MicroRNAs作为重症肌无力的诊断性生物标志物:一项系统综述和荟萃分析。

IF 4.8 4区 医学 Q3 CELL BIOLOGY
Prayash Paudel, Asutosh Sah, Poonam Paudel
{"title":"MicroRNAs作为重症肌无力的诊断性生物标志物:一项系统综述和荟萃分析。","authors":"Prayash Paudel, Asutosh Sah, Poonam Paudel","doi":"10.1007/s10571-025-01585-7","DOIUrl":null,"url":null,"abstract":"<p><p>Myasthenia gravis (MG) is an autoimmune neuromuscular disorder characterized by fluctuating muscle weakness. MicroRNAs (miRNAs) have emerged as potential biomarkers for MG diagnosis, offering noninvasive and reliable detection. This systematic review and meta-analysis evaluated the diagnostic accuracy of miRNAs in MG. A comprehensive search of PubMed, Embase, and Google Scholar was conducted up to March 9, 2025. Eligible studies assessing miRNAs as MG biomarkers were selected on the basis of predefined criteria. Pooled sensitivity, specificity, and diagnostic odds ratios (DORs) were calculated via random effects model. Heterogeneity was assessed via I<sup>2</sup>, and publication bias was evaluated via Deeks' funnel plot. Nine studies including 1,797 participants were analysed. The pooled sensitivity and specificity were 0.80 (95% CI: 0.75-0.84) and 0.71 (95% CI: 0.65-0.77), respectively, with an area under the curve (AUC) of 0.83. Bivariate heterogeneity analysis indicated moderate variability, the cause of which were identified using subgroup analysis with region, clinical subtypes and seropositivity as subgroups. miRNAs demonstrate strong diagnostic potential for MG, with good sensitivity and specificity. However, standardized methodologies and further validation in large, multicentre studies is warranted.</p>","PeriodicalId":9742,"journal":{"name":"Cellular and Molecular Neurobiology","volume":"45 1","pages":"71"},"PeriodicalIF":4.8000,"publicationDate":"2025-07-18","publicationTypes":"Journal Article","fieldsOfStudy":null,"isOpenAccess":false,"openAccessPdf":"https://www.ncbi.nlm.nih.gov/pmc/articles/PMC12274162/pdf/","citationCount":"0","resultStr":"{\"title\":\"MicroRNAs as Diagnostic Biomarkers of Myasthenia Gravis: A Systematic Review and Meta-Analysis.\",\"authors\":\"Prayash Paudel, Asutosh Sah, Poonam Paudel\",\"doi\":\"10.1007/s10571-025-01585-7\",\"DOIUrl\":null,\"url\":null,\"abstract\":\"<p><p>Myasthenia gravis (MG) is an autoimmune neuromuscular disorder characterized by fluctuating muscle weakness. MicroRNAs (miRNAs) have emerged as potential biomarkers for MG diagnosis, offering noninvasive and reliable detection. This systematic review and meta-analysis evaluated the diagnostic accuracy of miRNAs in MG. A comprehensive search of PubMed, Embase, and Google Scholar was conducted up to March 9, 2025. Eligible studies assessing miRNAs as MG biomarkers were selected on the basis of predefined criteria. Pooled sensitivity, specificity, and diagnostic odds ratios (DORs) were calculated via random effects model. Heterogeneity was assessed via I<sup>2</sup>, and publication bias was evaluated via Deeks' funnel plot. Nine studies including 1,797 participants were analysed. The pooled sensitivity and specificity were 0.80 (95% CI: 0.75-0.84) and 0.71 (95% CI: 0.65-0.77), respectively, with an area under the curve (AUC) of 0.83. Bivariate heterogeneity analysis indicated moderate variability, the cause of which were identified using subgroup analysis with region, clinical subtypes and seropositivity as subgroups. miRNAs demonstrate strong diagnostic potential for MG, with good sensitivity and specificity. However, standardized methodologies and further validation in large, multicentre studies is warranted.</p>\",\"PeriodicalId\":9742,\"journal\":{\"name\":\"Cellular and Molecular Neurobiology\",\"volume\":\"45 1\",\"pages\":\"71\"},\"PeriodicalIF\":4.8000,\"publicationDate\":\"2025-07-18\",\"publicationTypes\":\"Journal Article\",\"fieldsOfStudy\":null,\"isOpenAccess\":false,\"openAccessPdf\":\"https://www.ncbi.nlm.nih.gov/pmc/articles/PMC12274162/pdf/\",\"citationCount\":\"0\",\"resultStr\":null,\"platform\":\"Semanticscholar\",\"paperid\":null,\"PeriodicalName\":\"Cellular and Molecular Neurobiology\",\"FirstCategoryId\":\"3\",\"ListUrlMain\":\"https://doi.org/10.1007/s10571-025-01585-7\",\"RegionNum\":4,\"RegionCategory\":\"医学\",\"ArticlePicture\":[],\"TitleCN\":null,\"AbstractTextCN\":null,\"PMCID\":null,\"EPubDate\":\"\",\"PubModel\":\"\",\"JCR\":\"Q3\",\"JCRName\":\"CELL BIOLOGY\",\"Score\":null,\"Total\":0}","platform":"Semanticscholar","paperid":null,"PeriodicalName":"Cellular and Molecular Neurobiology","FirstCategoryId":"3","ListUrlMain":"https://doi.org/10.1007/s10571-025-01585-7","RegionNum":4,"RegionCategory":"医学","ArticlePicture":[],"TitleCN":null,"AbstractTextCN":null,"PMCID":null,"EPubDate":"","PubModel":"","JCR":"Q3","JCRName":"CELL BIOLOGY","Score":null,"Total":0}
引用次数: 0

