需要院外心肺复苏的st段抬高型心肌梗死患者的院前生存率——一项全国性的、真实世界的观察性研究

IF 2.3 3区 医学 Q1 EMERGENCY MEDICINE
Dominika Szabó, András Szabó, Andrea Székely
{"title":"需要院外心肺复苏的st段抬高型心肌梗死患者的院前生存率——一项全国性的、真实世界的观察性研究","authors":"Dominika Szabó, András Szabó, Andrea Székely","doi":"10.1186/s12873-025-01292-y","DOIUrl":null,"url":null,"abstract":"<p><strong>Background: </strong>The mortality risk of patients presenting with ST-elevation myocardial infarction (STEMI) has been extensively researched. Even though STEMI can be diagnosed before hospital admission, prehospital mortality has been less frequently studied. We aimed to analyze the outcomes of patients with STEMI requiring out-of-hospital cardiopulmonary resuscitation (CPR).</p><p><strong>Methods: </strong>From a large, nationwide prehospital case report database, we collected data from 668 patients requiring CPR because of ambulance-witnessed OHCA (out-of-hospital cardiac arrest) who were diagnosed with STEMI by ECG before cardiac arrest. Utstein-style consensus reporting guidelines were followed. The endpoint was hospital admission with spontaneous circulation. In addition to descriptive statistics, we also aimed to identify predictors of the outcome using multivariable logistic regression. Model performance was characterized by c-statistics and multiple fitting methods. Internal validation was performed using calibration intercept and slope.</p><p><strong>Results: </strong>Using CPR initial rhythm, age, initial heart rate, initial systolic blood pressure, and ECG localization of STEMI as predictors, we found that the constructed logistic regression model showed good discriminative ability, with a c-statistic of 0.844 (95% CI = 0.8105-0.8787). The overall model fit was good, with Hosmer & Lemeshow p = 0.979. The value of Nagelkerke R<sup>2</sup> test of 0.445 indicated a strong relationship between predictors and outcome. The Z-value of calibration slope was relative to slope = 1 (95% CI = 0.85-1.16).</p><p><strong>Conclusions: </strong>This model can be used to estimate the probability of hospital admission following resuscitation due to ambulance-witnessed OHCA in patients with STEMI. Further studies are needed to improve the possibility of definitive in-hospital treatment for a better survival rate.</p><p><strong>Clinical trial number: </strong>Not applicable.</p>","PeriodicalId":9002,"journal":{"name":"BMC Emergency Medicine","volume":"25 1","pages":"130"},"PeriodicalIF":2.3000,"publicationDate":"2025-07-18","publicationTypes":"Journal Article","fieldsOfStudy":null,"isOpenAccess":false,"openAccessPdf":"https://www.ncbi.nlm.nih.gov/pmc/articles/PMC12275280/pdf/","citationCount":"0","resultStr":"{\"title\":\"Prehospital survival of patients with ST-elevation myocardial infarction requiring out-of-hospital cardiopulmonary resuscitation - a nationwide, real-world observational study.\",\"authors\":\"Dominika Szabó, András Szabó, Andrea Székely\",\"doi\":\"10.1186/s12873-025-01292-y\",\"DOIUrl\":null,\"url\":null,\"abstract\":\"<p><strong>Background: </strong>The mortality risk of patients presenting with ST-elevation myocardial infarction (STEMI) has been extensively researched. Even though STEMI can be diagnosed before hospital admission, prehospital mortality has been less frequently studied. We aimed to analyze the outcomes of patients with STEMI requiring out-of-hospital cardiopulmonary resuscitation (CPR).</p><p><strong>Methods: </strong>From a large, nationwide prehospital case report database, we collected data from 668 patients requiring CPR because of ambulance-witnessed OHCA (out-of-hospital cardiac arrest) who were diagnosed with STEMI by ECG before cardiac arrest. Utstein-style consensus reporting guidelines were followed. The endpoint was hospital admission with spontaneous circulation. In addition to descriptive statistics, we also aimed to identify predictors of the outcome using multivariable logistic regression. Model performance was characterized by c-statistics and multiple fitting methods. Internal validation was performed using calibration intercept and slope.</p><p><strong>Results: </strong>Using CPR initial rhythm, age, initial heart rate, initial systolic blood pressure, and ECG localization of STEMI as predictors, we found that the constructed logistic regression model showed good discriminative ability, with a c-statistic of 0.844 (95% CI = 0.8105-0.8787). The overall model fit was good, with Hosmer & Lemeshow p = 0.979. The value of Nagelkerke R<sup>2</sup> test of 0.445 indicated a strong relationship between predictors and outcome. The Z-value of calibration slope was relative to slope = 1 (95% CI = 0.85-1.16).</p><p><strong>Conclusions: </strong>This model can be used to estimate the probability of hospital admission following resuscitation due to ambulance-witnessed OHCA in patients with STEMI. Further studies are needed to improve the possibility of definitive in-hospital treatment for a better survival rate.</p><p><strong>Clinical trial number: </strong>Not applicable.</p>\",\"PeriodicalId\":9002,\"journal\":{\"name\":\"BMC Emergency Medicine\",\"volume\":\"25 1\",\"pages\":\"130\"},\"PeriodicalIF\":2.3000,\"publicationDate\":\"2025-07-18\",\"publicationTypes\":\"Journal Article\",\"fieldsOfStudy\":null,\"isOpenAccess\":false,\"openAccessPdf\":\"https://www.ncbi.nlm.nih.gov/pmc/articles/PMC12275280/pdf/\",\"citationCount\":\"0\",\"resultStr\":null,\"platform\":\"Semanticscholar\",\"paperid\":null,\"PeriodicalName\":\"BMC Emergency Medicine\",\"FirstCategoryId\":\"3\",\"ListUrlMain\":\"https://doi.org/10.1186/s12873-025-01292-y\",\"RegionNum\":3,\"RegionCategory\":\"医学\",\"ArticlePicture\":[],\"TitleCN\":null,\"AbstractTextCN\":null,\"PMCID\":null,\"EPubDate\":\"\",\"PubModel\":\"\",\"JCR\":\"Q1\",\"JCRName\":\"EMERGENCY MEDICINE\",\"Score\":null,\"Total\":0}","platform":"Semanticscholar","paperid":null,"PeriodicalName":"BMC Emergency Medicine","FirstCategoryId":"3","ListUrlMain":"https://doi.org/10.1186/s12873-025-01292-y","RegionNum":3,"RegionCategory":"医学","ArticlePicture":[],"TitleCN":null,"AbstractTextCN":null,"PMCID":null,"EPubDate":"","PubModel":"","JCR":"Q1","JCRName":"EMERGENCY MEDICINE","Score":null,"Total":0}
引用次数: 0

