpassing the predictive capabilities of individual predictors. Additionally, through Kaplan-Meier (KM) analysis, we observed a significant correlation between ALP PPR and the occurrence of postoperative primary cholangitis, further supporting the reliability of our nomogram model.</p><p><strong>Conclusions: </strong>This study has successfully established a clinical prediction model that can effectively predict the occurrence of primary cholangitis following the Kasai procedure for BA.</p>\",\"PeriodicalId\":23294,\"journal\":{\"name\":\"Translational pediatrics\",\"volume\":\"14 6\",\"pages\":\"1103-1116\"},\"PeriodicalIF\":1.7000,\"publicationDate\":\"2025-06-27\",\"publicationTypes\":\"Journal Article\",\"fieldsOfStudy\":null,\"isOpenAccess\":false,\"openAccessPdf\":\"https://www.ncbi.nlm.nih.gov/pmc/articles/PMC12268703/pdf/\",\"citationCount\":\"0\",\"resultStr\":null,\"platform\":\"Semanticscholar\",\"paperid\":null,\"PeriodicalName\":\"Translational pediatrics\",\"FirstCategoryId\":\"3\",\"ListUrlMain\":\"https://doi.org/10.21037/tp-2025-170\",\"RegionNum\":4,\"RegionCategory\":\"医学\",\"ArticlePicture\":[],\"TitleCN\":null,\"AbstractTextCN\":null,\"PMCID\":null,\"EPubDate\":\"2025/6/25 0:00:00\",\"PubModel\":\"Epub\",\"JCR\":\"Q2\",\"JCRName\":\"PEDIATRICS\",\"Score\":null,\"Total\":0}","platform":"Semanticscholar","paperid":null,"PeriodicalName":"Translational pediatrics","FirstCategoryId":"3","ListUrlMain":"https://doi.org/10.21037/tp-2025-170","RegionNum":4,"RegionCategory":"医学","ArticlePicture":[],"TitleCN":null,"AbstractTextCN":null,"PMCID":null,"EPubDate":"2025/6/25 0:00:00","PubModel":"Epub","JCR":"Q2","JCRName":"PEDIATRICS","Score":null,"Total":0}
引用次数: 0

摘要

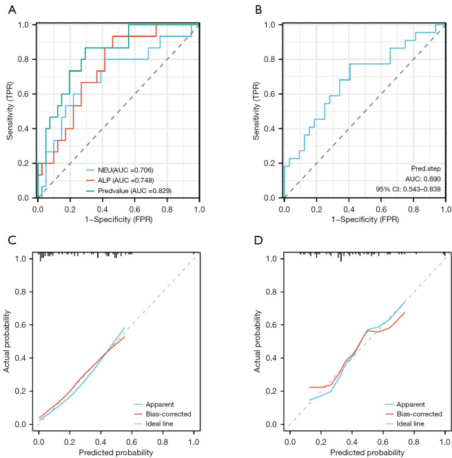
背景:Kasai手术仍然被认为是治疗胆道闭锁(BA)的最佳方法。然而,术后胆管炎的发生会阻碍黄疸的消退,并显著影响疾病的整体预后。本研究旨在建立一种精确预测Kasai手术后胆管炎发生率的nomogram模型。方法:本研究回顾性收集2017年1月至2023年11月在天津儿童医院行Kasai手术的BA患者的临床、术前和术后血清学资料。利用多变量分析和logistic回归,建立了预测术后原发性胆管炎发生的临床nomogram模型。为了验证模型的准确性,使用了2018年1月至2019年11月西安儿童医院BA患者的数据。结果:我们确定了两个独立的预测因子,中性粒细胞术后与术前比值(NEU% PPR)和碱性磷酸酶术后与术前比值(ALP PPR),它们与Kasai手术后原发性胆管炎的发生有显著相关性。这些预测因子随后被用来构建一个nomogram模型。模型的曲线下面积(AUC)值为0.829,超过了单个预测者的预测能力。此外,通过Kaplan-Meier (KM)分析,我们发现ALP - PPR与术后原发性胆管炎的发生有显著相关性,进一步支持了我们的nomogram模型的可靠性。结论:本研究成功建立了一种临床预测模型,可有效预测BA开赛手术后原发性胆管炎的发生。
本文章由计算机程序翻译,如有差异,请以英文原文为准。

A nomogram model based on routine serum markers for predicting the occurrence of primary cholangitis after Kasai operation for biliary atresia.

A nomogram model based on routine serum markers for predicting the occurrence of primary cholangitis after Kasai operation for biliary atresia.

A nomogram model based on routine serum markers for predicting the occurrence of primary cholangitis after Kasai operation for biliary atresia.

A nomogram model based on routine serum markers for predicting the occurrence of primary cholangitis after Kasai operation for biliary atresia.

Background: The Kasai procedure is still considered the optimal therapeutic approach for biliary atresia (BA). Nevertheless, the onset of postoperative cholangitis can impede the resolution of jaundice and significantly affect the overall prognosis of the disease. This study aims to develop a nomogram model that precisely forecasted the incidence of cholangitis after the Kasai procedure.

Methods: This study retrospectively collected clinical, preoperative, and postoperative serological data from patients with BA who underwent the Kasai procedure at Tianjin Children's Hospital between January 2017 and November 2023. Utilizing multivariable analysis and logistic regression, a clinical nomogram model was developed to predict the occurrence of primary cholangitis postoperatively. To validate the model's accuracy, data from patients with BA at Xi'an Children's Hospital from January 2018 to November 2019 were employed.

Results: We identified two independent predictors, neutrophil ratio post-operative to pre-operative ratio (NEU% PPR) and alkaline phosphatase post-operative to pre-operative ratio (ALP PPR), that were significantly associated with the occurrence of primary cholangitis following the Kasai procedure. These predictors were subsequently utilized to construct a nomogram model. The model exhibited an area under the curve (AUC) value of 0.829, surpassing the predictive capabilities of individual predictors. Additionally, through Kaplan-Meier (KM) analysis, we observed a significant correlation between ALP PPR and the occurrence of postoperative primary cholangitis, further supporting the reliability of our nomogram model.

Conclusions: This study has successfully established a clinical prediction model that can effectively predict the occurrence of primary cholangitis following the Kasai procedure for BA.

求助全文
通过发布文献求助,成功后即可免费获取论文全文。 去求助
来源期刊
Translational pediatrics
Translational pediatrics Medicine-Pediatrics, Perinatology and Child Health
CiteScore
4.50
自引率
5.00%
发文量
108
期刊介绍: Information not localized
×
引用
GB/T 7714-2015
复制
MLA
复制
APA
复制
导出至
BibTeX EndNote RefMan NoteFirst NoteExpress
×
提示
您的信息不完整,为了账户安全,请先补充。
现在去补充
×
提示
您因"违规操作"
具体请查看互助需知
我知道了
×
提示
确定
请完成安全验证×
copy
已复制链接
快去分享给好友吧!
我知道了
右上角分享
点击右上角分享
0
联系我们:info@booksci.cn Book学术提供免费学术资源搜索服务,方便国内外学者检索中英文文献。致力于提供最便捷和优质的服务体验。 Copyright © 2023 布克学术 All rights reserved.
京ICP备2023020795号-1
ghs 京公网安备 11010802042870号
Book学术文献互助
Book学术文献互助群
群 号:604180095
Book学术官方微信