警报和领土防御呼叫的持续时间改变了欧亚喜鹊的接收器反应。

IF 2.1 2区 生物学 Q3 BEHAVIORAL SCIENCES
Miriam Kuspiel, Arnout Lindeman, Marc Naguib, Sjouke A. Kingma
{"title":"警报和领土防御呼叫的持续时间改变了欧亚喜鹊的接收器反应。","authors":"Miriam Kuspiel,&nbsp;Arnout Lindeman,&nbsp;Marc Naguib,&nbsp;Sjouke A. Kingma","doi":"10.1007/s10071-025-01975-w","DOIUrl":null,"url":null,"abstract":"<div>\n \n <p>Animals use vocal signals to provide information across a wide range of contexts. However, it is more complex to identify the information content when the same vocalizations are produced in different contexts, such as against predators and conspecific competitors. This raises the question whether information about the caller or context can be coded in relatively subtle variation within the call type and whether receivers respond differentially to such variation. Using playbacks of the general ‘chatter’ alarm call of Eurasian magpies (<i>Pica pica</i>), we tested whether or not territorial magpies respond differently to variation in call duration and rate. We show that magpies responded acoustically faster to chatters of longer duration, which may signal a greater motivation or urgency of territorial intruders. Alternatively, a delay in chatter response to shorter calls may reflect a period of hesitation and risk avoidance. Interestingly, magpies did not approach the loudspeaker more closely in response to longer calls and the total chatter response did not differ either. This suggests that after the short initial response, the persistence of the signal over time as well as visual information on the level or type of danger become essential for more differentiated response behaviours. Taken together, our results show that magpies perceive and respond differentially to variation in alarm call duration, suggesting that such variation encodes meaningful information.</p>\n </div>","PeriodicalId":7879,"journal":{"name":"Animal Cognition","volume":"28 1","pages":""},"PeriodicalIF":2.1000,"publicationDate":"2025-07-16","publicationTypes":"Journal Article","fieldsOfStudy":null,"isOpenAccess":false,"openAccessPdf":"https://www.ncbi.nlm.nih.gov/pmc/articles/PMC12267378/pdf/","citationCount":"0","resultStr":"{\"title\":\"The duration of alarm- and territorial defence calls alters receiver response in Eurasian magpies\",\"authors\":\"Miriam Kuspiel,&nbsp;Arnout Lindeman,&nbsp;Marc Naguib,&nbsp;Sjouke A. Kingma\",\"doi\":\"10.1007/s10071-025-01975-w\",\"DOIUrl\":null,\"url\":null,\"abstract\":\"<div>\\n \\n <p>Animals use vocal signals to provide information across a wide range of contexts. However, it is more complex to identify the information content when the same vocalizations are produced in different contexts, such as against predators and conspecific competitors. This raises the question whether information about the caller or context can be coded in relatively subtle variation within the call type and whether receivers respond differentially to such variation. Using playbacks of the general ‘chatter’ alarm call of Eurasian magpies (<i>Pica pica</i>), we tested whether or not territorial magpies respond differently to variation in call duration and rate. We show that magpies responded acoustically faster to chatters of longer duration, which may signal a greater motivation or urgency of territorial intruders. Alternatively, a delay in chatter response to shorter calls may reflect a period of hesitation and risk avoidance. Interestingly, magpies did not approach the loudspeaker more closely in response to longer calls and the total chatter response did not differ either. This suggests that after the short initial response, the persistence of the signal over time as well as visual information on the level or type of danger become essential for more differentiated response behaviours. Taken together, our results show that magpies perceive and respond differentially to variation in alarm call duration, suggesting that such variation encodes meaningful information.</p>\\n </div>\",\"PeriodicalId\":7879,\"journal\":{\"name\":\"Animal Cognition\",\"volume\":\"28 1\",\"pages\":\"\"},\"PeriodicalIF\":2.1000,\"publicationDate\":\"2025-07-16\",\"publicationTypes\":\"Journal Article\",\"fieldsOfStudy\":null,\"isOpenAccess\":false,\"openAccessPdf\":\"https://www.ncbi.nlm.nih.gov/pmc/articles/PMC12267378/pdf/\",\"citationCount\":\"0\",\"resultStr\":null,\"platform\":\"Semanticscholar\",\"paperid\":null,\"PeriodicalName\":\"Animal Cognition\",\"FirstCategoryId\":\"99\",\"ListUrlMain\":\"https://link.springer.com/article/10.1007/s10071-025-01975-w\",\"RegionNum\":2,\"RegionCategory\":\"生物学\",\"ArticlePicture\":[],\"TitleCN\":null,\"AbstractTextCN\":null,\"PMCID\":null,\"EPubDate\":\"\",\"PubModel\":\"\",\"JCR\":\"Q3\",\"JCRName\":\"BEHAVIORAL SCIENCES\",\"Score\":null,\"Total\":0}","platform":"Semanticscholar","paperid":null,"PeriodicalName":"Animal Cognition","FirstCategoryId":"99","ListUrlMain":"https://link.springer.com/article/10.1007/s10071-025-01975-w","RegionNum":2,"RegionCategory":"生物学","ArticlePicture":[],"TitleCN":null,"AbstractTextCN":null,"PMCID":null,"EPubDate":"","PubModel":"","JCR":"Q3","JCRName":"BEHAVIORAL SCIENCES","Score":null,"Total":0}
引用次数: 0