摘要

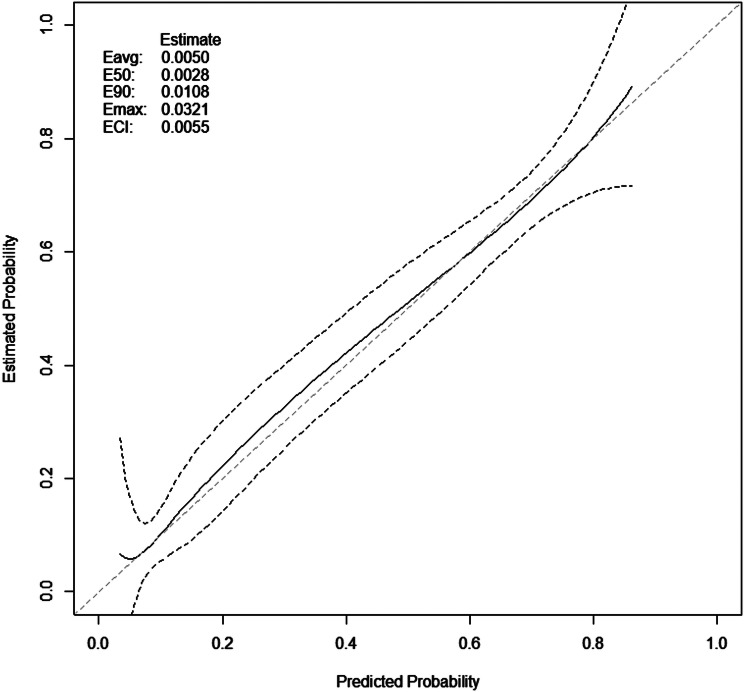
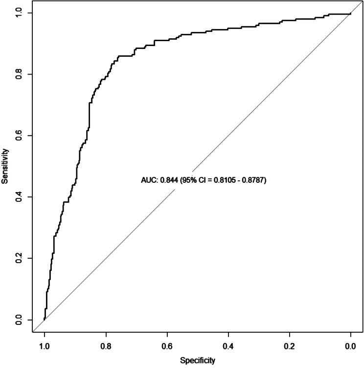
背景:st段抬高型心肌梗死(STEMI)患者的死亡风险已被广泛研究。尽管STEMI可以在入院前诊断,但对院前死亡率的研究较少。我们旨在分析STEMI患者需要院外心肺复苏(CPR)的结局。方法:从一个大型的全国性院前病例报告数据库中,我们收集了668例因医院外心脏骤停(OHCA)而需要心肺复苏术的患者的数据,这些患者在心脏骤停前通过ECG诊断为STEMI。遵循乌斯坦式的共识报告准则。终点是有自发循环的住院。除了描述性统计外,我们还旨在使用多变量逻辑回归确定结果的预测因子。采用c统计量和多元拟合方法对模型性能进行表征。使用校准截距和斜率进行内部验证。结果:采用CPR初始节律、年龄、初始心率、初始收缩压、STEMI心电图定位作为预测因子,我们发现所构建的logistic回归模型具有较好的判别能力,c统计量为0.844 (95% CI = 0.8105 ~ 0.8787)。整体模型拟合良好,Hosmer & Lemeshow p = 0.979。Nagelkerke R2检验值为0.445,表明预测因子与预后有较强的相关性。校正斜率的z值相对于斜率= 1 (95% CI = 0.85 ~ 1.16)。结论:该模型可用于估计STEMI患者因救护车见证的OHCA而复苏后住院的概率。需要进一步的研究来提高最终住院治疗的可能性,以提高生存率。临床试验号:不适用。
本文章由计算机程序翻译,如有差异,请以英文原文为准。

