初次与父母分离年龄对留守儿童自杀意念、自杀计划和自杀企图的影响:创伤性事件的因果中介效应。

IF 4.3 3区 医学 Q1 PRIMARY HEALTH CARE
Xian Wu, Xiaobing Zhai, Jiangxue Wang, Yudu Liu, Yuanyuan Wu, Yangxi Huang, Miao Zhou, Bing Xiang, Mei Yang, Xinyan Xie, Jing Zeng
{"title":"初次与父母分离年龄对留守儿童自杀意念、自杀计划和自杀企图的影响:创伤性事件的因果中介效应。","authors":"Xian Wu, Xiaobing Zhai, Jiangxue Wang, Yudu Liu, Yuanyuan Wu, Yangxi Huang, Miao Zhou, Bing Xiang, Mei Yang, Xinyan Xie, Jing Zeng","doi":"10.1136/fmch-2025-003349","DOIUrl":null,"url":null,"abstract":"<p><strong>Background: </strong>To investigate the relationship of age at first separation from parents (AFSP) with suicidal ideation (SI), suicide planning (SP) and suicide attempts (SA) among left-behind children (LBC) in China and the mediating effect of traumatic events (TEs).</p><p><strong>Methods: </strong>This cross-sectional study employed a multistage sampling method to conduct questionnaire surveys in six high-concentrated LBC provinces. Logistic regression and restricted cubic splines were performed to investigate the association of AFSP with SI, SP and SA, and meta-analysis (I<sup>2</sup>) was used to assess the heterogeneity. Causal mediation analysis (structural equation modelling) was used to evaluate the mediating effect of TEs, and bootstrap resampling was employed to assess the robustness of the causal mediation analysis.</p><p><strong>Results: </strong>A total of 12 162 (6269 LBC) participants were included in this study; the prevalence rates of SI, SP and SA among LBC were 30.7%, 18.6% and 11.9%; and LBC had a higher risk of SI (OR: 1.32), SP (OR: 1.40) and SA (OR: 1.25) than non-LBC, all p<0.001. AFSP was negatively associated with SI, SP and SA, particularly peaking before 2 years old. LBC with AFSP <2 years old had a higher risk of SI (OR 2.65; 95% CI 2.17 to 3.24; p<0.001), SP (OR 2.63; 95% CI 3.36 to 4.29; p<0.001) and SA (OR 2.04; 95% CI 2.73 to 3.63; p<0.001). TEs mediated the increased risk of SI (average causal mediation effect (ACME) 0.03-0.07; proportion (Prop) 40-54%; all p<0.001), SP (ACME 0.03-0.06; Prop 39-61%; all p<0.001) and SA (ACME 0.02-0.04; Prop 53-80%; all p<0.01).</p><p><strong>Conclusions: </strong>We found that AFSP was associated with SI, SP and SA, mediated by TEs. Our findings supported the necessity of reducing SI, SP and SA risks among LBC and highlighted the need to consider AFSPs and TEs in intervention strategies.</p>","PeriodicalId":44590,"journal":{"name":"Family Medicine and Community Health","volume":"13 3","pages":""},"PeriodicalIF":4.3000,"publicationDate":"2025-07-15","publicationTypes":"Journal Article","fieldsOfStudy":null,"isOpenAccess":false,"openAccessPdf":"https://www.ncbi.nlm.nih.gov/pmc/articles/PMC12265772/pdf/","citationCount":"0","resultStr":"{\"title\":\"Effects of age at first separation from parents on suicidal ideation, suicide planning and suicide attempts among left-behind children: the causal mediating effect of traumatic events.\",\"authors\":\"Xian Wu, Xiaobing Zhai, Jiangxue Wang, Yudu Liu, Yuanyuan Wu, Yangxi Huang, Miao Zhou, Bing Xiang, Mei Yang, Xinyan Xie, Jing Zeng\",\"doi\":\"10.1136/fmch-2025-003349\",\"DOIUrl\":null,\"url\":null,\"abstract\":\"<p><strong>Background: </strong>To investigate the relationship of age at first separation from parents (AFSP) with suicidal ideation (SI), suicide planning (SP) and suicide attempts (SA) among left-behind children (LBC) in China and the mediating effect of traumatic events (TEs).</p><p><strong>Methods: </strong>This cross-sectional study employed a multistage sampling method to conduct questionnaire surveys in six high-concentrated LBC provinces. Logistic regression and restricted cubic splines were performed to investigate the association of AFSP with SI, SP and SA, and meta-analysis (I<sup>2</sup>) was used to assess the heterogeneity. Causal mediation analysis (structural equation modelling) was used to evaluate the mediating effect of TEs, and bootstrap resampling was employed to assess the robustness of the causal mediation analysis.</p><p><strong>Results: </strong>A total of 12 162 (6269 LBC) participants were included in this study; the prevalence rates of SI, SP and SA among LBC were 30.7%, 18.6% and 11.9%; and LBC had a higher risk of SI (OR: 1.32), SP (OR: 1.40) and SA (OR: 1.25) than non-LBC, all p<0.001. AFSP was negatively associated with SI, SP and SA, particularly peaking before 2 years old. LBC with AFSP <2 years old had a higher risk of SI (OR 2.65; 95% CI 2.17 to 3.24; p<0.001), SP (OR 2.63; 95% CI 3.36 to 4.29; p<0.001) and SA (OR 2.04; 95% CI 2.73 to 3.63; p<0.001). TEs mediated the increased risk of SI (average causal mediation effect (ACME) 0.03-0.07; proportion (Prop) 40-54%; all p<0.001), SP (ACME 0.03-0.06; Prop 39-61%; all p<0.001) and SA (ACME 0.02-0.04; Prop 53-80%; all p<0.01).</p><p><strong>Conclusions: </strong>We found that AFSP was associated with SI, SP and SA, mediated by TEs. Our findings supported the necessity of reducing SI, SP and SA risks among LBC and highlighted the need to consider AFSPs and TEs in intervention strategies.</p>\",\"PeriodicalId\":44590,\"journal\":{\"name\":\"Family Medicine and Community Health\",\"volume\":\"13 3\",\"pages\":\"\"},\"PeriodicalIF\":4.3000,\"publicationDate\":\"2025-07-15\",\"publicationTypes\":\"Journal Article\",\"fieldsOfStudy\":null,\"isOpenAccess\":false,\"openAccessPdf\":\"https://www.ncbi.nlm.nih.gov/pmc/articles/PMC12265772/pdf/\",\"citationCount\":\"0\",\"resultStr\":null,\"platform\":\"Semanticscholar\",\"paperid\":null,\"PeriodicalName\":\"Family Medicine and Community Health\",\"FirstCategoryId\":\"3\",\"ListUrlMain\":\"https://doi.org/10.1136/fmch-2025-003349\",\"RegionNum\":3,\"RegionCategory\":\"医学\",\"ArticlePicture\":[],\"TitleCN\":null,\"AbstractTextCN\":null,\"PMCID\":null,\"EPubDate\":\"\",\"PubModel\":\"\",\"JCR\":\"Q1\",\"JCRName\":\"PRIMARY HEALTH CARE\",\"Score\":null,\"Total\":0}","platform":"Semanticscholar","paperid":null,"PeriodicalName":"Family Medicine and Community Health","FirstCategoryId":"3","ListUrlMain":"https://doi.org/10.1136/fmch-2025-003349","RegionNum":3,"RegionCategory":"医学","ArticlePicture":[],"TitleCN":null,"AbstractTextCN":null,"PMCID":null,"EPubDate":"","PubModel":"","JCR":"Q1","JCRName":"PRIMARY HEALTH CARE","Score":null,"Total":0}
引用次数: 0

