提高慢性病儿童和青少年健康相关生活质量和身体活动的群体干预的可行性:一项研究方案

IF 1.6 Q3 MEDICINE, RESEARCH & EXPERIMENTAL
Lars Peder Vatshelle Bovim, Elisabeth Ørskov Rotevatn, Haakon Kristian Kvidaland, Bård Bogen, Thomas Halvorsen, Mette Engan
{"title":"提高慢性病儿童和青少年健康相关生活质量和身体活动的群体干预的可行性:一项研究方案","authors":"Lars Peder Vatshelle Bovim, Elisabeth Ørskov Rotevatn, Haakon Kristian Kvidaland, Bård Bogen, Thomas Halvorsen, Mette Engan","doi":"10.1186/s40814-025-01682-w","DOIUrl":null,"url":null,"abstract":"<p><strong>Background: </strong>Chronic or long-term illnesses in early years increase the risk of comorbidities such as mental disorders, social exclusion, and difficulties in forming relationships. In Bergen, Norway, the three-phased intervention Life Coping Program is established. This program is designed to support adolescents with chronic or long-term illnesses through tailored preparation, a hospital-based Life Coping Course, and structured follow-up aimed at empowering them to actively manage their health and adopt a more active lifestyle. This protocol paper describes a feasibility trial of the Life Coping Program, focused on improved health-related quality of life (HRQoL) and levels of physical activity.</p><p><strong>Methods/design: </strong>This study is based on the British Medical Research Council's (MRC) modified framework for developing and evaluating complex interventions. Feasibility and acceptability of the Life Coping Program will be evaluated in an uncontrolled open-label trial using quantitative measures. Sixty children and adolescents with chronic illness or severe medical conditions will be recruited along with one associated caregiver. Feasibility will be assessed by tracking attendance and participation in the different parts of the intervention. Acceptability of the intervention will be assessed by patient-reported questionnaires. HRQoL and levels of physical activity will be measured using the KidScreen-27 and Actigraph GT3X + monitor, respectively, at baseline and 1 and 6 months post-intervention.</p><p><strong>Discussion: </strong>The study will explore the feasibility of an innovative treatment strategy targeting children and adolescents at risk of poor health-related outcomes across multiple dimensions. The findings will inform the design of a future randomized controlled trial.</p><p><strong>Trial registration: </strong></p><p><strong>Clinicaltrials: </strong>gov, NCT06709248. Registered 15th of November 2024-retrospectively registered, https://clinicaltrials.gov/study/NCT06709248?term=NCT06709248&rank=1.</p>","PeriodicalId":20176,"journal":{"name":"Pilot and Feasibility Studies","volume":"11 1","pages":"101"},"PeriodicalIF":1.6000,"publicationDate":"2025-07-17","publicationTypes":"Journal Article","fieldsOfStudy":null,"isOpenAccess":false,"openAccessPdf":"https://www.ncbi.nlm.nih.gov/pmc/articles/PMC12273055/pdf/","citationCount":"0","resultStr":"{\"title\":\"Feasibility of a group-based intervention to enhance health-related quality of life and physical activity in children and adolescents with chronic illness: a study protocol.\",\"authors\":\"Lars Peder Vatshelle Bovim, Elisabeth Ørskov Rotevatn, Haakon Kristian Kvidaland, Bård Bogen, Thomas Halvorsen, Mette Engan\",\"doi\":\"10.1186/s40814-025-01682-w\",\"DOIUrl\":null,\"url\":null,\"abstract\":\"<p><strong>Background: </strong>Chronic or long-term illnesses in early years increase the risk of comorbidities such as mental disorders, social exclusion, and difficulties in forming relationships. In Bergen, Norway, the three-phased intervention Life Coping Program is established. This program is designed to support adolescents with chronic or long-term illnesses through tailored preparation, a hospital-based Life Coping Course, and structured follow-up aimed at empowering them to actively manage their health and adopt a more active lifestyle. This protocol paper describes a feasibility trial of the Life Coping Program, focused on improved health-related quality of life (HRQoL) and levels of physical activity.</p><p><strong>Methods/design: </strong>This study is based on the British Medical Research Council's (MRC) modified framework for developing and evaluating complex interventions. Feasibility and acceptability of the Life Coping Program will be evaluated in an uncontrolled open-label trial using quantitative measures. Sixty children and adolescents with chronic illness or severe medical conditions will be recruited along with one associated caregiver. Feasibility will be assessed by tracking attendance and participation in the different parts of the intervention. Acceptability of the intervention will be assessed by patient-reported questionnaires. HRQoL and levels of physical activity will be measured using the KidScreen-27 and Actigraph GT3X + monitor, respectively, at baseline and 1 and 6 months post-intervention.</p><p><strong>Discussion: </strong>The study will explore the feasibility of an innovative treatment strategy targeting children and adolescents at risk of poor health-related outcomes across multiple dimensions. The findings will inform the design of a future randomized controlled trial.</p><p><strong>Trial registration: </strong></p><p><strong>Clinicaltrials: </strong>gov, NCT06709248. Registered 15th of November 2024-retrospectively registered, https://clinicaltrials.gov/study/NCT06709248?term=NCT06709248&rank=1.</p>\",\"PeriodicalId\":20176,\"journal\":{\"name\":\"Pilot and Feasibility Studies\",\"volume\":\"11 1\",\"pages\":\"101\"},\"PeriodicalIF\":1.6000,\"publicationDate\":\"2025-07-17\",\"publicationTypes\":\"Journal Article\",\"fieldsOfStudy\":null,\"isOpenAccess\":false,\"openAccessPdf\":\"https://www.ncbi.nlm.nih.gov/pmc/articles/PMC12273055/pdf/\",\"citationCount\":\"0\",\"resultStr\":null,\"platform\":\"Semanticscholar\",\"paperid\":null,\"PeriodicalName\":\"Pilot and Feasibility Studies\",\"FirstCategoryId\":\"1085\",\"ListUrlMain\":\"https://doi.org/10.1186/s40814-025-01682-w\",\"RegionNum\":0,\"RegionCategory\":null,\"ArticlePicture\":[],\"TitleCN\":null,\"AbstractTextCN\":null,\"PMCID\":null,\"EPubDate\":\"\",\"PubModel\":\"\",\"JCR\":\"Q3\",\"JCRName\":\"MEDICINE, RESEARCH & EXPERIMENTAL\",\"Score\":null,\"Total\":0}","platform":"Semanticscholar","paperid":null,"PeriodicalName":"Pilot and Feasibility Studies","FirstCategoryId":"1085","ListUrlMain":"https://doi.org/10.1186/s40814-025-01682-w","RegionNum":0,"RegionCategory":null,"ArticlePicture":[],"TitleCN":null,"AbstractTextCN":null,"PMCID":null,"EPubDate":"","PubModel":"","JCR":"Q3","JCRName":"MEDICINE, RESEARCH & EXPERIMENTAL","Score":null,"Total":0}
引用次数: 0

