视谱神经脊髓炎患者严重感染的发生率和危险因素:日本索赔数据库研究

IF 4.8 3区 医学 Q1 CLINICAL NEUROLOGY
Neurology and Therapy Pub Date : 2025-10-01 Epub Date: 2025-07-17 DOI:10.1007/s40120-025-00794-y
Noriko Isobe, Tetsuro Oda, Tomohiro Yamaguchi, Yuta Kamei, Takahiko Tsumuraya, Akinori Yuri, Ayako Nakasone, Keiko Asao, Shinichi Matsuda
{"title":"视谱神经脊髓炎患者严重感染的发生率和危险因素:日本索赔数据库研究","authors":"Noriko Isobe, Tetsuro Oda, Tomohiro Yamaguchi, Yuta Kamei, Takahiko Tsumuraya, Akinori Yuri, Ayako Nakasone, Keiko Asao, Shinichi Matsuda","doi":"10.1007/s40120-025-00794-y","DOIUrl":null,"url":null,"abstract":"<p><strong>Introduction: </strong>Serious infection is a leading cause of mortality in patients with neuromyelitis optica spectrum disorder (NMOSD). We assessed the incidence of and risk factors for serious infections in patients with NMOSD.</p><p><strong>Methods: </strong>This observational, retrospective cohort study included patients with a first NMOSD diagnosis (index date) between January 2016 and August 2022 in Japan. Data were extracted between April 2008 and August 2022 from the Medical Data Vision database. A serious infection was defined as an infection diagnosed during hospitalization. We described the incidence rate, cumulative incidence, and estimated hazard ratios (HRs) of potential risk factors using a Cox proportional hazard model with time-fixed and time-varying covariates.</p><p><strong>Result: </strong>In this study (n = 4231), the incidence rate of serious infections was 5.77 [95% confidence interval (CI) 5.23-6.35] per 100 person-years, and the cumulative incidence ranged from 2.87% (95% CI 2.33-3.49%) at 6-month follow-up to 12.48% (95% CI 10.62-14.50%) at 5-year follow-up. Age [≥ 75 years (ref. 18-35 years); HR 2.48, 95% CI 1.36-4.53], cancer (HR 1.91, 95% CI 1.11-3.29), diabetes mellitus (HR 1.43, 95% CI 1.04-1.96), neurogenic bladder (HR 1.97, 95% CI 1.46-2.66), urolithiasis (HR 1.97, 95% CI 1.02-3.78), the number of NMOSD relapses (HR 1.27, 95% CI 1.03-1.56) and a low daily dose of oral glucocorticoid (> 0 mg and < 5 mg [ref. 0 mg]; HR 1.80, 95% CI 1.21-2.69) were associated with an increased risk of serious infections.</p><p><strong>Conclusion: </strong>The incidence of serious infections in the NMOSD population, including those mainly treated with conventional therapies in real-world settings, was comparable to that reported in clinical trials or observational studies under specific treatments. Various potential risk factors for serious infections were identified. These results may assist patients and clinicians in better decision-making regarding treatment options.</p><p><strong>Trial registration: </strong>University Hospital Medical Information Network Clinical Trials Registry (UMIN-CTR: UMIN000051151).</p>","PeriodicalId":19216,"journal":{"name":"Neurology and Therapy","volume":" ","pages":"1993-2009"},"PeriodicalIF":4.8000,"publicationDate":"2025-10-01","publicationTypes":"Journal Article","fieldsOfStudy":null,"isOpenAccess":false,"openAccessPdf":"https://www.ncbi.nlm.nih.gov/pmc/articles/PMC12450173/pdf/","citationCount":"0","resultStr":"{\"title\":\"Incidence and Risk Factors for Serious Infections in Patients with Neuromyelitis Optica Spectrum Disorder: A Claims Database Study in Japan.\",\"authors\":\"Noriko Isobe, Tetsuro Oda, Tomohiro Yamaguchi, Yuta Kamei, Takahiko Tsumuraya, Akinori Yuri, Ayako Nakasone, Keiko Asao, Shinichi Matsuda\",\"doi\":\"10.1007/s40120-025-00794-y\",\"DOIUrl\":null,\"url\":null,\"abstract\":\"<p><strong>Introduction: </strong>Serious infection is a leading cause of mortality in patients with neuromyelitis optica spectrum disorder (NMOSD). We assessed the incidence of and risk factors for serious infections in patients with NMOSD.</p><p><strong>Methods: </strong>This observational, retrospective cohort study included patients with a first NMOSD diagnosis (index date) between January 2016 and August 2022 in Japan. Data were extracted between April 2008 and August 2022 from the Medical Data Vision database. A serious infection was defined as an infection diagnosed during hospitalization. We described the incidence rate, cumulative incidence, and estimated hazard ratios (HRs) of potential risk factors using a Cox proportional hazard model with time-fixed and time-varying covariates.</p><p><strong>Result: </strong>In this study (n = 4231), the incidence rate of serious infections was 5.77 [95% confidence interval (CI) 5.23-6.35] per 100 person-years, and the cumulative incidence ranged from 2.87% (95% CI 2.33-3.49%) at 6-month follow-up to 12.48% (95% CI 10.62-14.50%) at 5-year follow-up. Age [≥ 75 years (ref. 18-35 years); HR 2.48, 95% CI 1.36-4.53], cancer (HR 1.91, 95% CI 1.11-3.29), diabetes mellitus (HR 1.43, 95% CI 1.04-1.96), neurogenic bladder (HR 1.97, 95% CI 1.46-2.66), urolithiasis (HR 1.97, 95% CI 1.02-3.78), the number of NMOSD relapses (HR 1.27, 95% CI 1.03-1.56) and a low daily dose of oral glucocorticoid (> 0 mg and < 5 mg [ref. 0 mg]; HR 1.80, 95% CI 1.21-2.69) were associated with an increased risk of serious infections.</p><p><strong>Conclusion: </strong>The incidence of serious infections in the NMOSD population, including those mainly treated with conventional therapies in real-world settings, was comparable to that reported in clinical trials or observational studies under specific treatments. Various potential risk factors for serious infections were identified. These results may assist patients and clinicians in better decision-making regarding treatment options.</p><p><strong>Trial registration: </strong>University Hospital Medical Information Network Clinical Trials Registry (UMIN-CTR: UMIN000051151).</p>\",\"PeriodicalId\":19216,\"journal\":{\"name\":\"Neurology and Therapy\",\"volume\":\" \",\"pages\":\"1993-2009\"},\"PeriodicalIF\":4.8000,\"publicationDate\":\"2025-10-01\",\"publicationTypes\":\"Journal Article\",\"fieldsOfStudy\":null,\"isOpenAccess\":false,\"openAccessPdf\":\"https://www.ncbi.nlm.nih.gov/pmc/articles/PMC12450173/pdf/\",\"citationCount\":\"0\",\"resultStr\":null,\"platform\":\"Semanticscholar\",\"paperid\":null,\"PeriodicalName\":\"Neurology and Therapy\",\"FirstCategoryId\":\"3\",\"ListUrlMain\":\"https://doi.org/10.1007/s40120-025-00794-y\",\"RegionNum\":3,\"RegionCategory\":\"医学\",\"ArticlePicture\":[],\"TitleCN\":null,\"AbstractTextCN\":null,\"PMCID\":null,\"EPubDate\":\"2025/7/17 0:00:00\",\"PubModel\":\"Epub\",\"JCR\":\"Q1\",\"JCRName\":\"CLINICAL NEUROLOGY\",\"Score\":null,\"Total\":0}","platform":"Semanticscholar","paperid":null,"PeriodicalName":"Neurology and Therapy","FirstCategoryId":"3","ListUrlMain":"https://doi.org/10.1007/s40120-025-00794-y","RegionNum":3,"RegionCategory":"医学","ArticlePicture":[],"TitleCN":null,"AbstractTextCN":null,"PMCID":null,"EPubDate":"2025/7/17 0:00:00","PubModel":"Epub","JCR":"Q1","JCRName":"CLINICAL NEUROLOGY","Score":null,"Total":0}
引用次数: 0