摘要

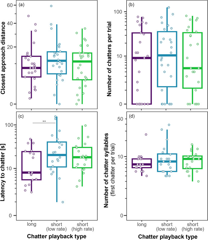
动物利用声音信号在各种情况下提供信息。然而,当在不同的环境中产生相同的发声时,识别信息内容就更加复杂了,比如面对捕食者和同种竞争对手。这就提出了一个问题,关于呼叫者或上下文的信息是否可以在呼叫类型中以相对微妙的变化进行编码,以及接收者是否对这种变化作出不同的反应。通过回放欧亚喜鹊(Pica Pica)的“颤声”警报呼叫,我们测试了领地喜鹊对呼叫持续时间和频率的变化是否有不同的反应。我们发现,喜鹊对持续时间较长的叫声的声音反应更快,这可能表明入侵者的动机更强或更紧迫。另一种情况是,对较短呼叫的延迟反应可能反映了一段时间的犹豫和风险规避。有趣的是,喜鹊并没有因为更长的叫声而更接近扩音器,而且总的叫声反应也没有不同。这表明,在短暂的初始反应之后,随着时间的推移,信号的持久性以及关于危险水平或类型的视觉信息对于更有区别的反应行为至关重要。综上所述,我们的研究结果表明喜鹊对警报呼叫持续时间的变化的感知和反应是不同的,这表明这种变化编码了有意义的信息。
本文章由计算机程序翻译,如有差异,请以英文原文为准。

The duration of alarm- and territorial defence calls alters receiver response in Eurasian magpies

The duration of alarm- and territorial defence calls alters receiver response in Eurasian magpies

The duration of alarm- and territorial defence calls alters receiver response in Eurasian magpies

The duration of alarm- and territorial defence calls alters receiver response in Eurasian magpies

Animals use vocal signals to provide information across a wide range of contexts. However, it is more complex to identify the information content when the same vocalizations are produced in different contexts, such as against predators and conspecific competitors. This raises the question whether information about the caller or context can be coded in relatively subtle variation within the call type and whether receivers respond differentially to such variation. Using playbacks of the general ‘chatter’ alarm call of Eurasian magpies (Pica pica), we tested whether or not territorial magpies respond differently to variation in call duration and rate. We show that magpies responded acoustically faster to chatters of longer duration, which may signal a greater motivation or urgency of territorial intruders. Alternatively, a delay in chatter response to shorter calls may reflect a period of hesitation and risk avoidance. Interestingly, magpies did not approach the loudspeaker more closely in response to longer calls and the total chatter response did not differ either. This suggests that after the short initial response, the persistence of the signal over time as well as visual information on the level or type of danger become essential for more differentiated response behaviours. Taken together, our results show that magpies perceive and respond differentially to variation in alarm call duration, suggesting that such variation encodes meaningful information.

求助全文
通过发布文献求助,成功后即可免费获取论文全文。 去求助
来源期刊
Animal Cognition
Animal Cognition 生物-动物学
CiteScore
4.50
自引率
18.50%
发文量
125
审稿时长
4-8 weeks
期刊介绍: Animal Cognition is an interdisciplinary journal offering current research from many disciplines (ethology, behavioral ecology, animal behavior and learning, cognitive sciences, comparative psychology and evolutionary psychology) on all aspects of animal (and human) cognition in an evolutionary framework. Animal Cognition publishes original empirical and theoretical work, reviews, methods papers, short communications and correspondence on the mechanisms and evolution of biologically rooted cognitive-intellectual structures. The journal explores animal time perception and use; causality detection; innate reaction patterns and innate bases of learning; numerical competence and frequency expectancies; symbol use; communication; problem solving, animal thinking and use of tools, and the modularity of the mind.
×
引用
GB/T 7714-2015
复制
MLA
复制
APA
复制
导出至
BibTeX EndNote RefMan NoteFirst NoteExpress
×
提示
您的信息不完整,为了账户安全,请先补充。
现在去补充
×
提示
您因"违规操作"
具体请查看互助需知
我知道了
×
提示
确定
请完成安全验证×
copy
已复制链接
快去分享给好友吧!
我知道了
右上角分享
点击右上角分享
0
联系我们:info@booksci.cn Book学术提供免费学术资源搜索服务,方便国内外学者检索中英文文献。致力于提供最便捷和优质的服务体验。 Copyright © 2023 布克学术 All rights reserved.
京ICP备2023020795号-1
ghs 京公网安备 11010802042870号
Book学术文献互助
Book学术文献互助群
群 号:604180095
Book学术官方微信