摘要

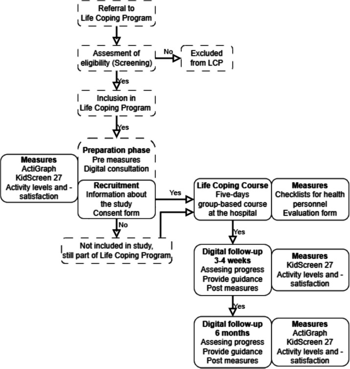
背景:早期的慢性或长期疾病增加了合并症的风险,如精神障碍、社会排斥和形成关系的困难。在挪威卑尔根,建立了三阶段干预生活应对计划。该方案旨在通过量身定制的准备、以医院为基础的生活应对课程和有组织的后续行动,为患有慢性或长期疾病的青少年提供支持,使他们能够积极管理自己的健康并采取更积极的生活方式。本方案文件描述了生活应对计划的可行性试验,重点是改善与健康相关的生活质量(HRQoL)和身体活动水平。方法/设计:本研究基于英国医学研究理事会(MRC)制定和评估复杂干预措施的修订框架。生活应对计划的可行性和可接受性将在一项使用定量测量的非受控开放标签试验中进行评估。将招募60名患有慢性疾病或严重疾病的儿童和青少年以及一名相关的护理人员。将通过跟踪干预不同部分的出勤和参与情况来评估可行性。干预的可接受性将通过患者报告的问卷进行评估。HRQoL和体力活动水平将分别在基线和干预后1个月和6个月使用KidScreen-27和Actigraph GT3X +监测仪进行测量。讨论:本研究将探索一种创新治疗策略的可行性,该策略针对在多个维度上有不良健康相关结果风险的儿童和青少年。这些发现将为未来随机对照试验的设计提供信息。试验注册:Clinicaltrials: gov, NCT06709248。注册于2024年11月15日-追溯注册,https://clinicaltrials.gov/study/NCT06709248?term=NCT06709248&rank=1。
本文章由计算机程序翻译,如有差异,请以英文原文为准。

Feasibility of a group-based intervention to enhance health-related quality of life and physical activity in children and adolescents with chronic illness: a study protocol.