摘要

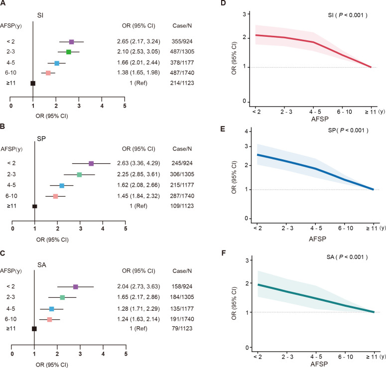
背景:探讨中国留守儿童(LBC)初次分离年龄(AFSP)与自杀意念(SI)、自杀计划(SP)和自杀企图(SA)的关系以及创伤性事件(TEs)的中介作用。方法:横断面研究采用多阶段抽样法,在6个LBC高集中省份进行问卷调查。采用Logistic回归和限制性三次样条分析AFSP与SI、SP和SA的关系,并采用meta分析(I2)评估异质性。采用因果中介分析(结构方程模型)评估TEs的中介效果,并采用自举重抽样评估因果中介分析的稳健性。结果:本研究共纳入12 162例(6269例LBC)受试者;LBC中SI、SP和SA的患病率分别为30.7%、18.6%和11.9%;LBC患者发生SI (OR: 1.32)、SP (OR: 1.40)和SA (OR: 1.25)的风险均高于非LBC患者。结论:我们发现AFSP与SI、SP和SA相关,由TEs介导。我们的研究结果支持了降低LBC中SI、SP和SA风险的必要性,并强调了在干预策略中考虑afsp和te的必要性。
本文章由计算机程序翻译,如有差异,请以英文原文为准。

Effects of age at first separation from parents on suicidal ideation, suicide planning and suicide attempts among left-behind children: the causal mediating effect of traumatic events.

