基于临床病理特征和多模态超声参数预测甲状腺乳头状癌侧淋巴结转移的影像学发展和验证。

IF 1.6 3区 医学 Q3 SURGERY
Gland surgery Pub Date : 2025-06-30 Epub Date: 2025-06-26 DOI:10.21037/gs-2024-525
Pan Guan, Weiwei Li, Lingling Tao, Yingyan Zhao, Weiwei Zhan, Hui Chen, Wenjun Huang, Wei Zhou
{"title":"基于临床病理特征和多模态超声参数预测甲状腺乳头状癌侧淋巴结转移的影像学发展和验证。","authors":"Pan Guan, Weiwei Li, Lingling Tao, Yingyan Zhao, Weiwei Zhan, Hui Chen, Wenjun Huang, Wei Zhou","doi":"10.21037/gs-2024-525","DOIUrl":null,"url":null,"abstract":"<p><strong>Background: </strong>Tumor neovascularization and increased extracellular matrix stiffness have been confirmed to be crucial for oncology research, however, they are rarely integrated into diagnostic prediction models for predicting lateral cervical lymph node metastasis (LLNM). This study aimed to explore the correlation between these ultrasound parameters, clinicopathological characteristics and LLNM in papillary thyroid carcinoma (PTC), and construct a nomogram prediction model, as well as estimate its preoperative diagnosis values for LLNM.</p><p><strong>Methods: </strong>The clinical and ultrasound imaging data of 703 patients with postoperative histopathologically confirmed PTC were retrospectively analyzed. Conventional ultrasound, superb micro-vascular imaging (SMI) and strain ultrasound elastography (SUE) were performed for all patients, and they were stratified into training and validation cohorts based on the chronological sequence of surgery with a ratio of 7:3. Comprehensive evaluations of clinicopathological and ultrasonic features were conducted using least absolute shrinkage and selection operator (LASSO) regression and multivariate logistic regression, with the aim of identifying independent predictors of LLNM, and a nomogram prediction model was constructed. All LLNM patients were confirmed by postoperative pathology. Receiver operating characteristic curves (ROC) and calibration curves were drawn. Decision curve analysis (DCA) was performed to calculate the predictive efficiency, consistency, and clinical practicality of the model.</p><p><strong>Results: </strong>Among the 703 patients, 98 patients were diagnosed with LLNM (13.9%). According to the results of LASSO regression and multivariable logistic regression model, eight independent risk variables were screened to construct a prediction model, including sex, tumor size, multifocality, capsular invasion, microcalcification, perforator vessel, strain rate ratio (SRR) and ratio of metastatic central lymph nodes (LNR). The consistency index of the prediction model in the training cohort was 0.895, and it was 0.866 in the validation cohort. The optimal cutoff value (0.149) showed the balance between the sensitivity (80.6%) and specificity (84.5%). In both the training cohort and the validation cohort, the calibration curves were close to the standard curve, and the DCA curves showed that more than 90% of PTC patients could benefit from the prediction model.</p><p><strong>Conclusions: </strong>Compared with conventional imaging modalities used alone, the integrated application of novel ultrasonographic technologies, including SMI and SUE, demonstrates superior diagnostic performance in predicting LLNM in PTC patients. This nomogram incorporating the aforementioned ultrasound parameters might be helpful for accurate preoperative risk stratification of LLNM, thereby assisting surgeons in formulating individualized surgical strategies prior to intervention.</p>","PeriodicalId":12760,"journal":{"name":"Gland surgery","volume":"14 6","pages":"998-1011"},"PeriodicalIF":1.6000,"publicationDate":"2025-06-30","publicationTypes":"Journal Article","fieldsOfStudy":null,"isOpenAccess":false,"openAccessPdf":"https://www.ncbi.nlm.nih.gov/pmc/articles/PMC12261366/pdf/","citationCount":"0","resultStr":"{\"title\":\"Development and validation of a nomogram based on clinicopathological characteristics and multimodal ultrasound parameters for predicting lateral lymph node metastasis in papillary thyroid carcinoma.