摘要

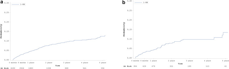
简介:严重感染是视神经脊髓炎谱系障碍(NMOSD)患者死亡的主要原因。我们评估了NMOSD患者严重感染的发生率和危险因素。方法:这项观察性、回顾性队列研究纳入了2016年1月至2022年8月期间日本首次诊断为NMOSD的患者(指标日期)。数据从2008年4月至2022年8月从医疗数据视觉数据库中提取。严重感染定义为住院期间确诊的感染。我们使用具有时间固定和时变协变量的Cox比例风险模型描述了潜在危险因素的发病率、累积发病率和估计风险比(hr)。结果:本研究(n = 4231)中,严重感染的发生率为5.77[95%可信区间(CI) 5.23-6.35] / 100人年,6个月随访时的累计发病率为2.87% (95% CI 2.33-3.49%), 5年随访时的累计发病率为12.48% (95% CI 10.62-14.50%)。年龄[≥75岁(参考18-35岁);风险比2.48,95% CI 1.36-4.53],癌症(风险比1.91,95% CI 1.11-3.29),糖尿病(风险比1.43,95% CI 1.04-1.96),神经源性膀胱(风险比1.97,95% CI 1.46-2.66),尿石症(风险比1.97,95% CI 1.02-3.78), NMOSD复发次数(风险比1.27,95% CI 1.03-1.56),低日口服糖皮质激素剂量(> - 0 mg)和NMOSD人群中严重感染的发生率,包括那些在现实环境中主要接受常规治疗的人群,与临床试验或观察性研究中报告的特定治疗的发生率相当。确定了严重感染的各种潜在危险因素。这些结果可以帮助患者和临床医生更好地制定治疗方案。试验注册:大学医院医学信息网临床试验注册中心(UMIN-CTR: UMIN000051151)。
本文章由计算机程序翻译,如有差异,请以英文原文为准。

Incidence and Risk Factors for Serious Infections in Patients with Neuromyelitis Optica Spectrum Disorder: A Claims Database Study in Japan.