Effects of age at first separation from parents on suicidal ideation, suicide planning and suicide attempts among left-behind children: the causal mediating effect of traumatic events.

Effects of age at first separation from parents on suicidal ideation, suicide planning and suicide attempts among left-behind children: the causal mediating effect of traumatic events.

Effects of age at first separation from parents on suicidal ideation, suicide planning and suicide attempts among left-behind children: the causal mediating effect of traumatic events.

Background: To investigate the relationship of age at first separation from parents (AFSP) with suicidal ideation (SI), suicide planning (SP) and suicide attempts (SA) among left-behind children (LBC) in China and the mediating effect of traumatic events (TEs).

Methods: This cross-sectional study employed a multistage sampling method to conduct questionnaire surveys in six high-concentrated LBC provinces. Logistic regression and restricted cubic splines were performed to investigate the association of AFSP with SI, SP and SA, and meta-analysis (I2) was used to assess the heterogeneity. Causal mediation analysis (structural equation modelling) was used to evaluate the mediating effect of TEs, and bootstrap resampling was employed to assess the robustness of the causal mediation analysis.

Results: A total of 12 162 (6269 LBC) participants were included in this study; the prevalence rates of SI, SP and SA among LBC were 30.7%, 18.6% and 11.9%; and LBC had a higher risk of SI (OR: 1.32), SP (OR: 1.40) and SA (OR: 1.25) than non-LBC, all p<0.001. AFSP was negatively associated with SI, SP and SA, particularly peaking before 2 years old. LBC with AFSP <2 years old had a higher risk of SI (OR 2.65; 95% CI 2.17 to 3.24; p<0.001), SP (OR 2.63; 95% CI 3.36 to 4.29; p<0.001) and SA (OR 2.04; 95% CI 2.73 to 3.63; p<0.001). TEs mediated the increased risk of SI (average causal mediation effect (ACME) 0.03-0.07; proportion (Prop) 40-54%; all p<0.001), SP (ACME 0.03-0.06; Prop 39-61%; all p<0.001) and SA (ACME 0.02-0.04; Prop 53-80%; all p<0.01).

Conclusions: We found that AFSP was associated with SI, SP and SA, mediated by TEs. Our findings supported the necessity of reducing SI, SP and SA risks among LBC and highlighted the need to consider AFSPs and TEs in intervention strategies.

求助全文
通过发布文献求助,成功后即可免费获取论文全文。 去求助
来源期刊
CiteScore
9.70
自引率
0.00%
发文量
27
审稿时长
19 weeks
期刊介绍: Family Medicine and Community Health (FMCH) is a peer-reviewed, open-access journal focusing on the topics of family medicine, general practice and community health. FMCH strives to be a leading international journal that promotes ‘Health Care for All’ through disseminating novel knowledge and best practices in primary care, family medicine, and community health. FMCH publishes original research, review, methodology, commentary, reflection, and case-study from the lens of population health. FMCH’s Asian Focus section features reports of family medicine development in the Asia-pacific region. FMCH aims to be an exemplary forum for the timely communication of medical knowledge and skills with the goal of promoting improved health care through the practice of family and community-based medicine globally. FMCH aims to serve a diverse audience including researchers, educators, policymakers and leaders of family medicine and community health. We also aim to provide content relevant for researchers working on population health, epidemiology, public policy, disease control and management, preventative medicine and disease burden. FMCH does not impose any article processing charges (APC) or submission charges.
×
引用
GB/T 7714-2015
复制
MLA
复制
APA
复制
导出至
BibTeX EndNote RefMan NoteFirst NoteExpress
×
提示
您的信息不完整,为了账户安全,请先补充。
现在去补充
×
提示
您因"违规操作"
具体请查看互助需知
我知道了
×
提示
确定
请完成安全验证×
copy
已复制链接
快去分享给好友吧!
我知道了
右上角分享
点击右上角分享
0
联系我们:info@booksci.cn Book学术提供免费学术资源搜索服务,方便国内外学者检索中英文文献。致力于提供最便捷和优质的服务体验。 Copyright © 2023 布克学术 All rights reserved.
京ICP备2023020795号-1
ghs 京公网安备 11010802042870号
Book学术文献互助
Book学术文献互助群
群 号:604180095
Book学术官方微信