\",\"authors\":\"Pan Guan, Weiwei Li, Lingling Tao, Yingyan Zhao, Weiwei Zhan, Hui Chen, Wenjun Huang, Wei Zhou\",\"doi\":\"10.21037/gs-2024-525\",\"DOIUrl\":null,\"url\":null,\"abstract\":\"<p><strong>Background: </strong>Tumor neovascularization and increased extracellular matrix stiffness have been confirmed to be crucial for oncology research, however, they are rarely integrated into diagnostic prediction models for predicting lateral cervical lymph node metastasis (LLNM). This study aimed to explore the correlation between these ultrasound parameters, clinicopathological characteristics and LLNM in papillary thyroid carcinoma (PTC), and construct a nomogram prediction model, as well as estimate its preoperative diagnosis values for LLNM.</p><p><strong>Methods: </strong>The clinical and ultrasound imaging data of 703 patients with postoperative histopathologically confirmed PTC were retrospectively analyzed. Conventional ultrasound, superb micro-vascular imaging (SMI) and strain ultrasound elastography (SUE) were performed for all patients, and they were stratified into training and validation cohorts based on the chronological sequence of surgery with a ratio of 7:3. Comprehensive evaluations of clinicopathological and ultrasonic features were conducted using least absolute shrinkage and selection operator (LASSO) regression and multivariate logistic regression, with the aim of identifying independent predictors of LLNM, and a nomogram prediction model was constructed. All LLNM patients were confirmed by postoperative pathology. Receiver operating characteristic curves (ROC) and calibration curves were drawn. Decision curve analysis (DCA) was performed to calculate the predictive efficiency, consistency, and clinical practicality of the model.</p><p><strong>Results: </strong>Among the 703 patients, 98 patients were diagnosed with LLNM (13.9%). According to the results of LASSO regression and multivariable logistic regression model, eight independent risk variables were screened to construct a prediction model, including sex, tumor size, multifocality, capsular invasion, microcalcification, perforator vessel, strain rate ratio (SRR) and ratio of metastatic central lymph nodes (LNR). The consistency index of the prediction model in the training cohort was 0.895, and it was 0.866 in the validation cohort. The optimal cutoff value (0.149) showed the balance between the sensitivity (80.6%) and specificity (84.5%). In both the training cohort and the validation cohort, the calibration curves were close to the standard curve, and the DCA curves showed that more than 90% of PTC patients could benefit from the prediction model.</p><p><strong>Conclusions: </strong>Compared with conventional imaging modalities used alone, the integrated application of novel ultrasonographic technologies, including SMI and SUE, demonstrates superior diagnostic performance in predicting LLNM in PTC patients. This nomogram incorporating the aforementioned ultrasound parameters might be helpful for accurate preoperative risk stratification of LLNM, thereby assisting surgeons in formulating individualized surgical strategies prior to intervention.</p>\",\"PeriodicalId\":12760,\"journal\":{\"name\":\"Gland surgery\",\"volume\":\"14 6\",\"pages\":\"998-1011\"},\"PeriodicalIF\":1.6000,\"publicationDate\":\"2025-06-30\",\"publicationTypes\":\"Journal Article\",\"fieldsOfStudy\":null,\"isOpenAccess\":false,\"openAccessPdf\":\"https://www.ncbi.nlm.nih.gov/pmc/articles/PMC12261366/pdf/\",\"citationCount\":\"0\",\"resultStr\":null,\"platform\":\"Semanticscholar\",\"paperid\":null,\"PeriodicalName\":\"Gland surgery\",\"FirstCategoryId\":\"3\",\"ListUrlMain\":\"https://doi.org/10.21037/gs-2024-525\",\"RegionNum\":3,\"RegionCategory\":\"医学\",\"ArticlePicture\":[],\"TitleCN\":null,\"AbstractTextCN\":null,\"PMCID\":null,\"EPubDate\":\"2025/6/26 0:00:00\",\"PubModel\":\"Epub\",\"JCR\":\"Q3\",\"JCRName\":\"SURGERY\",\"Score\":null,\"Total\":0}","platform":"Semanticscholar","paperid":null,"PeriodicalName":"Gland surgery","FirstCategoryId":"3","ListUrlMain":"https://doi.org/10.21037/gs-2024-525","RegionNum":3,"RegionCategory":"医学","ArticlePicture":[],"TitleCN":null,"AbstractTextCN":null,"PMCID":null,"EPubDate":"2025/6/26 0:00:00","PubModel":"Epub","JCR":"Q3","JCRName":"SURGERY","Score":null,"Total":0}
引用次数: 0