Feasibility of a group-based intervention to enhance health-related quality of life and physical activity in children and adolescents with chronic illness: a study protocol.

Feasibility of a group-based intervention to enhance health-related quality of life and physical activity in children and adolescents with chronic illness: a study protocol.

Feasibility of a group-based intervention to enhance health-related quality of life and physical activity in children and adolescents with chronic illness: a study protocol.

Background: Chronic or long-term illnesses in early years increase the risk of comorbidities such as mental disorders, social exclusion, and difficulties in forming relationships. In Bergen, Norway, the three-phased intervention Life Coping Program is established. This program is designed to support adolescents with chronic or long-term illnesses through tailored preparation, a hospital-based Life Coping Course, and structured follow-up aimed at empowering them to actively manage their health and adopt a more active lifestyle. This protocol paper describes a feasibility trial of the Life Coping Program, focused on improved health-related quality of life (HRQoL) and levels of physical activity.

Methods/design: This study is based on the British Medical Research Council's (MRC) modified framework for developing and evaluating complex interventions. Feasibility and acceptability of the Life Coping Program will be evaluated in an uncontrolled open-label trial using quantitative measures. Sixty children and adolescents with chronic illness or severe medical conditions will be recruited along with one associated caregiver. Feasibility will be assessed by tracking attendance and participation in the different parts of the intervention. Acceptability of the intervention will be assessed by patient-reported questionnaires. HRQoL and levels of physical activity will be measured using the KidScreen-27 and Actigraph GT3X + monitor, respectively, at baseline and 1 and 6 months post-intervention.

Discussion: The study will explore the feasibility of an innovative treatment strategy targeting children and adolescents at risk of poor health-related outcomes across multiple dimensions. The findings will inform the design of a future randomized controlled trial.

Trial registration:

Clinicaltrials: gov, NCT06709248. Registered 15th of November 2024-retrospectively registered, https://clinicaltrials.gov/study/NCT06709248?term=NCT06709248&rank=1.

求助全文
通过发布文献求助,成功后即可免费获取论文全文。 去求助
来源期刊
Pilot and Feasibility Studies
Pilot and Feasibility Studies Medicine-Medicine (miscellaneous)
CiteScore
2.70
自引率
5.90%
发文量
241
审稿时长
9 weeks
期刊介绍: Pilot and Feasibility Studies encompasses all aspects of the design, conduct and reporting of pilot and feasibility studies in biomedicine. The journal publishes research articles that are intended to directly influence future clinical trials or large scale observational studies, as well as protocols, commentaries and methodology articles. The journal also ensures that the results of all well-conducted, peer-reviewed, pilot and feasibility studies are published, regardless of outcome or significance of findings. Pilot and feasibility studies are increasingly conducted prior to a full randomized controlled trial. However, these studies often lack clear objectives, many remain unpublished, and there is confusion over the meanings of the words “pilot” and “feasibility”. Pilot and Feasibility Studies provides a forum for discussion around this key aspect of the scientific process, and seeks to ensure that these studies are published, so as to complete the publication thread for clinical research.
×
引用
GB/T 7714-2015
复制
MLA
复制
APA
复制
导出至
BibTeX EndNote RefMan NoteFirst NoteExpress
×
提示
您的信息不完整,为了账户安全,请先补充。
现在去补充
×
提示
您因"违规操作"
具体请查看互助需知
我知道了
×
提示
确定
请完成安全验证×
copy
已复制链接
快去分享给好友吧!
我知道了
右上角分享
点击右上角分享
0
联系我们:info@booksci.cn Book学术提供免费学术资源搜索服务,方便国内外学者检索中英文文献。致力于提供最便捷和优质的服务体验。 Copyright © 2023 布克学术 All rights reserved.
京ICP备2023020795号-1
ghs 京公网安备 11010802042870号
Book学术文献互助
Book学术文献互助群
群 号:604180095
Book学术官方微信