摘要

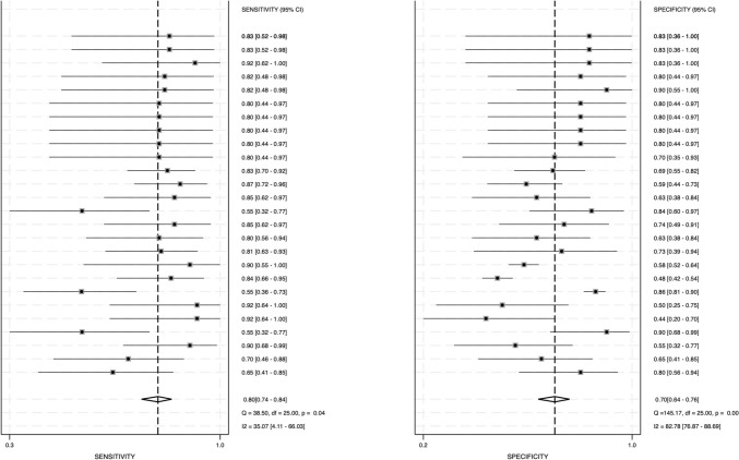
重症肌无力(MG)是一种以波动性肌肉无力为特征的自身免疫性神经肌肉疾病。MicroRNAs (miRNAs)已成为MG诊断的潜在生物标志物,提供无创和可靠的检测。本系统综述和荟萃分析评估了mirna在MG中的诊断准确性。对PubMed, Embase和谷歌Scholar进行了全面的搜索,截止到2025年3月9日。评估mirna作为MG生物标志物的合格研究是根据预定义的标准选择的。通过随机效应模型计算合并敏感性、特异性和诊断优势比(DORs)。通过I2评估异质性,通过Deeks漏斗图评估发表偏倚。9项研究包括1797名参与者进行了分析。合并敏感性和特异性分别为0.80 (95% CI: 0.75 ~ 0.84)和0.71 (95% CI: 0.65 ~ 0.77),曲线下面积(AUC)为0.83。双变量异质性分析显示中度变异,亚组分析以地区、临床亚型和血清阳性为亚组确定其原因。miRNAs表现出很强的诊断MG的潜力,具有良好的敏感性和特异性。然而,标准化的方法和在大型多中心研究中的进一步验证是有必要的。
本文章由计算机程序翻译,如有差异,请以英文原文为准。

MicroRNAs as Diagnostic Biomarkers of Myasthenia Gravis: A Systematic Review and Meta-Analysis.

MicroRNAs as Diagnostic Biomarkers of Myasthenia Gravis: A Systematic Review and Meta-Analysis.

MicroRNAs as Diagnostic Biomarkers of Myasthenia Gravis: A Systematic Review and Meta-Analysis.

MicroRNAs as Diagnostic Biomarkers of Myasthenia Gravis: A Systematic Review and Meta-Analysis.

Myasthenia gravis (MG) is an autoimmune neuromuscular disorder characterized by fluctuating muscle weakness. MicroRNAs (miRNAs) have emerged as potential biomarkers for MG diagnosis, offering noninvasive and reliable detection. This systematic review and meta-analysis evaluated the diagnostic accuracy of miRNAs in MG. A comprehensive search of PubMed, Embase, and Google Scholar was conducted up to March 9, 2025. Eligible studies assessing miRNAs as MG biomarkers were selected on the basis of predefined criteria. Pooled sensitivity, specificity, and diagnostic odds ratios (DORs) were calculated via random effects model. Heterogeneity was assessed via I2, and publication bias was evaluated via Deeks' funnel plot. Nine studies including 1,797 participants were analysed. The pooled sensitivity and specificity were 0.80 (95% CI: 0.75-0.84) and 0.71 (95% CI: 0.65-0.77), respectively, with an area under the curve (AUC) of 0.83. Bivariate heterogeneity analysis indicated moderate variability, the cause of which were identified using subgroup analysis with region, clinical subtypes and seropositivity as subgroups. miRNAs demonstrate strong diagnostic potential for MG, with good sensitivity and specificity. However, standardized methodologies and further validation in large, multicentre studies is warranted.

求助全文
通过发布文献求助,成功后即可免费获取论文全文。 去求助
来源期刊
CiteScore
7.70
自引率
0.00%
发文量
137
审稿时长
4-8 weeks
期刊介绍: Cellular and Molecular Neurobiology publishes original research concerned with the analysis of neuronal and brain function at the cellular and subcellular levels. The journal offers timely, peer-reviewed articles that describe anatomic, genetic, physiologic, pharmacologic, and biochemical approaches to the study of neuronal function and the analysis of elementary mechanisms. Studies are presented on isolated mammalian tissues and intact animals, with investigations aimed at the molecular mechanisms or neuronal responses at the level of single cells. Cellular and Molecular Neurobiology also presents studies of the effects of neurons on other organ systems, such as analysis of the electrical or biochemical response to neurotransmitters or neurohormones on smooth muscle or gland cells.
×
引用
GB/T 7714-2015
复制
MLA
复制
APA
复制
导出至
BibTeX EndNote RefMan NoteFirst NoteExpress
×
提示
您的信息不完整,为了账户安全,请先补充。
现在去补充
×
提示
您因"违规操作"
具体请查看互助需知
我知道了
×
提示
确定
请完成安全验证×
copy
已复制链接
快去分享给好友吧!
我知道了
右上角分享
点击右上角分享
0
联系我们:info@booksci.cn Book学术提供免费学术资源搜索服务,方便国内外学者检索中英文文献。致力于提供最便捷和优质的服务体验。 Copyright © 2023 布克学术 All rights reserved.
京ICP备2023020795号-1
ghs 京公网安备 11010802042870号
Book学术文献互助
Book学术文献互助群
群 号:604180095
Book学术官方微信