摘要

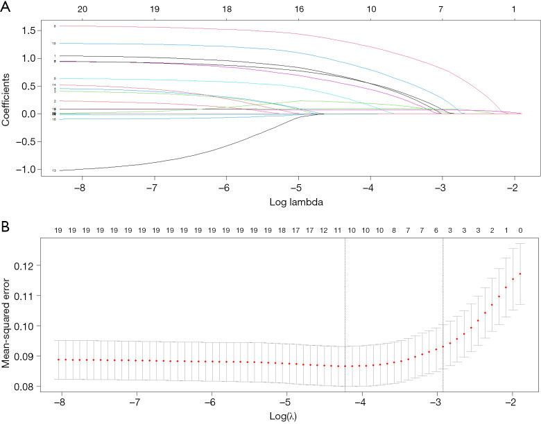
背景:肿瘤新生血管和细胞外基质刚度的增加已被证实对肿瘤研究至关重要,然而,它们很少被纳入预测颈侧淋巴结转移(LLNM)的诊断预测模型中。本研究旨在探讨这些超声参数、临床病理特征与甲状腺乳头状癌(PTC) LLNM的相关性,构建nomogram预测模型,并评估其对LLNM的术前诊断价值。方法:回顾性分析703例经术后组织病理学证实的PTC患者的临床及超声影像资料。对所有患者进行常规超声、超精细微血管成像(SMI)和应变超声弹性成像(SUE)检查,并根据手术时间顺序按7:3的比例分为训练组和验证组。采用最小绝对收缩和选择算子(LASSO)回归和多元逻辑回归对临床病理和超声特征进行综合评价,目的是寻找LLNM的独立预测因素,并构建nomogram预测模型。所有LLNM患者均经术后病理证实。绘制受试者工作特征曲线(ROC)和校正曲线。采用决策曲线分析(Decision curve analysis, DCA)计算模型的预测效率、一致性和临床实用性。结果:703例患者中,98例确诊为LLNM(13.9%)。根据LASSO回归和多变量logistic回归模型的结果,筛选性别、肿瘤大小、多灶性、包膜浸润、微钙化、穿支血管、应变率比(SRR)和转移性中央淋巴结比(LNR) 8个独立风险变量构建预测模型。预测模型在训练队列中的一致性指数为0.895,在验证队列中的一致性指数为0.866。最佳截断值为0.149,灵敏度为80.6%,特异度为84.5%。训练组和验证组的校正曲线均接近标准曲线,DCA曲线显示超过90%的PTC患者能从预测模型中获益。结论:综合应用新型超声技术(包括SMI和SUE)对PTC患者LLNM的诊断效果优于单独使用常规影像学。结合上述超声参数的nomographic可能有助于精确的LLNM术前风险分层,从而帮助外科医生在干预前制定个性化的手术策略。
本文章由计算机程序翻译,如有差异,请以英文原文为准。

Development and validation of a nomogram based on clinicopathological characteristics and multimodal ultrasound parameters for predicting lateral lymph node metastasis in papillary thyroid carcinoma.

Development and validation of a nomogram based on clinicopathological characteristics and multimodal ultrasound parameters for predicting lateral lymph node metastasis in papillary thyroid carcinoma.

Development and validation of a nomogram based on clinicopathological characteristics and multimodal ultrasound parameters for predicting lateral lymph node metastasis in papillary thyroid carcinoma.