Incidence and Risk Factors for Serious Infections in Patients with Neuromyelitis Optica Spectrum Disorder: A Claims Database Study in Japan.

Incidence and Risk Factors for Serious Infections in Patients with Neuromyelitis Optica Spectrum Disorder: A Claims Database Study in Japan.

Introduction: Serious infection is a leading cause of mortality in patients with neuromyelitis optica spectrum disorder (NMOSD). We assessed the incidence of and risk factors for serious infections in patients with NMOSD.

Methods: This observational, retrospective cohort study included patients with a first NMOSD diagnosis (index date) between January 2016 and August 2022 in Japan. Data were extracted between April 2008 and August 2022 from the Medical Data Vision database. A serious infection was defined as an infection diagnosed during hospitalization. We described the incidence rate, cumulative incidence, and estimated hazard ratios (HRs) of potential risk factors using a Cox proportional hazard model with time-fixed and time-varying covariates.

Result: In this study (n = 4231), the incidence rate of serious infections was 5.77 [95% confidence interval (CI) 5.23-6.35] per 100 person-years, and the cumulative incidence ranged from 2.87% (95% CI 2.33-3.49%) at 6-month follow-up to 12.48% (95% CI 10.62-14.50%) at 5-year follow-up. Age [≥ 75 years (ref. 18-35 years); HR 2.48, 95% CI 1.36-4.53], cancer (HR 1.91, 95% CI 1.11-3.29), diabetes mellitus (HR 1.43, 95% CI 1.04-1.96), neurogenic bladder (HR 1.97, 95% CI 1.46-2.66), urolithiasis (HR 1.97, 95% CI 1.02-3.78), the number of NMOSD relapses (HR 1.27, 95% CI 1.03-1.56) and a low daily dose of oral glucocorticoid (> 0 mg and < 5 mg [ref. 0 mg]; HR 1.80, 95% CI 1.21-2.69) were associated with an increased risk of serious infections.

Conclusion: The incidence of serious infections in the NMOSD population, including those mainly treated with conventional therapies in real-world settings, was comparable to that reported in clinical trials or observational studies under specific treatments. Various potential risk factors for serious infections were identified. These results may assist patients and clinicians in better decision-making regarding treatment options.

Trial registration: University Hospital Medical Information Network Clinical Trials Registry (UMIN-CTR: UMIN000051151).