Prehospital survival of patients with ST-elevation myocardial infarction requiring out-of-hospital cardiopulmonary resuscitation - a nationwide, real-world observational study.

Prehospital survival of patients with ST-elevation myocardial infarction requiring out-of-hospital cardiopulmonary resuscitation - a nationwide, real-world observational study.

Prehospital survival of patients with ST-elevation myocardial infarction requiring out-of-hospital cardiopulmonary resuscitation - a nationwide, real-world observational study.

Background: The mortality risk of patients presenting with ST-elevation myocardial infarction (STEMI) has been extensively researched. Even though STEMI can be diagnosed before hospital admission, prehospital mortality has been less frequently studied. We aimed to analyze the outcomes of patients with STEMI requiring out-of-hospital cardiopulmonary resuscitation (CPR).

Methods: From a large, nationwide prehospital case report database, we collected data from 668 patients requiring CPR because of ambulance-witnessed OHCA (out-of-hospital cardiac arrest) who were diagnosed with STEMI by ECG before cardiac arrest. Utstein-style consensus reporting guidelines were followed. The endpoint was hospital admission with spontaneous circulation. In addition to descriptive statistics, we also aimed to identify predictors of the outcome using multivariable logistic regression. Model performance was characterized by c-statistics and multiple fitting methods. Internal validation was performed using calibration intercept and slope.

Results: Using CPR initial rhythm, age, initial heart rate, initial systolic blood pressure, and ECG localization of STEMI as predictors, we found that the constructed logistic regression model showed good discriminative ability, with a c-statistic of 0.844 (95% CI = 0.8105-0.8787). The overall model fit was good, with Hosmer & Lemeshow p = 0.979. The value of Nagelkerke R2 test of 0.445 indicated a strong relationship between predictors and outcome. The Z-value of calibration slope was relative to slope = 1 (95% CI = 0.85-1.16).

Conclusions: This model can be used to estimate the probability of hospital admission following resuscitation due to ambulance-witnessed OHCA in patients with STEMI. Further studies are needed to improve the possibility of definitive in-hospital treatment for a better survival rate.

Clinical trial number: Not applicable.

求助全文
通过发布文献求助,成功后即可免费获取论文全文。 去求助
来源期刊
BMC Emergency Medicine
BMC Emergency Medicine Medicine-Emergency Medicine
CiteScore
3.50
自引率
8.00%
发文量
178
审稿时长
29 weeks
期刊介绍: BMC Emergency Medicine is an open access, peer-reviewed journal that considers articles on all urgent and emergency aspects of medicine, in both practice and basic research. In addition, the journal covers aspects of disaster medicine and medicine in special locations, such as conflict areas and military medicine, together with articles concerning healthcare services in the emergency departments.
×
引用
GB/T 7714-2015
复制
MLA
复制
APA
复制
导出至
BibTeX EndNote RefMan NoteFirst NoteExpress
×
提示
您的信息不完整,为了账户安全,请先补充。
现在去补充
×
提示
您因"违规操作"
具体请查看互助需知
我知道了
×
提示
确定
请完成安全验证×
copy
已复制链接
快去分享给好友吧!
我知道了
右上角分享
点击右上角分享
0
联系我们:info@booksci.cn Book学术提供免费学术资源搜索服务,方便国内外学者检索中英文文献。致力于提供最便捷和优质的服务体验。 Copyright © 2023 布克学术 All rights reserved.
京ICP备2023020795号-1
ghs 京公网安备 11010802042870号
Book学术文献互助
Book学术文献互助群
群 号:604180095
Book学术官方微信