Development and validation of a nomogram based on clinicopathological characteristics and multimodal ultrasound parameters for predicting lateral lymph node metastasis in papillary thyroid carcinoma.

Background: Tumor neovascularization and increased extracellular matrix stiffness have been confirmed to be crucial for oncology research, however, they are rarely integrated into diagnostic prediction models for predicting lateral cervical lymph node metastasis (LLNM). This study aimed to explore the correlation between these ultrasound parameters, clinicopathological characteristics and LLNM in papillary thyroid carcinoma (PTC), and construct a nomogram prediction model, as well as estimate its preoperative diagnosis values for LLNM.

Methods: The clinical and ultrasound imaging data of 703 patients with postoperative histopathologically confirmed PTC were retrospectively analyzed. Conventional ultrasound, superb micro-vascular imaging (SMI) and strain ultrasound elastography (SUE) were performed for all patients, and they were stratified into training and validation cohorts based on the chronological sequence of surgery with a ratio of 7:3. Comprehensive evaluations of clinicopathological and ultrasonic features were conducted using least absolute shrinkage and selection operator (LASSO) regression and multivariate logistic regression, with the aim of identifying independent predictors of LLNM, and a nomogram prediction model was constructed. All LLNM patients were confirmed by postoperative pathology. Receiver operating characteristic curves (ROC) and calibration curves were drawn. Decision curve analysis (DCA) was performed to calculate the predictive efficiency, consistency, and clinical practicality of the model.

Results: Among the 703 patients, 98 patients were diagnosed with LLNM (13.9%). According to the results of LASSO regression and multivariable logistic regression model, eight independent risk variables were screened to construct a prediction model, including sex, tumor size, multifocality, capsular invasion, microcalcification, perforator vessel, strain rate ratio (SRR) and ratio of metastatic central lymph nodes (LNR). The consistency index of the prediction model in the training cohort was 0.895, and it was 0.866 in the validation cohort. The optimal cutoff value (0.149) showed the balance between the sensitivity (80.6%) and specificity (84.5%). In both the training cohort and the validation cohort, the calibration curves were close to the standard curve, and the DCA curves showed that more than 90% of PTC patients could benefit from the prediction model.

Conclusions: Compared with conventional imaging modalities used alone, the integrated application of novel ultrasonographic technologies, including SMI and SUE, demonstrates superior diagnostic performance in predicting LLNM in PTC patients. This nomogram incorporating the aforementioned ultrasound parameters might be helpful for accurate preoperative risk stratification of LLNM, thereby assisting surgeons in formulating individualized surgical strategies prior to intervention.

求助全文
通过发布文献求助,成功后即可免费获取论文全文。 去求助
来源期刊
Gland surgery
Gland surgery Medicine-Surgery
CiteScore
3.60
自引率
0.00%
发文量
113
期刊介绍: Gland Surgery (Gland Surg; GS, Print ISSN 2227-684X; Online ISSN 2227-8575) being indexed by PubMed/PubMed Central, is an open access, peer-review journal launched at May of 2012, published bio-monthly since February 2015.
×
引用
GB/T 7714-2015
复制
MLA
复制
APA
复制
导出至
BibTeX EndNote RefMan NoteFirst NoteExpress
×
提示
您的信息不完整,为了账户安全,请先补充。
现在去补充
×
提示
您因"违规操作"
具体请查看互助需知
我知道了
×
提示
确定
请完成安全验证×
copy
已复制链接
快去分享给好友吧!
我知道了
右上角分享
点击右上角分享
0
联系我们:info@booksci.cn Book学术提供免费学术资源搜索服务,方便国内外学者检索中英文文献。致力于提供最便捷和优质的服务体验。 Copyright © 2023 布克学术 All rights reserved.
京ICP备2023020795号-1
ghs 京公网安备 11010802042870号
Book学术文献互助
Book学术文献互助群
群 号:604180095
Book学术官方微信