求助全文
通过发布文献求助,成功后即可免费获取论文全文。 去求助
来源期刊
Neurology and Therapy
Neurology and Therapy CLINICAL NEUROLOGY-
CiteScore
5.40
自引率
8.10%
发文量
103
审稿时长
6 weeks
期刊介绍: Aims and Scope Neurology and Therapy aims to provide reliable and inclusive, rapid publication for all therapy related research for neurological indications, supporting the timely dissemination of research with a global reach, to help advance scientific discovery and support clinical practice. Neurology and Therapy is an international, open access, peer reviewed, rapid publication journal dedicated to the publication of high-quality clinical (all phases), observational, real-world and health outcomes research around the discovery, development, and use of neurological and psychiatric therapies, (also covering surgery and devices). Studies relating to diagnosis, pharmacoeconomics, public health, quality of life, and patient care, management, and education are also welcomed. The journal is of interest to a broad audience of healthcare professionals and publishes original research, reviews, case reports, trial designs, communications and letters. The journal is read by a global audience and receives submissions from all over the world. Neurology and Therapy will consider all scientifically sound research be it positive, confirmatory or negative data. Submissions are welcomed whether they relate to an international and/or a country-specific audience, something that is crucially important when researchers are trying to target more specific patient populations. This inclusive approach allows the journal to assist in the dissemination of all scientifically and ethically sound research. Rapid Publication The journal’s rapid publication timelines aim for a peer review decision within 2 weeks of submission. If an article is accepted, it will be published online 3-4 weeks from acceptance. These rapid timelines are achieved through the combination of a dedicated in-house editorial team, who closely manage article workflow, and an extensive Editorial and Advisory Board who assist with rapid peer review. This allows the journal to support the rapid dissemination of research, whilst still providing robust peer review. Combined with the journal’s open access model, this allows for the rapid and efficient communication of the latest research and reviews to support scientific discovery and clinical practice. Open Access All articles published by Neurology and Therapy are open access. Personal Service The journal’s dedicated in-house editorial team offer a personal “concierge service” meaning that authors will always have a personal point of contact able to update them on the status of their manuscript. The editorial team check all manuscripts to ensure that articles conform to the most recent COPE and ICMJE publishing guidelines. This supports the publication of ethically sound and transparent research. We also encourage pre-submission enquiries and are always happy to provide a confidential assessment of manuscripts. Digital Features and Plain Language Summaries Neurology and Therapy offers a range of additional features designed to increase the visibility, readership and educational value of the journal’s content. Each article is accompanied by key summary points, giving a time-efficient overview of the content to a wide readership. Articles may be accompanied by plain language summaries to assist readers who have some knowledge of, but not in-depth expertise in, the area to understand the scientific content and overall implications of the article. The journal also provides the option to include various types of digital features including animated abstracts, video abstracts, slide decks, audio slides, instructional videos, infographics, podcasts and animations. All additional features are peer reviewed to the same high standard as the article itself. If you consider that your paper would benefit from the inclusion of a digital feature, please let us know. Our editorial team are able to create high-quality slide decks and infographics in-house, and video abstracts through our partner Research Square, and would be happy to assist in any way we can. For further information about digital features, please contact the journal editor (see ‘Contact the Journal’ for email address), and see the ‘Guidelines for digital features and plain language summaries’ document under ‘Submission guidelines’. For examples of digital features please visit our showcase page https://springerhealthcare.com/expertise/publishing-digital-features/ Publication Fees Upon acceptance of an article, authors will be required to pay the mandatory Rapid Service Fee of €5250/$6000/£4300. The journal will consider fee discounts and waivers for developing countries and this is decided on a case-by-case basis. Peer Review Process Upon submission, manuscripts are assessed by the editorial team to ensure they fit within the aims and scope of the journal and are also checked for plagiarism. All suitable submissions are then subject to a comprehensive single-blind peer review. Reviewers are selected based on their relevant expertise and publication history in the subject area. The journal has an extensive pool of editorial and advisory board members who have been selected to assist with peer review based on the afore-mentioned criteria. At least two extensive reviews are required to make the editorial decision, with the exception of some article types such as Commentaries, Editorials and Letters which are generally reviewed by one member of the Editorial Board. Where reviews conflict, an Editorial Board Member will be contacted for further advice and a presiding decision. Manuscripts are then either accepted, rejected or authors are required to make major or minor revisions (both reviewer comments and editorial comments may need to be addressed. Once a revised manuscript is re-submitted, it is assessed along with the responses to reviewer comments and if it has been adequately revised, it will be accepted for publication. Accepted manuscripts are then copyedited and typeset by the production team before online publication. Appeals against decisions following peer review are considered on a case-by-case basis and should be sent to the journal editor, and authors are welcome to make rebuttals against individual reviewer comments, if appropriate. Preprints We encourage posting of preprints of primary research manuscripts on preprint servers, authors'' or institutional websites, and open communications between researchers whether on community preprint servers or preprint commenting platforms. Posting of preprints is not considered prior publication and will not jeopardize consideration in our journals. Please see here for further information on preprint sharing: https://www.springer.com/gp/authors-editors/journal-author/journal-author-helpdesk/submission/1302#c16721550 Copyright Neurology and Therapy is published under the Creative Commons Attribution-Noncommercial License, which allows users to read, copy, distribute, and make derivative works for non-commercial purposes from the material, as long as the author of the original work is cited. The author assigns the exclusive right to any commercial use of the article to Springer. For more information about the Creative Commons Attribution-Noncommercial License, click here: http://creativecommons.org/licenses/by-nc/4.0. Contact For more information about the journal, including pre-submission enquiries, please contact managing editor Lydia Alborn at lydia.alborn@springer.com.
×
引用
GB/T 7714-2015
复制
MLA
复制
APA
复制
导出至
BibTeX EndNote RefMan NoteFirst NoteExpress
×
提示
您的信息不完整,为了账户安全,请先补充。
现在去补充
×
提示
您因"违规操作"
具体请查看互助需知
我知道了
×
提示
确定
请完成安全验证×
copy
已复制链接
快去分享给好友吧!
我知道了
右上角分享
点击右上角分享
0
联系我们:info@booksci.cn Book学术提供免费学术资源搜索服务,方便国内外学者检索中英文文献。致力于提供最便捷和优质的服务体验。 Copyright © 2023 布克学术 All rights reserved.
京ICP备2023020795号-1
ghs 京公网安备 11010802042870号
Book学术文献互助
Book学术文献互助群
群 号:604180095
Book学术官方微信